TOP
|
特許
|
意匠
|
商標
特許ウォッチ
Twitter
他の特許を見る
10個以上の画像は省略されています。
公開番号
2025142910
公報種別
公開特許公報(A)
公開日
2025-10-01
出願番号
2024042525
出願日
2024-03-18
発明の名称
マスク
出願人
東洋紡株式会社
代理人
主分類
A41D
13/11 20060101AFI20250924BHJP(衣類)
要約
【課題】
生体に対する安全性に優れた、優れた抗ウイルス効果を発揮することのできるマスクを提供する。
【解決手段】
マンノシルエリスリトールリピッド(MEL)を有効成分として、好ましくは0.000001~100重量%のMELを含む抗ウイルス剤を含有してなるマスク。
【選択図】 なし
特許請求の範囲
【請求項1】
マンノシルエリスリトールリピッド(MEL)を有効成分とする抗ウイルス剤を含有してなるマスク。
続きを表示(約 1,200 文字)
【請求項2】
抗ウイルス剤に含まれるマンノシルエリスリトールリピッド(MEL)の含有量が0.000001~100重量%である、請求項1に記載のマスク。
【請求項3】
抗ウイルス剤に含まれるマンノシルエリスリトールリピッド(MEL)の含有量が0.000001~80重量%である、請求項1に記載のマスク。
【請求項4】
抗ウイルス剤に含まれるマンノシルエリスリトールリピッド(MEL)の含有量が0.0001~10重量%である、請求項1に記載のマスク。
【請求項5】
抗ウイルス剤に含まれるマンノシルエリスリトールリピッド(MEL)が、MEL-A、MEL-B、MEL-CおよびMEL-Dよりなる群から選択されるいずれかである、請求項1から4のいずれかに記載のマスク。
【請求項6】
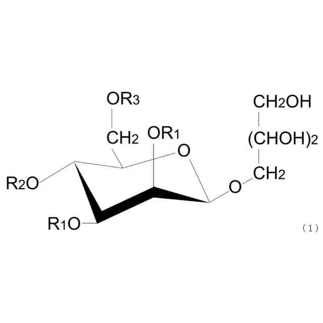
抗ウイルス剤に含まれるマンノシルエリスリトールリピッド(MEL)が式(2)の構造を有する、請求項1から5のいずれかに記載のマスク。
JPEG
2025142910000014.jpg
97
170
(式中、R1は、炭素数4~24の脂肪族アシル基であり、同一であっても異なっていてもよい。R2は、水素またはアセチル基であり、同一であっても異なっていてもよい。R3は、水素または炭素数2~24の脂肪族アシル基である。)
【請求項7】
抗ウイルス剤に含まれるマンノシルエリスリトールリピッド(MEL)が式(3)の構造を有する、請求項1から5のいずれかに記載のマスク。
JPEG
2025142910000015.jpg
90
170
(式中、R1は、炭素数4~24の脂肪族アシル基であり、同一であっても異なっていてもよい。R2は、水素またはアセチル基であり、同一であっても異なっていてもよい。R3は、水素または炭素数2~24の脂肪族アシル基である。)
【請求項8】
抗ウイルス剤に含まれるマンノシルエリスリトールリピッド(MEL)がMEL-Aである、請求項1から7のいずれかに記載のマスク。
【請求項9】
抗ウイルス剤に含まれるMEL-Aが式(4)の構造を有する、請求項8に記載のマスク。
JPEG
2025142910000016.jpg
96
170
(式中、R1は、炭素数2~20の飽和又は不飽和の直鎖又は分枝を有する脂肪族アシル基であり、同一であっても異なっていてもよい。)
【請求項10】
抗ウイルス剤に含まれるMEL-Aが式(5)の構造を有する、請求項8に記載のマスク。
JPEG
2025142910000017.jpg
95
170
(式中、R1は、炭素数2~20の飽和又は不飽和の直鎖又は分枝を有する脂肪族アシル基であり、同一であっても異なっていてもよい。)
(【請求項11】以降は省略されています)
発明の詳細な説明
【技術分野】
【0001】
本発明は、マンノシルエリスリトールリピッド(MEL)を有効成分とする抗ウイルス剤を含有してなることを特徴とするマスクに関する。
続きを表示(約 1,900 文字)
【背景技術】
【0002】
ウイルスは生物とは異なる非細胞性生物として分類されており、哺乳類、鳥類等の宿主の宿主細胞に感染することによって増殖する。ウイルスは、口蹄疫や鳥インフルエンザ等の感染症の原因となり、社会的な問題になりつつある。また最近では、生活環境の向上と衛生意識の変化に伴って、環境中に存在するウイルスを不活化できるような、抗ウイルス作用に優れた物質の開発が要求されている。
【0003】
ウイルス感染症を予防するために、環境中のウイルスを不活化させるための手法について、様々な検討が行われている。例として、熱処理、紫外線処理などの物理的処理に加え、塩素系漂白剤や過酸化物などの薬剤処理が挙げられる。これらの処理は、生体や物品に対して損傷を与える可能性があることから、安全に、かつ様々な場面で用いることが難しい。したがって、マスクのような物品への適用のみならず生体への適用にも適した、生体に対する安全性がより高い抗ウイルス剤が、特に近時のパンデミックの状況下において強く求められている。
【0004】
一方、マンノシルエリスリトールリピッド(MEL)は酵母が作る天然系の界面活性剤であり、種々の生理作用(非特許文献1)や抗菌作用(特許文献1)を示すことが報告されている。更に、外用剤や化粧品としての用途として、肌荒れを改善する効果(特許文献2)も報告されている。このように、MELは様々な生理活性を有しつつ、生体に対する安全性も高い素材であると言える。また、MELには抗ウイルス効果を示すとの報告もある(特許文献3)。
【0005】
また、近年の新型コロナウイルスの感染拡大などもあって、医療現場を中心に抗ウイルス加工の施されたマスクに対する需要が高まっている。こうした抗ウイルス作用を奏するマスクに関しては種々の報告がある。例えば、茶の抽出成分を添着した不織布からなる抗ウイルスマスク(特許文献4)、ポリカルボン酸ポリマーで処理されたフィルター材を用いたマスク(特許文献5)、又はアスコルビン酸誘導体が固着した繊維シートを用いたマスク(特許文献6)などが挙げられる。しかしながら、いずれも抗ウイルス効果の点では、依然として改良の余地が残されている。
【先行技術文献】
【特許文献】
【0006】
特開昭57-145896号公報
WO2007/060956号公報
WO2022/190815号公報
特開平8-333271号公報
特許第5298012号公報
特許第4004987号公報
【非特許文献】
【0007】
Journal of Biosciense and Bioengineering,94,187(2002)
【発明の概要】
【発明が解決しようとする課題】
【0008】
本発明は、生体に対する安全性がより優れた抗ウイルス効果を示すマスクを提供することを課題とする。
【課題を解決するための手段】
【0009】
本発明者らは、バイオサーファクタントの一種であるMELが優れた抗ウイルス効果を有することを見出し、さらにこれをマスクの製造に適用することにより、本発明を完成した。
【0010】
本発明の具体的な態様は、具体的には、以下のようなものが例示される。
項1.
