TOP
|
特許
|
意匠
|
商標
特許ウォッチ
Twitter
他の特許を見る
10個以上の画像は省略されています。
公開番号
2025125431
公報種別
公開特許公報(A)
公開日
2025-08-27
出願番号
2024021484
出願日
2024-02-15
発明の名称
ヒドロキシクエン酸誘導体又はその塩
出願人
小林製薬株式会社
代理人
個人
,
個人
,
個人
主分類
C07C
69/704 20060101AFI20250820BHJP(有機化学)
要約
【課題】本開示の目的は、新規なヒドロキシクエン酸誘導体を提供することである。
【解決手段】ヒドロキシクエン酸の、ラクトン体ジエステル誘導体、トリエステル誘導体、ラクトン体ジアミド誘導体、又はラクトン体アシル誘導体であって、所定の構造を有するヒドロキシクエン酸誘導体は、CYSLTR2阻害活性を有する新規化合物として有用である。
【選択図】なし
特許請求の範囲
【請求項1】
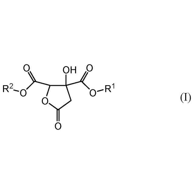
下記式(I)~(IV)のいずれかで表されるヒドロキシクエン酸誘導体又はその塩:
TIFF
2025125431000042.tif
31
124
(式(I)中、R
1
及びR
2
は互いに同じ又は異なっていてもよく、且つ置換基を有していてもよい、[A]直鎖アルキル基、[B]分岐アルキル基、[C]シクロアルキル基、[D]シクロアルキルアルキル基、[E]アラルキル基、[F]ヘテロシクロアルキルアルキル基、[G]アリールオキシアルキル基、及び/又は[H]アラルキルポリオキシアルキレン基である)。
TIFF
2025125431000043.tif
38
124
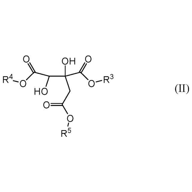
(式(II)中、R
3
、R
4
及びR
5
は互いに同じ又は異なっていてもよく、且つ置換基を有していてもよい、[A]直鎖アルキル基、[B]分岐アルキル基、[C]シクロアルキル基、[D]シクロアルキルアルキル基、[E]アラルキル基、及び/又は[F]ヘテロシクロアルキルアルキル基である)。
TIFF
2025125431000044.tif
31
124
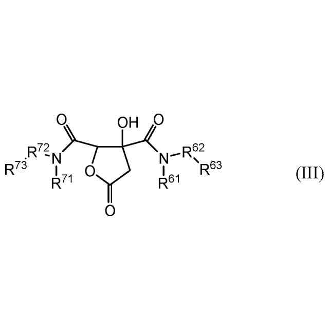
(式(III)中、R
61
、R
62
及びR
63
と、R
71
、R
72
及びR
73
とは、それぞれ、互いに同じ又は異なっていてもよく、
R
61
及びR
71
は、[I]水素、[A]直鎖アルキル基及び/又は[B]分岐アルキル基であり、
R
62
及びR
72
は、[J]アルキレン基及び/又は[K]アルキレンイミノ基であり、且つ
R
63
及びR
73
は、置換基を有していてもよい[L]アリール基であり、若しくは、
R
61
とR
62
及び/又はR
71
とR
72
が互いに結合して、これらが結合する窒素原子と共に[AB/JK]含窒素脂肪族環を形成している、並びに/若しくは、
R
61
とR
63
及び/又はR
71
とR
73
が互いに結合して、それぞれ、R
61
及び/又はR
71
が結合する窒素原子とR
63
及び/又はR
73
が結合するR
62
及び/又はR
72
はと共に[AB/L/JK]含窒素脂肪族環を形成している)。
TIFF
2025125431000045.tif
41
124
(式(IV)中、R
8
