TOP
|
特許
|
意匠
|
商標
特許ウォッチ
Twitter
他の特許を見る
10個以上の画像は省略されています。
公開番号
2025145062
公報種別
公開特許公報(A)
公開日
2025-10-03
出願番号
2024045043
出願日
2024-03-21
発明の名称
光合波器
出願人
株式会社豊田中央研究所
,
株式会社ミライズテクノロジーズ
,
トヨタ自動車株式会社
,
株式会社デンソー
代理人
弁理士法人 快友国際特許事務所
主分類
G02B
6/125 20060101AFI20250926BHJP(光学)
要約
【課題】信号光と参照光の位相差を変えた複数の干渉光を出力する光合波器を提供する。
【解決手段】光合波器は、信号光を分岐して複数の分岐信号光を生成するとともに、複数の分岐信号光の各々の信号光に対する位相差が異なるように複数の分岐信号光を遅延させる第1光分岐遅延部と、参照光を分岐して複数の分岐参照光を生成するとともに、複数の分岐参照光の各々の分岐参照光に対する位相差が異なるように複数の分岐参照光を遅延させる第2光分岐遅延部と、複数の分岐信号光が伝搬する複数の信号光導波路の各々と複数の分岐参照光が伝搬する複数の参照光導波路の各々の交差点がマトリクス状に配置されており、各交差点に入力する分岐信号光と分岐参照光の各々の一部を合波して干渉光を出力するマトリクス型光導波路アレイ交差部と、を備えている。
【選択図】図1
特許請求の範囲
【請求項1】
光合波器であって、
信号光を分岐して複数の分岐信号光を生成するとともに、前記複数の分岐信号光の各々の前記信号光に対する位相差が異なるように前記複数の分岐信号光を遅延させる第1光分岐遅延部と、
参照光を分岐して複数の分岐参照光を生成するとともに、前記複数の分岐参照光の各々の前記参照光に対する位相差が異なるように前記複数の分岐参照光を遅延させる第2光分岐遅延部と、
前記第1光分岐遅延部の出力端から出力される前記複数の分岐信号光が伝搬する複数の信号光導波路の各々と前記第2光分岐遅延部の出力端から出力される前記複数の分岐参照光が伝搬する複数の参照光導波路の各々の交差点がマトリクス状に配置されており、各交差点に入力する前記分岐信号光と前記分岐参照光の各々の一部を分岐させる光分配器によって分岐された前記分岐信号光と前記分岐参照光の各々の一部を合波して干渉光を出力するマトリクス型光導波路アレイ交差部と、を備えている、光合波器。
続きを表示(約 980 文字)
【請求項2】
前記マトリクス型光導波路アレイ交差部の複数の交差点のうち任意の交差点から前記第1光分岐遅延部の前記出力端までの前記信号光導波路の光路長と前記第2光分岐遅延部の前記出力端までの前記参照光導波路の光路長が等長又は一定の光路差である、請求項1に記載の光合波器。
【請求項3】
前記マトリクス型光導波路アレイ交差部内を延びる前記複数の信号光導波路の各々は、前記分岐信号光の進行方向に沿って並んだ第1信号光導波路部分と第2信号光導波路部分を有しており、前記第1信号光導波路部分と前記第2信号光導波路部分の間の屈曲部において前記第2信号光導波路部分が前記第1信号光導波路部分に対して傾斜しており、
前記マトリクス型光導波路アレイ交差部内を延びる前記複数の参照光導波路の各々は、前記分岐参照光の進行方向に沿って並んだ第1参照光導波路部分と第2参照光導波路部分を有しており、前記第1参照光導波路部分と前記第2参照光導波路部分の間の屈曲部において前記第2参照光導波路部分が前記第1参照光導波路部分に対して傾斜しており、
前記複数の信号光導波路の各々の前記屈曲部が直線上に並んでおり、
前記複数の参照光導波路の各々の前記屈曲部が直線上に並んでおり、
前記信号光導波路の前記第1信号光導波路部分と前記参照光導波路の前記第1参照光導波路部分が平行であり、
前記直線に対して前記信号光導波路の前記第2信号光導波路部分が傾斜する向きと、前記直線に対して前記参照光導波路の前記第2参照光導波路部分が傾斜する向きと、が逆向きであり、
