TOP
|
特許
|
意匠
|
商標
特許ウォッチ
Twitter
他の特許を見る
10個以上の画像は省略されています。
公開番号
2025139467
公報種別
公開特許公報(A)
公開日
2025-09-26
出願番号
2024038422
出願日
2024-03-12
発明の名称
レーダシステム、レーダ制御方法、レーダ制御プログラム
出願人
株式会社デンソー
代理人
個人
,
個人
主分類
G01S
13/34 20060101AFI20250918BHJP(測定;試験)
要約
【課題】ピークの広がりを抑制し、且つチャープ信号に対する制約を緩和可能なレーダシステム等を提供する。
【解決手段】レーダシステムのプロセッサは、信号セット毎にチャープ信号の中心周波数が単調に変化し且つセット間の時間間隔が線形に時間変化する信号セットの送信を実行するように構成される。信号セットの送信は、中心周波数における時間変化率の周波数変化率に対する相対変化率である比率変化率が、特定時間域において許容変化率範囲内に収まるように、中心周波数を調整することを含む。プロセッサは、送信信号セットが外界のターゲットにて反射された受信信号セットの取得を実行するように構成される。プロセッサは、受信信号セットの位相成分に含まれる非線形成分を減少させるように受信信号セットが補正された補正信号セットに相関するセンシングデータの出力を実行するように構成される。
【選択図】図3
特許請求の範囲
【請求項1】
プロセッサ(6b)を有し、周波数が時間変化するチャープ信号を少なくとも1つ含む送信信号セットを送信サイクル毎に複数送信するレーダシステムであって、
前記プロセッサは、
前記送信信号セットごとに前記チャープ信号の中心周波数が単調に変化し、且つ前記送信信号セット間の時間間隔が線形に時間変化する前記送信信号セットであって、前記送信信号セットごとの前記中心周波数の基準周波数に対する相対変化率を周波数変化率とし、前記送信信号セットごとの前記時間間隔の基準間隔に対する相対変化率を時間変化率とすると、前記時間変化率の前記周波数変化率に対する相対変化率である比率変化率が、特定時間域において、許容変化率範囲内に収まるように、前記中心周波数が調整された前記送信信号セットを、送信することと、
前記送信信号セットが外界のターゲットにて反射された受信信号セットを取得することと、
前記受信信号セットの位相成分に含まれる線形成分及び非線形成分のうち、非線形成分を減少させるように前記受信信号セットが補正された補正信号セットに相関するセンシングデータを出力することと、
を実行するように構成されるレーダシステム。
続きを表示(約 1,800 文字)
【請求項2】
前記センシングデータを出力することは、
前記チャープ信号の前記中心周波数、及び前記送信サイクルにおける前記中心周波数の前記チャープ信号毎の平均変動量に相関する位相補正成分を、前記受信信号セットに対して作用させることで取得された前記補正信号セットに相関する前記センシングデータを出力することを含む請求項1に記載のレーダシステム。
【請求項3】
前記センシングデータを出力することは、
前記受信信号セットに対する窓関数の作用前又は作用後に前記位相補正成分を作用させることで取得された前記補正信号セットに相関する前記センシングデータを出力することを含む請求項2に記載のレーダシステム。
【請求項4】
前記センシングデータを出力することは、
前記受信信号セットに対する窓関数の一部として前記位相補正成分を作用させることで取得された前記補正信号セットに相関する前記センシングデータを出力することを含む請求項2に記載のレーダシステム。
【請求項5】
前記センシングデータを出力することは、
前記受信信号セットにおける特定の注目距離範囲に対応する信号部分に対して前記位相補正成分を作用させることで取得された前記補正信号セットに相関する前記センシングデータを出力することを含む請求項2に記載のレーダシステム。