マンノシルエリスリトールリピッド(MEL)を有効成分とする抗ウイルス剤を含有してなるマスク。
項2.
抗ウイルス剤に含まれるマンノシルエリスリトールリピッド(MEL)の含有量が0.000001~100重量%である、項1に記載のマスク。
項3.
抗ウイルス剤に含まれるマンノシルエリスリトールリピッド(MEL)の含有量が0.000001~80重量%である、項1に記載のマスク。
項4.
抗ウイルス剤に含まれるマンノシルエリスリトールリピッド(MEL)の含有量が0.0001~10重量%である、項1に記載のマスク。
項5.
抗ウイルス剤に含まれるマンノシルエリスリトールリピッド(MEL)が、MEL-A、MEL-B、MEL-CおよびMEL-Dよりなる群から選択されるいずれかである、項1から4のいずれかに記載のマスク。
項6.
抗ウイルス剤に含まれるマンノシルエリスリトールリピッド(MEL)が式(2)の構造を有する、項1から5のいずれかに記載のマスク。
(【0011】以降は省略されています)
この特許をJ-PlatPat(特許庁公式サイト)で参照する
関連特許
東洋紡株式会社
マスク
1日前
東洋紡株式会社
積層包装材料
1か月前
東洋紡株式会社
スチレン系樹脂成形体
1か月前
東洋紡株式会社
積層ポリエステルフィルム
3日前
東洋紡株式会社
二軸配向ポリプロピレンフィルム
1か月前
東洋紡株式会社
二軸配向ポリプロピレンフィルム
1か月前
東洋紡株式会社
二軸配向ポリプロピレンフィルム
1か月前
東洋紡株式会社
二軸配向ポリプロピレンフィルム
1か月前
東洋紡株式会社
ポリエステル樹脂及びその製造方法
3日前
東洋紡株式会社
熱収縮性ポリエステル系積層フィルム
13日前
東洋紡株式会社
コーティング剤、フィルム、およびパウチ
13日前
東洋紡株式会社
コーティング剤、フィルム、およびパウチ
13日前
東洋紡株式会社
レーザー印字用熱収縮性ポリエステル系フィルム
7日前
国立大学法人佐賀大学
便意検出装置、便意検出方法
1か月前
東洋紡株式会社
二軸配向ポリプロピレンフィルム、及びそれを用いた積層体
1か月前
東洋紡株式会社
マイコバクテリウム属鑑別用オリゴヌクレオチド及びその用途
1か月前
東洋紡株式会社
積層フィルム及び包装材料
1か月前
東洋紡株式会社
樹脂シート成型用離型フィルム
1か月前
東洋紡株式会社
樹脂シート成型用離型フィルム
1か月前
東洋紡株式会社
樹脂シート成型用離型フィルム
1か月前
東洋紡株式会社
樹脂シート成型用離型フィルム
1か月前
東洋紡株式会社
樹脂シート成型用離型フィルム
1か月前
東洋紡株式会社
ポリエステルフィルムとその用途
23日前
東洋紡株式会社
折りたたみ型ディスプレイ用偏光板
1か月前
東洋紡株式会社
熱収縮性ポリエステル系フィルムロール
1か月前
東洋紡株式会社
熱収縮性ポリエステル系フィルムロール
1か月前
東洋紡株式会社
折りたたみ型ディスプレイ及び携帯端末機器
3日前
東洋紡株式会社
食品包装用二軸延伸ポリアミドフィルムの製造方法
28日前
東洋紡株式会社
レーザー印字された表示材料およびそれを用いた包装体
21日前
東洋紡株式会社
ポリエステルフィルム及びその製造方法並びに樹脂組成物
1か月前
東洋紡株式会社
ポリエステル樹脂およびその製造方法、溶融混練処理を伴う加工による着色の少ないポリエステル樹脂を判別する方法
1か月前
東洋紡株式会社
積層体、積層体の製造方法およびフレキシブル電子デバイスの製造方法
1か月前
個人
和服
5か月前
個人
衿芯
2か月前
個人
シャツ
22日前
個人
二部式袍
8か月前
続きを見る
他の特許を見る