TOP
|
特許
|
意匠
|
商標
特許ウォッチ
Twitter
他の特許を見る
公開番号
2025105041
公報種別
公開特許公報(A)
公開日
2025-07-10
出願番号
2023223319
出願日
2023-12-28
発明の名称
防錆組成物
出願人
株式会社KSマテリアル
代理人
個人
主分類
C23F
11/00 20060101AFI20250703BHJP(金属質材料への被覆;金属質材料による材料への被覆;化学的表面処理;金属質材料の拡散処理;真空蒸着,スパッタリング,イオン注入法,または化学蒸着による被覆一般;金属質材料の防食または鉱皮の抑制一般)
要約
【課題】
透明性に優れ、かつ優れた脱膜性を有する塗膜を形成し、長期防錆力を発揮する防錆剤を提供する。
【解決手段】
潤滑油基油(A)と、防錆添加剤(B)と、スルホン酸金属塩(C)からなる防錆組成物であって、
前記潤滑油基油(A)と前記防錆添加剤(B)の重量比が(B)/(A)=0.07~3、かつ、
前記潤滑油基油(A)とスルホン酸金属塩(C)の重量比が(C)/(A)=0.4~7であることを特徴とする防錆組成物。
【選択図】 なし
特許請求の範囲
【請求項1】
基油(A)と、防錆添加剤(B)と、スルホン酸金属塩(C)を含有する防錆組成物であって、
前記基油(A)と前記防錆添加剤(B)の重量比が(B)/(A)=0.08~2.5、かつ、
前記基油(A)とスルホン酸金属塩(C)の重量比が(C)/(A)=0.4~5.5であることを特徴とする防錆組成物。
続きを表示(約 950 文字)
【請求項2】
前記防錆添加剤(B)が下記化学式1、2の構造を少なくとも1つ含む防錆添加剤(B)であることを特徴とする請求項1に記載の防錆組成物。
化学式1:
TIFF
2025105041000010.tif
29
67
化学式2:
TIFF
2025105041000011.tif
35
109
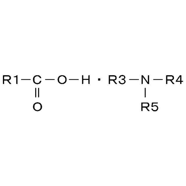
R1:炭化水素基
R1は置換されていてもよく、飽和炭化水素、不飽和炭化水素、脂環式炭化水素、芳香環炭化水素であってもよい。
R2は水素、炭化水素基、アルカリ金属、アルカリ土類金属のいずれかで、炭化水素基は置換されていてもよい。
R3、R4,R5:水素または炭化水素基
R1は置換されていてもよく、飽和炭化水素、不飽和炭化水素、脂環式炭化水素、芳香環炭化水素であってもよい。
R1、R3、R4、R5は同じであっても異なる基であってもよい。
【請求項3】
前記防錆添加剤(B)成分が、脂肪酸、脂肪酸金属塩、脂肪酸エステル、脂肪酸アミン塩、酸化ワックス、酸化ワックス金属塩、酸化ワックスエステル、酸化ワックスアミン塩、酸化ペトロラタム、酸化ペトロラタム金属塩、酸化ペトロラタムエステル、酸化ペトロラタムアミン塩の群から選ばれる1以上の防錆添加剤(B)であることを特徴とする請求項1に記載の防錆組成物。
【請求項4】
前記スルホン酸金属塩(C)が、スルホン酸アルカリ土類金属塩である請求項1から3のいずれか1項に記載の防錆組成物。
【請求項5】
前記基油(A)と前記防錆添加剤(B)の重量比が(B)/(A)=0.09~2.5、かつ、
前記基油(A)とスルホン酸金属塩(C)の重量比が(C)/(A)=0.5~4.0であることを特徴とする請求項1に記載の防錆組成物。
【請求項6】
前記基油(A)と前記防錆添加剤(B)の重量比が(B)/(A)=0.1~1.5、かつ、
前記基油(A)とスルホン酸金属塩(C)の重量比が(C)/(A)=1~3であることを特徴とする請求項1に記載の防錆組成物。
発明の詳細な説明
【技術分野】
【0001】
本発明は金属の防食に用いる防錆組成物に関する。
続きを表示(約 2,500 文字)
