TOP
|
特許
|
意匠
|
商標
特許ウォッチ
Twitter
他の特許を見る
10個以上の画像は省略されています。
公開番号
2025141891
公報種別
公開特許公報(A)
公開日
2025-09-29
出願番号
2025038149
出願日
2025-03-11
発明の名称
カルボン酸塩、カルボン酸発生剤、レジスト組成物及びレジストパターンの製造方法
出願人
住友化学株式会社
代理人
個人
,
個人
主分類
G03F
7/004 20060101AFI20250919BHJP(写真;映画;光波以外の波を使用する類似技術;電子写真;ホログラフイ)
要約
【課題】良好なパターン倒れ耐性(PCM)でレジストパターンを製造する。
【解決手段】式(I)で表されるカルボン酸塩を含有するカルボン酸発生剤。
<com:Image com:imageContentCategory="Drawing"> <com:ImageFormatCategory>JPEG</com:ImageFormatCategory> <com:FileName>2025141891000186.jpg</com:FileName> <com:HeightMeasure com:measureUnitCode="Mm">17</com:HeightMeasure> <com:WidthMeasure com:measureUnitCode="Mm">170</com:WidthMeasure> </com:Image>
【選択図】なし
特許請求の範囲
【請求項1】
式(I)で表されるカルボン酸塩を含有するカルボン酸発生剤。
JPEG
2025141891000173.jpg
17
170
[式(I)中、
L
1
は、単結合又は置換基を有してもよい炭素数1~40の炭化水素基を表し、該炭化水素基に含まれる-CH
2
-は、-O-、-S-、-SO
2
-、-SO-、-NR
7
-又は-CO-に置き換わっていてもよい。
R
7
は、水素原子又は炭素数1~6のアルキル基を表す。
W
1
は、ヨウ素原子を有する炭素数3~36の脂環式炭化水素基を表し、該脂環式炭化水素基に含まれる-CH
2
-は、-O-、-S-、-SO
2
-、-SO-、-NR
7
-又は-CO-に置き換わっていてもよく、該脂環式炭化水素基は、ヨウ素原子以外の置換基を有していてもよい。
R
5
は、-X
1
-R
10
又は-X
1
-L
10
-X
2
-R
10
を表す。
X
1
及びX
2
は、それぞれ独立に、*-CO-O-、*-O-CO-、*-O-CO-O-又は*-O-(但し、*は、W
1
又はL
10
との結合部位を表す。)を表す。
L
10
は、置換基を有してもよい炭素数1~28の炭化水素基を表し、該炭化水素基に含まれる-CH
2
-は、-O-、-S-、-SO
2
-、-SO-、-NR
7
-又は-CO-に置き換わっていてもよい。
R
10
は、置換基を有してもよい酸安定炭化水素基を表す。
m5は、1~4のいずれかの整数を表し、m5が2以上のとき、複数のR
5
は互いに同一であっても異なってもよい。
Z
+
は、有機カチオンを表す。]
続きを表示(約 5,700 文字)
【請求項2】
L
1
が、単結合、置換基を有してもよい炭素数1~10の鎖式炭化水素基(但し、該鎖式炭化水素基に含まれる-CH
2
-は、-O-又は-CO-に置き換わっていてもよい。)、置換基を有してもよい炭素数3~24の環状炭化水素基(但し、該環状炭化水素基に含まれる-CH
2
-は、-O-、-S-、-CO-、-SO-、-NR
7