は、[A]直鎖アルキル基、[B]分岐アルキル基、置換基を有していてもよい[D]シクロアルキルアルキル基又は[L]アリール基、[M]アシロキシアルキル基、若しくは[N]アルコキシカルボニルアルキル基である)。
続きを表示(約 1,100 文字)
【請求項2】
前記式(I)において、前記置換基が、[a]アルキル基、[b]ハロゲン基、[c]ハロゲン化アルコキシ基、及び/又は[d]アルコキシ基である、請求項1に記載のヒドロキシクエン酸誘導体又はその塩。
【請求項3】
前記式(I)において、
前記R
1
及びR
2
のいずれか一方の前記[A]直鎖アルキル基が有していてもよい前記置換基が、[a]アルキル基、[b]ハロゲン基、[c]ハロゲン化アルコキシ基、及び/又は[d]アルコキシ基であり、且つ
前記R
1
及びR
2
のいずれか他方の前記[A]直鎖アルキル基が有していてもよい前記置換基が、[a]アルキル基、[b]ハロゲン基、及び/又は[c]ハロゲン化アルコキシ基である、請求項1に記載のヒドロキシクエン酸誘導体又はその塩。
【請求項4】
前記式(I)において、
前記[A]直鎖アルキル基の炭素数が2以上である、請求項1に記載のヒドロキシクエン酸誘導体又はその塩。
【請求項5】
前記式(I)において、前記[D]シクロアルキルアルキル基が有していてもよい前記置換基が[a]アルキル基である、請求項1に記載のヒドロキシクエン酸誘導体又はその塩。
【請求項6】
前記式(I)において、前記[E]アラルキル基が前記[d]アルコキシ基を置換基として有する場合、前記[d]基の置換数が1個である、請求項1に記載のヒドロキシクエン酸誘導体又はその塩。
【請求項7】
前記式(I)において、[E]アラルキル基が前記[b]ハロゲン基を置換基として有する場合、前記[b]基がクロロ基である、請求項1に記載のヒドロキシクエン酸誘導体又はその塩。
【請求項8】
前記式(I)において、前記R
1
及びR
2
がいずれも前記[E]アラルキル基であり、
前記[E]基のいずれもアリール(C2以上)アルキル基、又は、
前記[E]基の少なくとも一方がアリール(C1以上)アルキル基、且つ少なくとも一方が前記置換基を有している、請求項1に記載のヒドロキシクエン酸誘導体又はその塩。
【請求項9】
前記式(I)において、前記[F]ヘテロシクロアルキルアルキル基が、オキセタニルアルキル基である、請求項1に記載のヒドロキシクエン酸誘導体又はその塩。
【請求項10】
前記式(I)において、前記[H]アラルキルポリオキシアルキレン基のオキシアルキレン基の繰り返し数が3以上である、請求項1に記載のヒドロキシクエン酸誘導体又はその塩。
(【請求項11】以降は省略されています)
発明の詳細な説明
【技術分野】
【0001】
本開示は、新規のヒドロキシクエン酸誘導体又はその塩に関する。
続きを表示(約 3,600 文字)
【背景技術】
【0002】
ガルシニアの果皮等に含まれるヒドロキシクエン酸は、脂肪燃焼及び体重増加抑制(非特許文献1)、グリコーゲン蓄積促進(非特許文献2)、及び持久力向上(非特許文献3)に有効であり、シュウ酸カルシウム誘発炎症性サイトカインに阻害効果を示す(非特許文献4)生理活性物質である。
【0003】
一方で、ヒドロキシクエン酸を含むガルシニア抽出物のサプリメントをアレルギー性喘息の既往症のある患者に摂取させた結果、重度の肝障害を起こし死亡したという症例報告もある(非特許文献5)。
【先行技術文献】
【非特許文献】
【0004】
Journal of Nutrition & Food Sciences, 3(4). 23-30 (2000).