【背景技術】
【0002】
自動車等の車体床下や足回り部品、空洞部、ドアやボンネットの内部、溶接部、パネル合わせ目には、錆を防止するための防錆剤を塗布している。これは、自動車等に用いられている鉄鋼材料には、錆という重大な欠点があるからである。鉄鋼材料等は、降雨や高湿度による水分、塩分を含んだ塩風、塩化カルシウムや塩化ナトリウム等の凍結防止剤等により、錆が発生しやすい環境に曝されている。この様な錆をいかに防止するかという課題は自動車業界等、鉄鋼材料を扱う業界においては非常に重要な問題となっている。
【0003】
現在一般的に用いられている防錆剤としては、ワックスを主成分とした防錆剤が知られている。このようなワックス系防錆剤としては、マイクロクリスタリンワックス、パラフィンワックス、天然脂肪酸金属塩、石油スルホネート、ミネラルスピリットを混合した組成物が主流である(特許文献1~4参照)。
【先行技術文献】
【特許文献】
【0004】
特開平4-354888号公報
特開平1-311194号公報
特開昭52-136852号公報
特開2002-339086号公報
【発明の概要】
【発明が解決しようとする課題】
【0005】
しかしながら、この様な従来のワックス系防錆剤は、防錆性には優れるものであるが、塗膜が不透明で下地の外観を損なう場合があり得る。また、脱膜する際には強溶剤やアルカリ性洗剤等を使用して擦り落とす必要があり、塗布の際に周囲へ飛散した防錆剤の除去が比較的困難なものであることが多い。人体や脱膜対象部材、環境等への負荷を考慮すると、アルカリ性洗剤よりも除去能力の弱い中性洗剤で容易に脱膜が可能な防錆組成物が求められている。
【0006】
本発明者らは上記課題に鑑み鋭意検討を重ねた結果、透明性に優れ、かつ優れた脱膜性を有する塗膜を形成し、長期防錆力を発揮する組成物を見出した。本発明は、上記知見に基づきさらに検討を重ねて完成されるに至ったものである。
【課題を解決するための手段】
【0007】
すなわち本発明は下記の(1)から(6)に関するものである。
(1)基油(A)と、防錆添加剤(B)と、スルホン酸金属塩(C)を含有する防錆組成物であって、前記基油(A)と前記防錆添加剤(B)の重量比が(B)/(A)=0.08~2.5、かつ、前記基油(A)とスルホン酸金属塩(C)の重量比が(C)/(A)=0.4~5.5であることを特徴とする防錆組成物。
(2)前記防錆添加剤(B)が下記化学式1、2の構造を少なくとも1つ含む防錆添加剤(B)であることを特徴とする前記(1)に記載の防錆組成物。
化学式1:
TIFF
2025105041000001.tif
29
67
化学式2:
TIFF
2025105041000002.tif
35
109
R1:炭化水素基
R1は置換されていてもよく、飽和炭化水素、不飽和炭化水素、脂環式炭化水素、芳香環炭化水素であってもよい。
R2は水素、炭化水素基、アルカリ金属、アルカリ土類金属のいずれかで、炭化水素基は置換されていてもよい。
R3、R4,R5:水素または炭化水素基
R1は置換されていてもよく、飽和炭化水素、不飽和炭化水素、脂環式炭化水素、芳香環炭化水素であってもよい。
R1、R3、R4、R5は同じであっても異なる基であってもよい。
(3)前記防錆添加剤(B)成分が、脂肪酸、脂肪酸金属塩、脂肪酸エステル、脂肪酸アミン塩、酸化ワックス、酸化ワックス金属塩、酸化ワックスエステル、酸化ワックスアミン塩、酸化ペトロラタム、酸化ペトロラタム金属塩、酸化ペトロラタムエステル、酸化ペトロラタムアミン塩の群から選ばれる1以上の防錆添加剤(B)であることを特徴とする前記(1)に記載の防錆組成物。
(4)前記スルホン酸金属塩(C)が、スルホン酸アルカリ土類金属塩である前記(1)から(3)のいずれか1つに記載の防錆組成物。