-又は-SO
2
-に置き換わっていてもよい。)又は置換基を有してもよい炭素数1~8の鎖式炭化水素基と置換基を有してもよい炭素数3~24の環状炭化水素基とを組み合わせてなる基(但し、該鎖式炭化水素基に含まれる-CH
2
-は、-O-又は-CO-に置き換わっていてもよく、該環状炭化水素基に含まれる-CH
2
-は、-O-、-S-、-SO
2
-、-SO-、-NR
7
-又は-CO-に置き換わっていてもよい。)である請求項1に記載のカルボン酸発生剤。
【請求項3】
W
1
が、ヨウ素原子を有する炭素数5~10の脂環式炭化水素基である請求項1に記載のカルボン酸発生剤。
【請求項4】
R
10
の置換基を有してもよい酸安定炭化水素基が、式(10a-1)で表される基である請求項1に記載のカルボン酸発生剤。
JPEG
2025141891000174.jpg
8
170
[式(10a-1)中、
L
11
は、単結合又は炭素数1~6のアルカンジイル基を表す。
Ar
11
は、炭素数6~18の芳香族炭化水素基を表す。
R
11a
は、ハロゲン原子又はハロゲン原子を有してもよい炭素数1~12のアルキル基を表し、該アルキル基に含まれる-CH
2
-は、-O-又は-CO-に置き換わっていてもよい。
m11aは、0~8のいずれかの整数を表し、m11aが2以上のとき、複数のR
11a
は互いに同一であっても異なってもよい。
*は、結合部位を表す。]
【請求項5】
R
10
の置換基を有してもよい酸安定炭化水素基が、式(10a-2)で表される基である請求項1に記載のカルボン酸発生剤。
JPEG
2025141891000175.jpg
15
170
[式(10a-2)中、
L
11
は、単結合又は炭素数1~6のアルカンジイル基を表す。
R
11b
、R
11c
及びR
11d
は、
R
11b
及びR
11c
が、それぞれ独立に、水素原子又はハロゲン原子もしくはヒドロキシ基を有してもよい炭素数1~18の炭化水素基であり、R
11d
が、水素原子であるか、
R
11b
及びR
11c
が、互いに結合し、ハロゲン原子又はハロゲン原子を有してもよい炭素数1~12のアルキル基(該アルキル基に含まれる-CH
2
-は、-O-又は-CO-に置き換わっていてもよい。)を有してもよい炭素数3~36の脂環式炭化水素基を形成し、R
11d
が、水素原子であるか、
R
11b
、R
11c
及びR
11d
が、互いに結合し、ハロゲン原子又はハロゲン原子を有してもよい炭素数1~12のアルキル基(該アルキル基に含まれる-CH
2
-は、-O-又は-CO-に置き換わっていてもよい。)を有してもよい炭素数3~36の脂環式炭化水素基を形成する。
*は、結合部位を表す。]
【請求項6】
請求項1~5のいずれか1項に記載のカルボン酸発生剤を含有するレジスト組成物。
【請求項7】
酸不安定基を有する構造単位を含む樹脂を含有し、
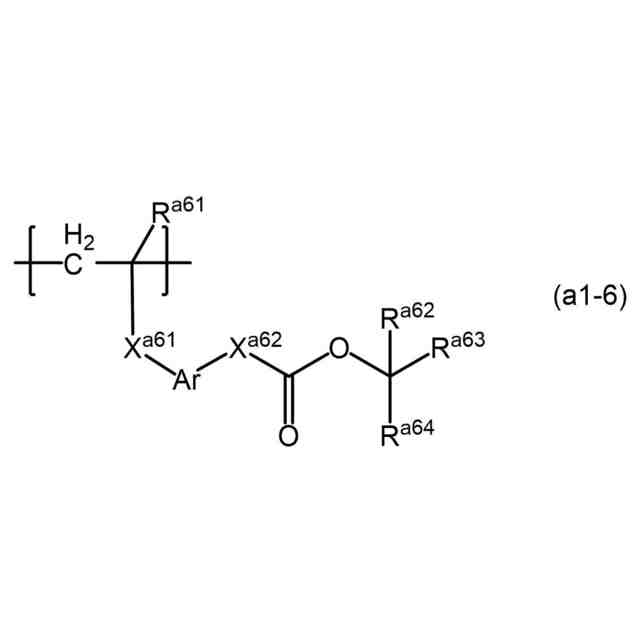
酸不安定基を有する前記構造単位が、式(a1-0)で表される構造単位、式(a1-1)で表される構造単位、式(a1-2)で表される構造単位、式(a1-4)で表される構造単位、式(a1-5)で表される構造単位及び式(a1-6)で表される構造単位からなる群より選ばれる少なくとも1種を含む請求項6に記載のレジスト組成物。
JPEG
2025141891000176.jpg
43
170
[式(a1-0)、式(a1-1)及び式(a1-2)中、
L
a01
、L
a1
及びL
a2
は、それぞれ独立に、-O-又は*-O-(CH