【請求項6】
前記送信信号セットを送信することは、前記送信信号セットごとに単一の前記チャープ信号を送信することを含む請求項1から請求項5のいずれか1項に記載のレーダシステム。
【請求項7】
前記送信信号セットを送信することは、前記送信信号セットごとに複数の前記チャープ信号を送信することを含む請求項1から請求項5のいずれか1項に記載のレーダシステム。
【請求項8】
周波数が時間変化するチャープ信号を少なくとも1つ含む送信信号セットを送信サイクル毎に複数送信するレーダ装置(1)を制御するために、プロセッサ(6b)により実行されるレーダ制御方法であって、
前記送信信号セットごとに前記チャープ信号の中心周波数が単調に変化し、且つ前記送信信号セット間の時間間隔が線形に時間変化する前記送信信号セットであって、前記送信信号セットごとの前記中心周波数の基準周波数に対する相対変化率を周波数変化率とし、前記送信信号セットごとの前記時間間隔の基準間隔に対する相対変化率を時間変化率とすると、前記時間変化率の前記周波数変化率に対する相対変化率である比率変化率が、特定時間域において、許容変化率範囲内に収まるように、前記中心周波数が調整された前記送信信号セットを、送信することと、
前記送信信号セットが外界のターゲットにて反射された受信信号セットを取得することと、
前記受信信号セットの位相成分に含まれる線形成分及び非線形成分のうち、非線形成分を減少させるように前記受信信号セットが補正された補正信号セットに相関するセンシングデータを出力することと、
を含むレーダ制御方法。
【請求項9】
周波数が時間変化するチャープ信号を少なくとも1つ含む送信信号セットを送信サイクル毎に複数送信するレーダ装置(1)を制御するために記憶媒体(6a)に記憶され、プロセッサ(6b)に実行させるための命令を含むレーダ制御プログラムであって、
前記命令は、
前記送信信号セットごとに前記チャープ信号の中心周波数が単調に変化し、且つ前記送信信号セット間の時間間隔が線形に時間変化する前記送信信号セットであって、前記送信信号セットごとの前記中心周波数の基準周波数に対する相対変化率を周波数変化率とし、前記送信信号セットごとの前記時間間隔の基準間隔に対する相対変化率を時間変化率とすると、前記時間変化率の前記周波数変化率に対する相対変化率である比率変化率が、特定時間域において、許容変化率範囲内に収まるように、前記中心周波数が調整された前記送信信号セットを、送信させることと、
前記送信信号セットが外界のターゲットにて反射された受信信号セットを取得させることと、
前記受信信号セットの位相成分に含まれる線形成分及び非線形成分のうち、非線形成分を減少させるように前記受信信号セットが補正された補正信号セットに相関するセンシングデータを出力させることと、
を含むレーダ制御プログラム。
発明の詳細な説明
【技術分野】
【0001】
本開示は、レーダ技術に、関する。
続きを表示(約 2,900 文字)
【背景技術】
【0002】
特許文献1には、複数のチャープ信号を、中心周波数を変化させて送信し、ターゲットにて反射されたチャープ信号を受信信号として取得するレーダシステムが開示されている。送信信号と受信信号とのミキシングによるビート信号の周波数解析において、チャープ信号の中心周波数が変化する場合、ビート信号の周波数には、チャープ信号の中心周波数と送信時刻との積に依存する項が現れる。この項がチャープ信号の順番の数に対して非線形となる場合ターゲットのピークが広がる。レーダシステムは、この項を線形とするため、時間間隔の相対変化の大きさが中心周波数の相対変化の大きさの少なくとも2倍となるように、チャープ信号の時間間隔を調整する。
【先行技術文献】
【特許文献】
【0003】
独国特許発明第102020210079号明細書
