TOP
|
特許
|
意匠
|
商標
特許ウォッチ
Twitter
他の特許を見る
10個以上の画像は省略されています。
公開番号
2025141585
公報種別
公開特許公報(A)
公開日
2025-09-29
出願番号
2024041593
出願日
2024-03-15
発明の名称
レンズ設計の選択方法、レンズ設計の選択システム、レンズ設計の選択装置
出願人
ホヤ レンズ タイランド リミテッド
,
HOYA Lens Thailand Ltd
代理人
個人
,
個人
,
個人
,
個人
主分類
G02C
7/02 20060101AFI20250919BHJP(光学)
要約
【課題】少ないデータ数しか得られないとしてもユーザーにとって満足度の高い眼鏡レンズをレンズ提供者が選択する際の精度を改善する。
【解決手段】眼鏡レンズのユーザーの処方に基づいて設計される眼鏡レンズを提供するにあたり、眼鏡レンズの使用態様に関する質問検査を過去に受けた各対象者から得られた結果と満足度に基づいて複数のレンズ設計に対する相性の確率分布Dを準備する準備工程と、確率分布Dに基づいて、ユーザーからの質問検査の結果において確率が最尤となる確率分布Dmに対応するレンズ設計を選択する選択工程と、を有し、確率分布Dは、各対象者及びユーザーからの質問検査の結果によりベイズ更新され、確率分布Dを得るための目的関数Mは、誤差関数とペナルティ項とを備え、ペナルティ項は、目的関数Mにおける、質問検査の結果への依存度を調整する項である、レンズ設計の選択方法及びその関連技術を提供する。
【選択図】図17
特許請求の範囲
【請求項1】
眼鏡レンズのユーザーの処方に基づいて設計される眼鏡レンズを提供するにあたり、前記ユーザーにとって満足度の高いレンズ設計を複数のレンズ設計の中から選択する方法であって、
眼鏡レンズの使用態様に関する質問検査を過去に受けた各対象者から得られた結果と満足度に基づいて前記複数のレンズ設計に対する相性の確率分布Dを準備する準備工程と、
前記確率分布Dに基づいて、前記ユーザーからの前記質問検査の結果において確率が最尤となる確率分布Dmに対応するレンズ設計を選択する選択工程と、
を有し、
前記確率分布Dは、前記各対象者及び前記ユーザーからの前記質問検査の結果によりベイズ更新され、
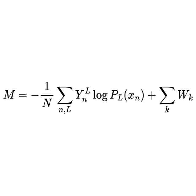
前記確率分布Dを得るための目的関数Mは、誤差関数とペナルティ項とを備え、
前記ペナルティ項は、前記目的関数Mにおける、前記質問検査の結果への依存度を調整する項である、レンズ設計の選択方法。
続きを表示(約 2,000 文字)
【請求項2】
前記質問検査は、各対象者に対する眼鏡レンズの使用態様に関する質問であり、
前記対象者は、前記質問への回答者であり、
前記確率分布Dは、前記各回答者にとって満足度が最も高かったレンズ設計ごとに、前記質問の項目ごとに前記各回答者から得られた回答に応じた確率分布Dqである、請求項1に記載のレンズ設計の選択方法。
【請求項3】
前記質問検査は、各対象者に対する、眼鏡レンズの使用態様に関する検査であり、
前記対象者は、前記検査の被検者であり、
前記確率分布Dは、前記各被検者にとって満足度が最も高かったレンズ設計ごとに、前記各被検者から得られた検査結果に応じた確率分布Diである、請求項1に記載のレンズ設計の選択方法。
【請求項4】
前記質問検査は、各対象者に対する、眼鏡レンズの使用態様に関する質問及び検査であり、
前記対象者は、前記質問への回答者且つ前記検査の被検者であり、
前記各回答者にとって満足度が最も高かったレンズ設計ごとに、前記質問の項目ごとに前記各回答者から得られた回答に応じた確率分布Dqと、前記各被検者から得られた検査結果に応じた確率分布Diとを合成して前記確率分布Dを得る、請求項1に記載のレンズ設計の選択方法。
【請求項5】
前記選択工程により複数のレンズ設計の中からレンズ設計を絞り込む際、前記複数のレンズ設計の数をNとしたとき、前記選択工程を行う回数は最大でもN-1とする、請求項1に記載のレンズ設計の選択方法。
【請求項6】
前記選択工程により複数のレンズ設計の中からレンズ設計を絞り込む際、前記複数のレンズ設計の数をNとしたとき、前記選択工程を行う回数は最大でもlog
2
(N)以下の最大の整数とする、請求項1に記載のレンズ設計の選択方法。
【請求項7】
前記選択工程において選択されたレンズ設計において、以下の少なくともいずれかを出力する出力工程を更に有する、請求項1に記載のレンズ設計の選択方法。
・確率分布D
・質問検査結果に基づく確率変数xをプロットしたグラフ
・選択されたレンズ設計のクラス所属確率
【請求項8】
前記出力工程では、前記選択工程において選択されなかったレンズ設計における以下の少なくともいずれか
・確率分布D