2
)
k1
-CO-O-を表し、k1は1~7のいずれかの整数を表し、*は-CO-との結合部位を表す。
R
a01
、R
a4
及びR
a5
は、それぞれ独立に、水素原子、ハロゲン原子又はハロゲン原子を有していてもよい炭素数1~6のアルキル基を表す。
R
a02
、R
a03
及びR
a04
は、それぞれ独立に、炭素数1~8のアルキル基、炭素数3~18の脂環式炭化水素基、炭素数6~18の芳香族炭化水素基又はこれらを組み合わせた基を表し、該アルキル基、該脂環式炭化水素基及び該芳香族炭化水素基は、ハロゲン原子を有してもよい。
R
a6
及びR
a7
は、それぞれ独立に、炭素数1~8のアルキル基、炭素数2~8のアルケニル基、炭素数3~18の脂環式炭化水素基、炭素数6~18の芳香族炭化水素基又はこれらを組合せることにより形成される基を表し、該アルキル基、該アルケニル基、該脂環式炭化水素基及び該芳香族炭化水素基は、ハロゲン原子を有してもよい。
m1′は、0~14のいずれかの整数を表す。
n1は、0~10のいずれかの整数を表す。
n1′は、0~3のいずれかの整数を表す。]
JPEG
2025141891000177.jpg
30
170
[式(a1-4)中、
R
a1
は、水素原子、ハロゲン原子、又は、ハロゲン原子を有していてもよい炭素数1~6のアルキル基を表す。
R
a17
は、ハロゲン原子、ヒドロキシ基、カルボキシ基、ハロゲン原子を有していてもよい炭素数1~6のアルキル基、炭素数1~6のアルコキシ基、炭素数2~12のアルコキシアルキル基、炭素数2~12のアルコキシアルコキシ基、炭素数2~4のアルキルカルボニル基、炭素数2~4のアルキルカルボニルオキシ基、アクリロイルオキシ基又はメタクリロイルオキシ基を表す。
A
a11
は、単結合又は炭素数1~12のアルカンジイル基を表し、該アルカンジイル基に含まれる-CH
2
-は、-O-、-CO-又は-NR
a18
-に置き換わってもよい。
R
a18
は、水素原子又は炭素数1~6のアルキル基を表す。
X
a1
は、単結合又はカルボニル基を表す。
R
a34
及びR
a35
は、それぞれ独立に、水素原子又は炭素数1~12の炭化水素基を表し、R
a36
は、炭素数1~20の炭化水素基を表すか、R
a35
及びR
a36
は互いに結合してそれらが結合する-C-O-とともに炭素数2~20の2価の炭化水素基を形成し、該炭化水素基及び該2価の炭化水素基に含まれる-CH
2
-は、-O-又は-S-で置き換わってもよい。
na1は、1~5のいずれかの整数を表し、na1が2以上のとき、複数の括弧内の基は、互いに同一であっても異なっていてもよい。
na11は、0~4のいずれかの整数を表し、na11が2以上のとき、複数のR
a17
は、互いに同一であっても異なっていてもよい。
mcは、0~2のいずれかの整数を表す。]
JPEG
2025141891000178.jpg
48
170
【請求項8】
式(a2-A)で表される構造単位を含む樹脂を含有する請求項6に記載のレジスト組成物。
JPEG
2025141891000180.jpg
29
170
[式(a2-A)中、
R
a2
は、水素原子、ハロゲン原子又はハロゲン原子を有していてもよい炭素数1~6のアルキル基を表す。
R
a27
は、ハロゲン原子、ヒドロキシ基、カルボキシ基、ハロゲン原子を有していてもよい炭素数1~6のアルキル基、炭素数1~6のアルコキシ基、炭素数2~12のアルコキシアルキル基、炭素数2~12のアルコキシアルコキシ基、炭素数2~4のアルキルカルボニル基、炭素数2~4のアルキルカルボニルオキシ基、アクリロイルオキシ基又はメタクリロイルオキシ基を表す。