British Journal of Nutrition, 107, 1048-1055 (2012)
Journal of Nutritional Science and Vitaminology, 49, 163-167 (2003)
Current Molecular Medicine, 20(7), 527-535 (2020)
Digestive and Liver Disease 39(10), 953-5 (2007)
【発明の概要】
【発明が解決しようとする課題】
【0005】
ヒドロキシクエン酸は、食品添加物として多用されているクエン酸の2位に水酸基がさらに結合した構造であり、クエン酸には見られない特異な生理活性を奏する。一方で、ヒドロキシクエン酸には反応性官能基として水酸基及びカルボキシル基を有しているにも関わらず、有用性のある誘導体の検討は十分になされていない。
【0006】
そこで、本開示の目的は、新規なヒドロキシクエン酸誘導体を提供することにある。
【課題を解決するための手段】
【0007】
本発明者らは、鋭意検討の結果、ヒドロキシクエン酸では報告がないCYSLTR2阻害活性を奏する新規ヒドロキシクエン酸誘導体を見出した。本開示は、この知見に基づいて更に検討を重ねることにより完成したものである。
【0008】
即ち、本開示は、下記に掲げる態様の発明を提供する。
項1. 下記式(I)~(IV)のいずれかで表されるヒドロキシクエン酸誘導体又はその塩:
TIFF
2025125431000001.tif
31
124
(式(I)中、R
1
及びR
2
は互いに同じ又は異なっていてもよく、且つ置換基を有していてもよい、[A]直鎖アルキル基、[B]分岐アルキル基、[C]シクロアルキル基、[D]シクロアルキルアルキル基、[E]アラルキル基、[F]ヘテロシクロアルキルアルキル基、[G]アリールオキシアルキル基、及び/又は[H]アラルキルポリオキシアルキレン基である)。
TIFF
2025125431000002.tif
38
124
(式(II)中、R
3
、R
4
及びR
5
は互いに同じ又は異なっていてもよく、且つ置換基を有していてもよい、[A]直鎖アルキル基、[B]分岐アルキル基、[C]シクロアルキル基、[D]シクロアルキルアルキル基、[E]アラルキル基、及び/又は[F]ヘテロシクロアルキルアルキル基である)。
TIFF
2025125431000003.tif
31
124
(式(III)中、R
61
、R
62
及びR
63
と、R
71
、R
72
及びR
73
とは、それぞれ、互いに同じ又は異なっていてもよく、
R
61
及びR
71
は、[I]水素、[A]直鎖アルキル基及び/又は[B]分岐アルキル基であり、
R
62
及びR
72
は、[J]アルキレン基及び/又は[K]アルキレンイミノ基であり、且つ
R
63
及びR
73
は、置換基を有していてもよい[L]アリール基であり、若しくは、
R
61
とR
62
及び/又はR
71
とR
72
が互いに結合して、これらが結合する窒素原子と共に[AB/JK]含窒素脂肪族環を形成している、並びに/若しくは、
R
61
とR
63
及び/又はR
71
とR
73
が互いに結合して、それぞれ、R
61
及び/又はR
71
が結合する窒素原子とR
63
及び/又はR
73
が結合するR
62
及び/又はR
72
はと共に[AB/L/JK]含窒素脂肪族環を形成している)。
TIFF
2025125431000004.tif
41
124
(式(IV)中、R
8
は、[A]直鎖アルキル基、[B]分岐アルキル基、置換基を有していてもよい[D]シクロアルキルアルキル基又は[L]アリール基、[M]アシロキシアルキル基、若しくは[N]アルコキシカルボニルアルキル基である)。
項2. 前記式(I)において、前記置換基が、[a]アルキル基、[b]ハロゲン基、[c]ハロゲン化アルコキシ基、及び/又は[d]アルコキシ基である、項1に記載のヒドロキシクエン酸誘導体又はその塩。
項3. 前記式(I)において、
前記R
1
及びR
2