(5)前記基油(A)と前記防錆添加剤(B)の重量比が(B)/(A)=0.09~2.5、かつ、
前記基油(A)とスルホン酸金属塩(C)の重量比が(C)/(A)=0.5~4.0であることを特徴とする前記(1)に記載の防錆組成物。
(6)前記基油(A)と前記防錆添加剤(B)の重量比が(B)/(A)=0.1~1.5、かつ、
前記基油(A)とスルホン酸金属塩(C)の重量比が(C)/(A)=1~3であることを特徴とする前記(1)に記載の防錆組成物。
【発明の効果】
【0008】
本発明の防錆剤を用いることにより、透明性に優れ、かつ優れた脱膜性を有する塗膜を形成することが可能となる。また、長期に渡って防錆力を発揮することが可能となる。
【発明を実施するための形態】
【0009】
本実施の形態に係る防錆剤は、基油(A)と、防錆添加剤(B)と、スルホン酸金属塩(C)を主成分として有するものである。また、本実施形態に係る防錆剤の製造方法は、各原料を投入し、加熱して溶解させた後に常温まで冷却し、撹拌機を用いて攪拌することにより行う。
【0010】
本実施形態で用いる基油(A)は、常温(25℃)において液体である。基油の動粘度は、ISO 3448(JIS K2001:1993)で規定されている粘度分類で表される。この粘度分類は、基油の40℃における動粘度mm
2
/s(cst)によって分類され、ISO VG(Viscosity Grade)の番号で表記されたものが市販されている。本実施形態において、基油の40℃動粘度は、JIS K2283:2000に準じて、ガラス製毛細管式粘度計を用いて測定した数値である。
(【0011】以降は省略されています)
この特許をJ-PlatPat(特許庁公式サイト)で参照する
関連特許
個人
フッ素樹脂塗装鋼板の保管方法
2か月前
株式会社京都マテリアルズ
めっき部材
12日前
株式会社カネカ
製膜装置
8日前
株式会社カネカ
製膜装置
8日前
株式会社オプトラン
蒸着装置
5か月前
株式会社三愛工業所
アルミニウム材
5か月前
株式会社KSマテリアル
防錆組成物
3か月前
エドワーズ株式会社
真空排気システム
1日前
日本化学産業株式会社
複合めっき皮膜
2か月前
台灣晶技股ふん有限公司
無電解めっき法
1か月前
東京エレクトロン株式会社
成膜方法
1か月前
日東電工株式会社
積層体の製造方法
4か月前
JFEスチール株式会社
鋼部品
2か月前
株式会社カネカ
気化装置及び製膜装置
2日前
TOTO株式会社
構造部材
2日前
東京エレクトロン株式会社
基板処理装置
6か月前
株式会社内村
防食具、防食具の設置方法
1か月前
東京エレクトロン株式会社
基板処理装置
5か月前
信越半導体株式会社
真空蒸着方法
5か月前
住友重機械工業株式会社
成膜装置
3か月前
DOWAサーモテック株式会社
浸炭方法
5か月前
住友重機械工業株式会社
成膜装置
4か月前
株式会社アルバック
マスクユニット
2日前
東京エレクトロン株式会社
基板処理装置
4か月前
株式会社アルバック
基板ステージ装置
9日前
黒崎播磨株式会社
溶射装置
16日前
フジタ技研株式会社
被覆部材、及び、表面被覆金型
10日前
国立大学法人千葉大学
成膜装置及び成膜方法
1か月前
日本コーティングセンター株式会社
炭化ホウ素被膜
2日前
株式会社デンソー
接合体
22日前
ケニックス株式会社
蒸発源装置
1か月前
川崎重工業株式会社
水素遮蔽膜
2か月前
株式会社アルバック
成膜装置、および搬送方法
2か月前
黒崎播磨株式会社
溶射用ランス
4か月前
学校法人静岡理工科大学
放電被覆装置及び放電被覆方法
1か月前
株式会社オプトラン
光学薄膜形成装置および方法
5か月前
続きを見る
他の特許を見る