TOP
|
特許
|
意匠
|
商標
特許ウォッチ
Twitter
他の特許を見る
10個以上の画像は省略されています。
公開番号
2025147648
公報種別
公開特許公報(A)
公開日
2025-10-07
出願番号
2024047997
出願日
2024-03-25
発明の名称
IRE1αのS-ニトロシル化阻害剤およびそのスクリーニング方法
出願人
国立大学法人 岡山大学
代理人
弁理士法人三枝国際特許事務所
主分類
A61K
31/357 20060101AFI20250930BHJP(医学または獣医学;衛生学)
要約
【課題】IRE1αのS-ニトロシル化阻害剤およびそのスクリーニング方法を提供する。
【解決手段】下記式(I)で表わされるIRE1αのS-ニトロシル化阻害剤である。
<com:Image com:imageContentCategory="Drawing"> <com:ImageFormatCategory>TIFF</com:ImageFormatCategory> <com:FileName>2025147648000026.tif</com:FileName> <com:HeightMeasure com:measureUnitCode="Mm">20</com:HeightMeasure> <com:WidthMeasure com:measureUnitCode="Mm">170</com:WidthMeasure> </com:Image>
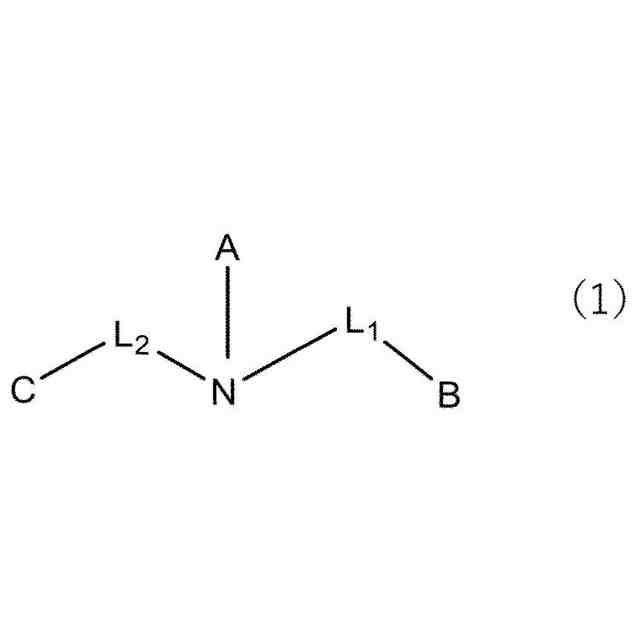
(Aは、一価のα,β-不飽和カルボニル基であり、
B及びCは、同一又は異なって、(i)または(ii)のいずれかである:
(i)B及びCは一緒になって、置換/無置換の単環又は多環を形成し、前記単環又は前記多環は、6員又は7員の複素環を少なくとも含む;
(ii)B及びCは、同一又は異なって、置換/無置換の一価の低級アルキル基、置換/無置換の一価のアリール基、又は置換/無置換の、かつヘテロ原子を含んでいてもよい一価の環状基であり、B及びCは同時に低級アルキル基ではない;
L1及びL2は、同一又は異なって、炭素数1~4の二価のリンカーであり、ただし、B及びCが一緒になって単環又は多環を形成する場合にはL1及びL2は存在しない。)
【選択図】なし
特許請求の範囲
【請求項1】
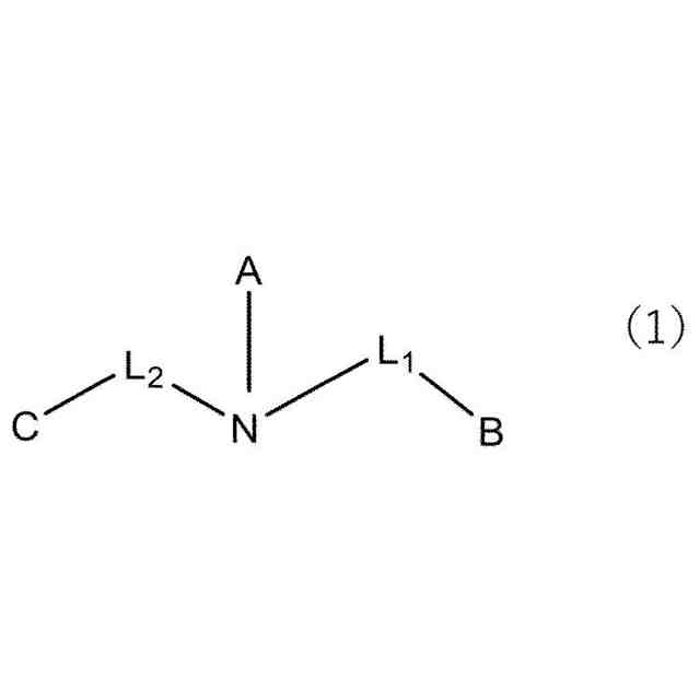
下記式(I)
TIFF
2025147648000020.tif
16
170
(Aは、一価のα,β-不飽和カルボニル基であり、
B及びCは、同一又は異なって、(i)または(ii)のいずれかである:
(i)B及びCは一緒になって、単環又は多環を形成し、前記単環又は前記多環は、6員又は7員の複素環を少なくとも含み、かつ一以上の置換基で置換されていてもよい;
(ii)B及びCは、同一又は異なって、置換されていてもよい一価の低級アルキル基、置換されていてもよい一価のアリール基、又は置換されていてもよく、かつヘテロ原子を含んでいてもよい一価の環状基であり、B及びCは同時に低級アルキル基ではない;
L1及びL2は、同一又は異なって、炭素数1~4の二価のリンカーであり、ただし、B及びCが一緒になって単環又は多環を形成する場合にはL1及びL2は存在しない。)
で表わされる化合物又はその塩を有効成分とする、Inositol-requiring enzyme 1α(IRE1α)のS-ニトロシル化阻害剤。
続きを表示(約 1,700 文字)
【請求項2】