【発明の概要】
【発明が解決しようとする課題】
【0004】
しかし、特許文献1の技術では、レーダシステムのICにて実現可能な精度よりも高精度な時間調整が必要になる場合がある。この場合、必要な時間間隔を実現するためには、チャープ信号における時間間隔以外のパラメータの調整が必要になり得る。したがって、特許文献1の技術では、ピークの広がりを抑制するために、チャープ信号における時間間隔以外のパラメータの制約が厳しくなる虞がある。
【0005】
本開示の課題は、ピークの広がりを抑制し、且つチャープ信号に対する制約を緩和可能なレーダシステムを、提供することにある。本開示の別の課題は、ピークの広がりを抑制し、且つチャープ信号に対する制約を緩和可能なレーダ制御方法を、提供することにある。本開示のさらに別の課題は、ピークの広がりを抑制し、且つチャープ信号に対する制約を緩和可能なレーダ制御プログラムを、提供することにある。
【課題を解決するための手段】
【0006】
以下、課題を解決するための本開示の技術的手段について、説明する。尚、特許請求の範囲及び本欄に記載された括弧内の符号は、後に詳述する実施形態に記載された具体的手段との対応関係を示すものであり、本開示の技術的範囲を限定するものではない。
【0007】
本開示の第一態様は、プロセッサ(6b)を有し、周波数が時間変化するチャープ信号を少なくとも1つ含む送信信号セットを送信サイクル毎に複数送信するレーダシステムであって、
プロセッサは、
送信信号セットごとにチャープ信号の中心周波数が単調に変化し、且つ送信信号セット間の時間間隔が線形に時間変化する送信信号セットであって、送信信号セットごとの中心周波数の基準周波数に対する相対変化率を周波数変化率とし、送信信号セットごとの時間間隔の基準間隔に対する相対変化率を時間変化率とすると、時間変化率の周波数変化率に対する相対変化率である比率変化率が、特定時間域において、許容変化率範囲内に収まるように、中心周波数が調整された送信信号セットを、送信することと、
送信信号セットが外界のターゲットにて反射された受信信号セットを取得することと、
受信信号セットの位相成分に含まれる線形成分及び非線形成分のうち、非線形成分を減少させるように受信信号セットが補正された補正信号セットに相関するセンシングデータを出力することと、
を実行するように構成される。
【0008】
本開示の第二態様は、周波数が時間変化するチャープ信号を少なくとも1つ含む送信信号セットを送信サイクル毎に複数送信するレーダ装置(1)を制御するために、プロセッサ(6b)により実行されるレーダ制御方法であって、
送信信号セットごとにチャープ信号の中心周波数が単調に変化し、且つ送信信号セット間の時間間隔が線形に時間変化する送信信号セットであって、送信信号セットごとの中心周波数の基準周波数に対する相対変化率を周波数変化率とし、送信信号セットごとの時間間隔の基準間隔に対する相対変化率を時間変化率とすると、時間変化率の周波数変化率に対する相対変化率である比率変化率が、特定時間域において、許容変化率範囲内に収まるように、中心周波数が調整された送信信号セットを、送信することと、
送信信号セットが外界のターゲットにて反射された受信信号セットを取得することと、
受信信号セットの位相成分に含まれる線形成分及び非線形成分のうち、非線形成分を減少させるように受信信号セットが補正された補正信号セットに相関するセンシングデータを出力することと、
を含む。
【0009】
本開示の第三態様は、周波数が時間変化するチャープ信号を少なくとも1つ含む送信信号セットを送信サイクル毎に複数送信するレーダ装置(1)を制御するために記憶媒体(6a)に記憶され、プロセッサ(6b)に実行させるための命令を含むレーダ制御プログラムであって、
命令は、