A
a21
は、単結合又は炭素数1~12のアルカンジイル基を表し、該アルカンジイル基に含まれる-CH
2
-は、-O-、-CO-又は-NR
a28
-に置き換わってもよい。
R
a28
は、水素原子又は炭素数1~6のアルキル基を表す。
X
a2
は、単結合又はカルボニル基を表す。
nA2は、1~5のいずれかの整数を表し、nA2が2以上のとき、複数の括弧内の基は、互いに同一であっても異なっていてもよい。
na21は、0~4のいずれかの整数を表し、na21が2以上のとき、複数のR
a27
は、互いに同一であっても異なっていてもよい。
mcは、0~2のいずれかの整数を表す。]
【請求項9】
酸発生剤をさらに含有し、
前記酸発生剤が、式(B1)で表される塩又は式(B2)で表される塩を含む請求項6に記載のレジスト組成物。
JPEG
2025141891000181.jpg
12
170
[式(B1)中、
L
b1
は、単結合又は置換基を有してもよい(nb1+1)価の炭化水素基を表し、該炭化水素基に含まれる-CH
2
-は、-O-、-S-、-CO-又は-SO
2
-に置き換わっていてもよい。
L
b2
は、単結合又は置換基を有してもよい炭素数1~24の2価の炭化水素基を表し、該炭化水素基に含まれる-CH
2
-は、-O-、-S-、-CO-又は-SO
2
-で置き換わっていてもよい。
Y
b1
は、置換基を有していてもよいメチル基又は置換基を有していてもよい炭素数3~24の環状炭化水素基を表し、該環状炭化水素基に含まれる-CH
2
-は、-O-、-S-、-SO
2
-又は-CO-に置き換わっていてもよい。
nb1は、1~6のいずれかの整数を表す。nb1が2以上のとき、複数の括弧内の基は、互いに同一であっても異なっていてもよい。
Z1
+
は、有機カチオンを表す。]
JPEG
2025141891000182.jpg
12
170
[式(B2)中、
A
1
は、窒素原子又は炭素原子を表す。
L
b2′
は、単結合又は置換基を有してもよい炭素数1~24の2価の炭化水素基を表し、該炭化水素基に含まれる-CH
2
-は、-O-、-S-、-CO-又は-SO
2
-で置き換わっていてもよい。
Y
b1′
は、置換基を有していてもよいメチル基又は置換基を有していてもよい炭素数3~24の環状炭化水素基を表し、該環状炭化水素基に含まれる-CH
2
-は、-O-、-S-、-CO-又は-SO
2
-で置き換わっていてもよい。
nb5は、2又は3の整数を表す。A
1
が窒素原子の場合、nb5が2であり、A
1
が炭素原子の場合、nb5が3である。複数の括弧内の基は、互いに同一であっても異なっていてもよく、2つの括弧内の基が結合してA
1
を含む環を形成してもよい。
Z2
+
は、有機カチオンを表す。]
【請求項10】
(1)請求項6に記載のレジスト組成物を基板上に塗布する工程、
(2)塗布後のレジスト組成物を乾燥させて組成物層を形成する工程、
(3)組成物層に露光する工程、
(4)露光後の組成物層を加熱する工程、及び
(5)加熱後の組成物層を現像する工程、
を含むレジストパターンの製造方法。
(【請求項11】以降は省略されています)
発明の詳細な説明
【技術分野】
【0001】
本発明は、カルボン酸塩、カルボン酸発生剤、レジスト組成物及びレジストパターンの製造方法に関する。
続きを表示(約 750 文字)
【背景技術】
【0002】