前記直線に対して前記信号光導波路の前記第2信号光導波路部分が傾斜する角度と、前記直線に対して前記参照光導波路の前記第2参照光導波路部分が傾斜する角度と、が同一である、請求項2に記載の光合波器。
【請求項4】
前記複数の信号光導波路の各々の前記屈曲部と前記複数の参照光導波路の各々の前記屈曲部が同一の直線上に並んでいる、請求項3に記載の光合波器。
【請求項5】
前記マトリクス型光導波路アレイ交差部の前記複数の交差点の各々から出力される前記干渉光の初期位相は、前記複数の交差点の間で異なっている、請求項1~4のいずれか一項に記載の光合波器。
発明の詳細な説明
【技術分野】
【0001】
本明細書が開示する技術は、光合波器に関する。
続きを表示(約 2,300 文字)
【背景技術】
【0002】
様々な光学デバイスにおいて、光導波路を伝搬する伝搬光の位相状態を推定する技術が必要とされている。例えば、マッハツェンダ型光変調器では、光導波路を伝搬する伝搬光を2つの光導波路に分岐させ、片側もしくは両側の光導波路を伝搬する伝搬光に異なる位相を与えることで、合波させた光強度の差異から位相状態を推定する。他にも、特許文献1及び特許文献2には、複数の光導波路を有する光フェーズドアレイ(Optical Phased Array:OPA)において、複数の光導波路の各々の製造ばらつき及び位相シフタの特性ばらつき等を校正するために、複数の光導波路の各々を伝搬する伝搬光の位相状態を推定する技術が開示されている。
【先行技術文献】
【特許文献】
【0003】
特開2023-079493号公報
特表2023-508155号公報
【発明の概要】
【発明が解決しようとする課題】
【0004】
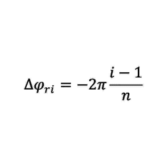
複数の光導波路を備えた光学デバイスにおいて、複数の光導波路の各々の位相状態を高精度に推定するためには、光導波路を伝搬する信号光と、位相状態が既知又は変動しない参照光と、の位相差を変えたデータを多く取得するのが望ましい。本明細書は、信号光と参照光の位相差を変えた複数の干渉光を生成する光合波器を提供する。
【課題を解決するための手段】
【0005】
本明細書が開示する光合波器は、信号光を分岐して複数の分岐信号光を生成するとともに、複数の分岐信号光の各々の信号光に対する位相差が異なるように複数の分岐信号光を遅延させる第1光分岐遅延部と、参照光を分岐して複数の分岐参照光を生成するとともに、複数の分岐参照光の各々の参照光に対する位相差が異なるように複数の分岐参照光を遅延させる第2光分岐遅延部と、第1光分岐遅延部の出力端から出力される複数の分岐信号光が伝搬する複数の信号光導波路の各々と第2光分岐遅延部の出力端から出力される複数の分岐参照光が伝搬する複数の参照光導波路の各々の交差点がマトリクス状に配置されており、各交差点に入力する分岐信号光と分岐参照光の各々の一部を分岐させる光分配器によって分岐された前記分岐信号光と前記分岐参照光の各々の一部を合波して干渉光を出力するマトリクス型光導波路アレイ交差部と、を備えていてもよい。
【0006】
上記した光合波器は、信号光を分岐遅延させた複数の分岐信号光と参照光を分岐遅延させた複数の分岐参照光の組み合わせごとに複数の干渉光を生成することができる。これにより、上記した光合波器は、信号光と参照光の位相差を変えた複数の干渉光を生成することができる。
【図面の簡単な説明】
【0007】
光検波装置の構成を模式的に示す図である。
光分岐遅延部の一例の構成を模式的に示す図である。
光分岐遅延部の一例の構成を模式的に示す図である。
光分岐遅延部の一例の構成を模式的に示す図である。
マトリクス型光導波路アレイ交差部の一例の構成を模式的に示す図である。
マトリクス型光導波路アレイ交差部の交差点の一例の構成を模式的に示す図である。
マトリクス型光導波路アレイ交差部の交差点の一例の構成を模式的に示す図である。