・質問検査結果に基づく確率変数xをプロットしたグラフ
・選択されたレンズ設計のクラス所属確率
も出力し、
前記選択工程において選択されなかったレンズ設計は、少なくとも以下のいずれか
・前記選択されたレンズ設計と比べて確率が最尤となる前記確率分布Dmへの対応度合いが類似するレンズ設計
・前記選択されたレンズ設計と比べて確率が最尤となる前記確率分布Dmへの対応度合いが非類似であるレンズ設計
である、請求項7に記載のレンズ設計の選択方法。
【請求項9】
所定のユーザーに対する前記質問検査の結果と共に該結果を得たときの新旧情報をデータベースに記憶する記憶工程と、
前記ユーザーに対し、前記新旧情報を基に、前記データベースから以下の少なくともいずれか
・過去に前記ユーザーに対して行われた前記選択工程により選択されたレンズ設計に係る情報
・過去に前記ユーザーに対して行われた前記選択工程において用いた確率分布Dに係る情報
・過去に前記ユーザーに対して行われた前記選択工程において用いたペナルティ項に係る情報
・過去に前記ユーザーに対して行われた質問検査の結果に係る情報
を入手する入手工程と、
を更に有する、請求項1に記載のレンズ設計の選択方法。
【請求項10】
眼鏡レンズのユーザーの処方に基づいて設計される眼鏡レンズを提供するにあたり、前記ユーザーにとって満足度の高いレンズ設計を複数のレンズ設計の中から選択するシステムであって、
眼鏡レンズの使用態様に関する質問検査を過去に受けた各対象者から得られた結果と満足度に基づいて前記複数のレンズ設計に対する相性の確率分布Dを記憶する記憶部と、
前記確率分布Dに基づいて、前記ユーザーからの前記質問検査の結果において確率が最尤となる確率分布Dmに対応するレンズ設計を選択する選択部と、
を有し、
前記確率分布Dは、前記各対象者及び前記ユーザーからの前記質問検査の結果によりベイズ更新され、
前記確率分布Dを得るための目的関数Mは、誤差関数とペナルティ項とを備え、
前記ペナルティ項は、前記目的関数Mにおける、前記質問検査の結果への依存度を調整する項である、レンズ設計の選択システム。
(【請求項11】以降は省略されています)
発明の詳細な説明
【技術分野】
【0001】
本発明は、例えば、レンズ設計の選択方法、レンズ設計の選択システム、レンズ設計の選択装置に関する。
続きを表示(約 2,400 文字)
【背景技術】
【0002】
特許文献1には以下の内容が記載されている。
「ユーザーの職業や趣味などの生活状況、眼鏡歴だけでなく、眼鏡の使用状況、遠用度数の少なくともいずれかを考慮することによって、遠方視領域及び近方視領域の分布を決める基本設計分布群と累進帯長とから、より適切なレンズ設計基準を選択する。」
「累進屈折力レンズ対の遠方視領域及び近方視領域の分布を決める基本設計分布群と、累進帯長と、から選択されるレンズ設計基準の選択方法であって、以下の工程を有する。すなわち、
(1)遠方視領域と近方視領域の領域区分が異なる複数の基本設計分布群と、異なる複数の累進帯長と、からなる設計バリエーションを用意する工程
(2)少なくとも、前記累進屈折力レンズ対を使用する使用者の処方情報と、前記使用者の生活環境情報と、前記累進屈折力レンズ対を保持するフレーム形状情報と、に由来するパラメータを入力するパラメータ設定工程。
(3)前記入力されたパラメータに基づいて前記複数の基本設計分布群から一種類の基本設計分布群を選択する工程
(4)前記入力されたパラメータに基づいて一つの累進帯長を選択する工程
(5)前記設計バリエーションから選択された前記基本設計分布群及び前記累進帯長から、一つのレンズ設計基準を選択する工程
が含まれている。そして、前記パラメータ設定工程において、前記使用者の処方情報と前記フレーム形状情報に基づいて算出される前記使用者の眼鏡装用時における左右の累進屈折力レンズの裏面頂点と左右の眼球角膜頂点との距離を、前記パラメータの設定要素に含むものとする。」
【0003】
特許文献2には以下の内容が記載されている。
「レンズ購入者の空間周波数に対する認知特性を取得することでレンズ購入者の眼の情報を眼鏡レンズの光学設計に反映させる。」
「被検者に異なる空間周波数を目視させ、前記被検者の空間周波数に対する認知特性を取得する特性取得工程と、前記被検者の認知特性から前記被検者の見え方の特性を算出する特性算出工程と、前記被検者の見え方の特性を前記被検者の眼鏡レンズのレンズ設計に反映させるレンズ設計工程とを行う。」
【0004】
特許文献3には以下の内容が記載されている。
「少なくとも1つの眼科用レンズの少なくとも1つの表面を計算するための表面モデルを、少なくとも、前記少なくとも1つの眼科用レンズのためのオーダ・パラメータのセットから、及び/又は前記オーダ・パラメータに依拠した変数から決定するためのコンピュータ実施方法であって、前記方法は、