特許文献1には、下記式で表されるカルボン酸塩を含有するレジスト組成物が記載されている。
【0003】
JPEG
2025141891000001.jpg
36
170
【0004】
特許文献2には、下記式で表されるカルボン酸塩を含有するレジスト組成物が記載されている。
【0005】
JPEG
2025141891000002.jpg
25
170
【先行技術文献】
【特許文献】
【0006】
特開2022-141598号公報
特開2011-039502号公報
【発明の概要】
【発明が解決しようとする課題】
【0007】
良好なパターン倒れ耐性(PCM)でレジストパターンを製造することのできる技術が求められている。
【課題を解決するための手段】
【0008】
本発明は、以下の発明を含む。
[発明1]
式(I)で表されるカルボン酸塩を含有するカルボン酸発生剤。
【0009】
JPEG
2025141891000003.jpg
17
170
【0010】
[式(I)中、
L
1
は、単結合又は置換基を有してもよい炭素数1~40の炭化水素基を表し、該炭化水素基に含まれる-CH
2
-は、-O-、-S-、-SO
2
-、-SO-、-NR
7
-又は-CO-に置き換わっていてもよい。
(【0011】以降は省略されています)
この特許をJ-PlatPat(特許庁公式サイト)で参照する
関連特許
住友化学株式会社
偏光板
1か月前
住友化学株式会社
偏光板
1か月前
住友化学株式会社
着色剤
16日前
住友化学株式会社
化合物
16日前
住友化学株式会社
発光素子
2か月前
住友化学株式会社
樹脂組成物
2日前
住友化学株式会社
硬化性組成物
2か月前
住友化学株式会社
硬化性組成物
2か月前
住友化学株式会社
偏光子の製造方法
2か月前
住友化学株式会社
芳香族ポリスルホン
16日前
住友化学株式会社
硬化膜及び表示装置
2か月前
住友化学株式会社
体液に由来する試料
6日前
住友化学株式会社
硬化膜及び表示装置
2か月前
住友化学株式会社
成形原料及びフィルム
1か月前
住友化学株式会社
リサイクル樹脂の製造方法
2か月前
住友化学株式会社
金属有機構造体の製造方法
1か月前
住友化学株式会社
高電子移動度トランジスタ
2か月前
住友化学株式会社
光電変換素子及び光センサー
2か月前
住友化学株式会社
光学積層体及びその製造方法
18日前
住友化学株式会社
複合偏光板及び画像表示装置
4日前
住友化学株式会社
積層体の製造方法及び積層体
1か月前
住友化学株式会社
粘着剤付き偏光板及び表示装置
26日前
住友化学株式会社
プロピレン樹脂組成物及び成形体
1か月前
住友化学株式会社
プロピレン樹脂組成物及び成形体
1か月前
住友化学株式会社
プロピレン樹脂組成物及び成形体
1か月前
住友化学株式会社
着色剤及び着色硬化性樹脂組成物
3日前
住友化学株式会社
プロピレン樹脂組成物及び成形体
1か月前
住友化学株式会社
メタクリル酸製造用触媒の製造方法
2か月前
住友化学株式会社
接着剤組成物及び偏光板の製造方法
26日前
住友化学株式会社
非水電解液二次電池用積層セパレータ
6日前
住友化学株式会社
高分子化合物、組成物、及び発光素子
1か月前
住友化学株式会社
芳香族ポリスルホン及び耐熱フィルム
16日前
住友化学株式会社
グルコースの製造方法およびその触媒
2か月前
住友化学株式会社
リチウム二次電池用正極活物質の製造方法
27日前
住友化学株式会社
浮選剤およびヒ素非含有銅鉱物の回収方法
2か月前
住友化学株式会社
複素環化合物を用いる有害節足動物防除方法
2日前
続きを見る
他の特許を見る