マトリクス型光導波路アレイ交差部の交差点の一例の構成を模式的に示す図である。
マトリクス型光導波路アレイ交差部の交差点の一例の構成を模式的に示す図である。
マトリクス型光導波路アレイ交差部の変形例の構成を説明する図である。
マトリクス型光導波路アレイ交差部にある光合波器の分岐比を説明する図である。
マトリクス型光導波路アレイ交差部にある光合波器と光検出器の一例を説明する図である。
【発明を実施するための形態】
【0008】
以下、図面を参照し、本明細書が開示する光検波装置について説明する。なお、いくつかの図において、繰り返し配置される構成要素については、図示明瞭化を目的としてその一部にのみ符号を付す。本明細書が開示する光検波装置は、特に限定されるものではないが、例えばマッハツェンダ干渉を用いた計測器における最終段に利用し、位相変化を高精度に検出するように構成されていてもよい。
【0009】
図1に示すように、光検波装置1は、光分岐遅延部10と、マトリクス型光導波路アレイ交差部20と、推定部30と、を備えている。光分岐遅延部10とマトリクス型光導波路アレイ交差部20が光合波器2を構成する。光分岐遅延部10とマトリクス型光導波路アレイ交差部20は、半導体基板上に積層されたクラッド層(例えば、酸化シリコン層)と、そのクラッド層に被覆されるとともにクラッド層よりも屈折率が大きいコア層(例えば、シリコン層)と、によって構成されている。以下、いくつかの図面を参照して光分岐遅延部10及びマトリクス型光導波路アレイ交差部20の形状について説明するとき、半導体基板の主面に対して直交する方向、即ち、半導体基板を平面視したときのコア層の形状について説明する。
【0010】
光分岐遅延部10は、第1光分岐遅延部12と、第2光分岐遅延部14と、を有している。第1光分岐遅延部12には第1入力ポートIN1が接続されており、第2光分岐遅延部14には第2入力ポートIN2が接続されている。
(【0011】以降は省略されています)
この特許をJ-PlatPat(特許庁公式サイト)で参照する
関連特許
カンタツ株式会社
光学系
27日前
キヤノン株式会社
映像表示装置
16日前
アイカ工業株式会社
反射防止フィルム
3日前
アイカ工業株式会社
反射防止フィルム
27日前
インターマン株式会社
立体映像表示装置
16日前
旭化成株式会社
成形体
2日前
旭化成株式会社
成形体
2日前
日本分光株式会社
赤外顕微鏡
2日前
個人
透過型及び反射型顕微鏡
16日前
キヤノン株式会社
画像表示装置
2日前
キヤノン株式会社
レンズ装置および撮像装置
4日前
キヤノン株式会社
画像表示装置
24日前
東レ株式会社
プラスチック光ファイバ
26日前
レーザーテック株式会社
検査装置及び検査方法
6日前
キヤノン株式会社
表示装置
9日前
日東電工株式会社
光学積層体
1か月前
キヤノン株式会社
光学系及び撮像装置
10日前
東レ株式会社
先端に凸面を有する光ファイバ
16日前
株式会社小糸製作所
画像生成装置
25日前
株式会社小糸製作所
画像投影装置
17日前
日東電工株式会社
光学積層体
17日前
株式会社小糸製作所
画像投影装置
16日前
KDDI株式会社
光増幅器
3日前
エピフォトニクス株式会社
光導波路素子
3日前
KDDI株式会社
光増幅器
3日前
KDDI株式会社
光増幅器
16日前
KDDI株式会社
光増幅器
16日前
キヤノン株式会社
光学系および撮像装置
27日前
住友化学株式会社
複合偏光板及び画像表示装置
4日前
セイコーエプソン株式会社
虚像表示装置
6日前
キヤノン株式会社
光学装置
1か月前
国立大学法人徳島大学
マイクロコム制御装置
1か月前
株式会社フォトニックラティス
透過型光学顕微鏡
10日前
株式会社キーエンス
観察装置
26日前
瀚宇彩晶股ふん有限公司
表示パネル
1か月前
遠視界科技股分有限公司
高視野角拡大装置
18日前
続きを見る
他の特許を見る