少なくとも1つの眼科用レンズをオーダするのに必要なパラメータの少なくとも一部分の値をそれぞれ含む複数のオーダ・パラメータ・セットを含むトレーニング・データ・セットを提供することと、
前記トレーニング・データ・セット内の前記オーダ・パラメータ・セットの各々について、前記少なくとも1つの眼科用レンズの少なくとも1つの特性の少なくとも1つの目標値を提供することと、
モデル・パラメータによってパラメータ化された少なくとも1つの表面モデルを提供することであって、これを用いて、-前記モデル・パラメータの所与の値について-少なくとも1つの眼科用レンズの少なくとも1つの表面を、少なくとも、オーダ・パラメータ・セットから、及び/又はオーダ・パラメータ・セットに依拠した変数から計算可能であることと、
少なくとも1つの眼科用レンズの少なくとも1つの表面の前記計算のために前記表面モデルを取得することであって、
前記提供された目標値を用いて、前記少なくとも1つの表面モデルの前記モデル・パラメータの最適化値を決定することを含むことと、
を含む、コンピュータ実施方法。」
【0005】
また、特許文献3の段落0071には以下の記載がある。
「線形回帰モデルの代わりに非線形回帰モデルを用いることも可能である。しかしながら、同時に、この目的で、モデル・パラメータの大域最適値において必ずしも収束しない非線形最適化アルゴリズムが一般的であるため、モデル・パラメータを適切に決定することがより困難である。」
【先行技術文献】
【特許文献】
【0006】
WO2009/133887号パンフレット
特開2018-146604号公報
特表2023-537034号公報
【発明の概要】
【発明が解決しようとする課題】
【0007】
ユーザーにとって満足度の高い眼鏡レンズを提供するのは簡単ではない。なぜなら、視覚の好みといった未だに解明されていない複雑な機構にアプローチしなければならないためである。
【0008】
例えば特許文献1に記載の手法のように、視覚選好性に対してアンケートや測定といった方法でデータを得て研究が進められている。その一方、該データの内部にある複雑な相関を解くことは非常に難しく、十分に統制された実験設定をすることの難易度が高い。
【0009】
また、該データを得るにしても、人間を対象に該データを集める必要があるため、データを増やすことは容易ではない。
【0010】
上記「満足度」は、ユーザーの身体の物理的態様(眼に関しては処方値他のパラメータ、体に関しては首の可動域又は姿勢等との相性)に対して最も適切に合致しているか否かの度合い1と、ユーザーの意に添っているか否かという度合い2とを概念として含ませ得る。この度合い2は、度合い1である合致度をユーザーごとの尺度で定量化した値でもある。
(【0011】以降は省略されています)
この特許をJ-PlatPat(特許庁公式サイト)で参照する
関連特許
カンタツ株式会社
光学系
23日前
日本精機株式会社
表示装置
28日前
日本精機株式会社
表示装置
28日前
アイカ工業株式会社
反射防止フィルム
23日前
キヤノン株式会社
映像表示装置
12日前
インターマン株式会社
立体映像表示装置
12日前
日本精機株式会社
ヘッドアップディスプレイ
28日前
沖電気工業株式会社
光導波路素子
28日前
沖電気工業株式会社
光導波路素子
28日前
沖電気工業株式会社
光導波路素子
28日前
個人
透過型及び反射型顕微鏡
12日前
東レ株式会社
プラスチック光ファイバ
22日前
キヤノン株式会社
画像表示装置
20日前
キヤノン株式会社
レンズ装置および撮像装置
今日
レーザーテック株式会社
検査装置及び検査方法
2日前
キヤノン株式会社
表示装置
5日前
株式会社小糸製作所
画像投影装置
12日前
株式会社小糸製作所
画像投影装置
13日前
株式会社小糸製作所
画像生成装置
21日前
東レ株式会社
先端に凸面を有する光ファイバ
12日前
日東電工株式会社
光学積層体
13日前
キヤノン株式会社
光学系及び撮像装置
6日前
日東電工株式会社
光学積層体
26日前
日本電気株式会社
リング共振器、およびその製造方法
27日前
キヤノン株式会社
光学系および撮像装置
23日前
セイコーエプソン株式会社
虚像表示装置
2日前
KDDI株式会社
光増幅器
12日前
KDDI株式会社
光増幅器
12日前
住友化学株式会社
複合偏光板及び画像表示装置
今日
日本電気株式会社
リング共振器、およびその製造方法
28日前
キヤノン株式会社
光学装置
26日前
国立大学法人徳島大学
マイクロコム制御装置
26日前
瀚宇彩晶股ふん有限公司
表示パネル
26日前
レーザーテック株式会社
波長変換装置及び波長変換方法
6日前
株式会社フォトニックラティス
透過型光学顕微鏡
6日前
株式会社キーエンス
観察装置
22日前
続きを見る
他の特許を見る