送信信号セットごとにチャープ信号の中心周波数が単調に変化し、且つ送信信号セット間の時間間隔が線形に時間変化する送信信号セットであって、送信信号セットごとの中心周波数の基準周波数に対する相対変化率を周波数変化率とし、送信信号セットごとの時間間隔の基準間隔に対する相対変化率を時間変化率とすると、時間変化率の周波数変化率に対する相対変化率である比率変化率が、特定時間域において、許容変化率範囲内に収まるように、中心周波数が調整された送信信号セットを、送信させることと、
送信信号セットが外界のターゲットにて反射された受信信号セットを取得させることと、
受信信号セットの位相成分に含まれる線形成分及び非線形成分のうち、非線形成分を減少させるように受信信号セットが補正された補正信号セットに相関するセンシングデータを出力させることと、
を含む。
【0010】
これら第一~第三態様によると、比率変化率が特定時間域において許容変化率範囲内に収まるように、チャープ信号の中心周波数が調整される。故に、チャープ信号の時間間隔と中心周波数との積が特定時間域内において非線形となることが回避され得る。中心周波数は時間間隔と比較して細かい調整が可能であるため、中心周波数の調整により比率変化率が許容変化率範囲内に収まり易くなり、中心周波数以外のパラメータの制約が緩和され得る。これにより、速度に応じたピークの広がりが抑制され得る。さらに、補正信号セットにおいて受信信号セットの位相成分における非線形成分が減少されるように補正されるため、距離に応じたピークの広がりが抑制され得る。以上により、ピークの広がりを抑制し、且つチャープ信号に対する制約を緩和可能となり得る。
【図面の簡単な説明】
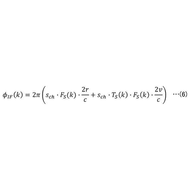
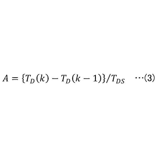
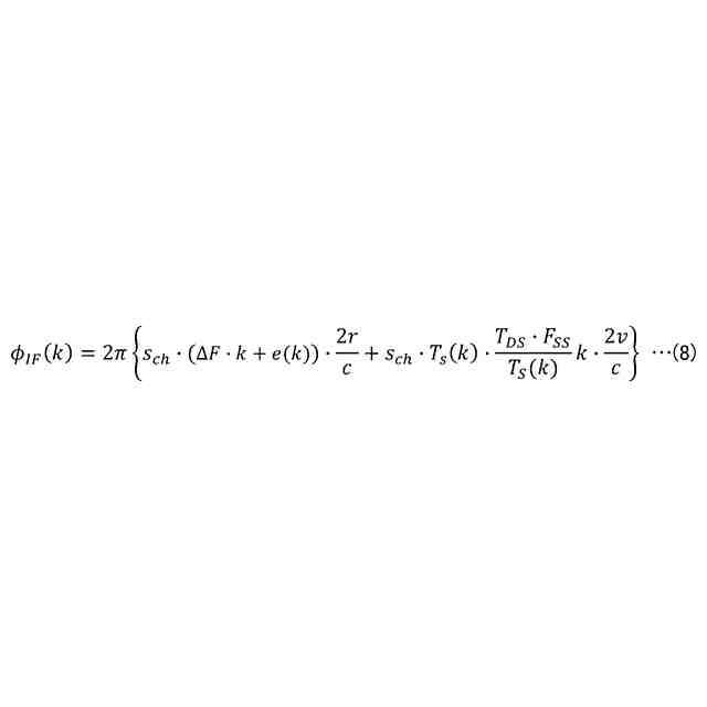
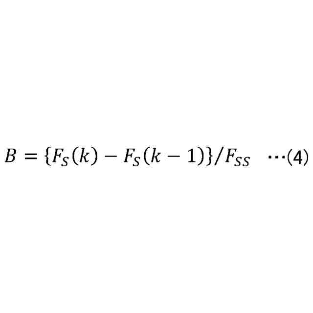
(【0011】以降は省略されています)
この特許をJ-PlatPat(特許庁公式サイト)で参照する
関連特許
株式会社デンソー
車載器
8日前
株式会社デンソー
ねじ部材
8日前
株式会社デンソー
電子装置
12日前
株式会社デンソー
電子装置
2日前
株式会社デンソー
反力装置
2日前
株式会社デンソーエレクトロニクス
発音装置
12日前
株式会社デンソー
ステータ
8日前
株式会社デンソー
ステータ
8日前
株式会社デンソー
電子装置
3日前
株式会社デンソーテン
インバータ
2日前
株式会社デンソー
レーダ装置
1日前
株式会社デンソー
レーダ装置
12日前
株式会社デンソー
農業用装置
4日前
株式会社デンソー
半導体装置
8日前
株式会社デンソーテン
車載映像装置
8日前
株式会社デンソー
衝突予測装置
3日前
株式会社デンソー
運転支援装置
3日前
株式会社デンソー
電子制御装置
8日前
株式会社デンソー
電子制御装置
12日前
株式会社デンソー
衝突予測装置
3日前
株式会社デンソー
車載システム
2日前
株式会社デンソー
電波吸収装置
12日前
株式会社デンソー
車載システム
2日前
株式会社デンソー
車両制御装置
2日前
株式会社デンソー
通信システム
12日前
株式会社デンソー
電気化学セル
12日前
株式会社デンソー
電力変換装置
4日前
株式会社デンソー
制御システム
15日前
株式会社デンソーエアクール
換気空調装置
9日前
株式会社デンソー
ステータコア
15日前
株式会社デンソー
運航管理装置
1日前
株式会社デンソー
電力変換装置
8日前
株式会社デンソー
電圧検出回路
4日前
株式会社デンソー
画像符号化装置
10日前
株式会社デンソー
移動体制御装置
9日前
株式会社デンソー
圧着ヘッド装置
8日前
続きを見る
他の特許を見る