のいずれか一方の前記[A]直鎖アルキル基が有していてもよい前記置換基が、[a]アルキル基、[b]ハロゲン基、[c]ハロゲン化アルコキシ基、及び/又は[d]アルコキシ基であり、且つ
【発明の効果】
【0009】
本開示によれば、新規ヒドロキシクエン酸誘導体及びその塩が提供される。
【図面の簡単な説明】
【0010】
実施例1の化合物の
1
H NMRスペクトルである。
実施例5の化合物の
1
H NMRスペクトルである。
実施例6の化合物の
1
H NMRスペクトルである。
実施例8の化合物の
1
H NMRスペクトルである。
実施例10の化合物の
1
H NMRスペクトルである。
実施例13の化合物の
1
H NMRスペクトルである。
実施例16の化合物の
1
H NMRスペクトルである。
実施例28の化合物の
1
H NMRスペクトルである。
実施例30の化合物の
1
H NMRスペクトルである。
実施例31の化合物の
1
H NMRスペクトルである。
実施例33の化合物の
1
H NMRスペクトルである。
実施例36の化合物の
1
H NMRスペクトルである。
実施例42の化合物の
1
H NMRスペクトルである。
実施例43の化合物の
1
H NMRスペクトルである。
実施例46の化合物の
1
H NMRスペクトルである。
実施例47の化合物の
1
H NMRスペクトルである。
実施例49の化合物の
1
H NMRスペクトルである。
実施例51の化合物の
1
H NMRスペクトルである。
実施例53の化合物の
1
H NMRスペクトルである。
実施例54の化合物の
1
H NMRスペクトルである。
【発明を実施するための形態】
(【0011】以降は省略されています)
この特許をJ-PlatPat(特許庁公式サイト)で参照する
関連特許
東ソー株式会社
タンパク質の発現方法
27日前
東ソー株式会社
炭素-窒素結合形成方法
3か月前
株式会社トクヤマ
四塩化炭素の製造方法
3か月前
株式会社トクヤマ
シロキサン類の回収方法
3か月前
株式会社トクヤマ
ビオチン誘導体の製造方法
2か月前
株式会社半導体エネルギー研究所
有機化合物
2か月前
栗田工業株式会社
ギ酸の回収方法
9日前
東ソー株式会社
イソシアネート化合物の製造方法
1か月前
株式会社コスモス
液状炭化水素の増産方法
2か月前
株式会社トクヤマ
チオラクトン誘導体の製造方法
17日前
株式会社トクヤマ
ベンザゼピン化合物の製造方法
2か月前
株式会社コスモス
液状炭化水素の増産方法
2か月前
株式会社トクヤマ
ホルムアミド化合物の製造方法
1か月前
信越化学工業株式会社
新規化合物
3か月前
日産化学株式会社
ピラゾール化合物及び有害生物防除剤
2か月前
国立大学法人東京農工大学
深共晶溶媒
2か月前
三菱ケミカル株式会社
アルコールの製造方法
1か月前
本田技研工業株式会社
CO2変換方法
13日前
大阪瓦斯株式会社
メタン製造システム
13日前
JNC株式会社
有機ケイ素化合物およびこれを用いた重合体
2か月前
東ソー株式会社
免疫グロブリン結合性タンパク質の製造方法
27日前
株式会社トクヤマ
アシル化ベンゼン誘導体の酸塩の製造方法
1か月前
キヤノン株式会社
有機化合物及び有機発光素子
17日前
JNC株式会社
有機ケイ素化合物およびこれを用いた重合体
1か月前
株式会社半導体エネルギー研究所
有機金属錯体、発光デバイス
2か月前
個人
IL-17産生誘導能を有する化合物及びその用途
14日前
キヤノン株式会社
有機金属錯体及び有機発光素子
13日前
国立大学法人京都大学
抗がん剤
1か月前
デンカ株式会社
有機酸又はその塩の製造方法
1か月前
岐阜市
化合物、アジュバント組成物および医薬組成物
14日前
株式会社 MTG
ツバキ科ツバキ属の若葉からのエラグ酸製造方法
1か月前
国立大学法人岩手大学
反応性付与化合物
2か月前
花王株式会社
抗ヒトノロウイルス抗体
9日前
國立臺灣大學
ビスフェノールAの製造方法
2か月前
三菱ケミカル株式会社
化合物
1か月前
学校法人東海大学
樹脂担持環状テルル化合物
2か月前
続きを見る
他の特許を見る