前記式(I)において、Aは、置換基で置換されていてもよいアルケニル基、又は低級アルキル基で置換されたアルキニル基を含む、一価のα,β-不飽和カルボニル基である、請求項1記載のIRE1αのS-ニトロシル化阻害剤。
【請求項3】
前記式(I)において、B及びCは一緒になって、N原子又はO原子を二以上含む複素環からなる前記単環を形成している、請求項1記載のIRE1αのS-ニトロシル化阻害剤。
【請求項4】
前記式(I)において、B及びCは、同一又は異なって、カルボン酸アミド基で置換された一価の低級アルキル基、ハロゲン基で置換された一価のアリール基、又はヘテロ原子に結合する水素原子がアシル基で置換された一価の複素環基である、請求項1記載のIRE1αのS-ニトロシル化阻害剤。
【請求項5】
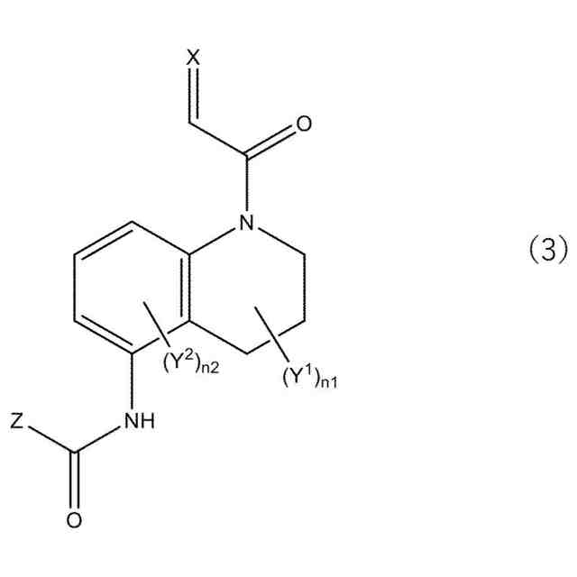
前記化合物が下記式(II)
TIFF
2025147648000021.tif
41
170
(Xは、カルボキシル基で置換されていてもよい二価の低級アルキル基、又は6員の複素環又は芳香環を少なくとも含む二価の単環基若しくは多環基であり、Y
1
及びY
2
は、同一又は異なって、カルボキシル基、カルボン酸アミド基、一価の低級アルキル基、ハロゲン原子、又はカルバモイル基であり、n1は0~3の整数、n2は0~4の整数を表す。)
で表わされる化合物である、請求項1記載のIRE1αのS-ニトロシル化阻害剤。
【請求項6】
前記化合物が下記式(III)
TIFF
2025147648000022.tif
56
170
(Xは、カルボキシル基で置換されていてもよい二価の低級アルキル基、アリール基又はヘテロアリール基を少なくとも含む、又はハロゲンで置換されていてもよい単環基又は多環基であり、Y
1
及びY
2
は、同一又は異なって、カルボキシル基、カルボン酸アミド基、一価の低級アルキル基、ハロゲン原子、又はカルバモイル基であり、Zは低級アルキル基であり、n1は0~3の整数、n2は0~3の整数を表す。)
で表わされる化合物である、請求項5記載のIRE1αのS-ニトロシル化阻害剤。
【請求項7】
前記化合物が下記式(IV)
TIFF
2025147648000023.tif
33
170
(Xは、カルボキシル基で置換されていてもよい二価の低級アルキル基、6員の複素環又は芳香環を少なくとも含む二価の単環基又は多環基であり、L3は、炭素数1~4の二価のリンカーであり、前記炭素はヘテロ原子で置換されていてもよく、Tはハロゲンで置換されていてもよいアリール基である。)
で表わされる化合物である、請求項1記載のIRE1αのS-ニトロシル化阻害剤。
【請求項8】
前記化合物が下記式(I)
TIFF
2025147648000024.tif
16
170
(Aは、低級アルキル基で置換されたアルキニル基を含む一価のα,β-不飽和カルボニル基であり、
B及びCは一緒になって、単環又は多環を形成し、前記単環又は前記多環は、6員又は7員の複素環を少なくとも含み、かつ一以上の置換基で置換されていてもよい。)
で表わされる化合物である、請求項1記載のIRE1αのS-ニトロシル化阻害剤。
【請求項9】
下記式(V)
TIFF
2025147648000025.tif
35
170
で表わされる化合物又はその塩を有効成分とする、IRE1αのS-ニトロシル化阻害剤。
【請求項10】
神経変性疾患治療薬である、請求項1~9のいずれか一項に記載のIRE1αのS-ニトロシル化阻害剤。
(【請求項11】以降は省略されています)
発明の詳細な説明
【技術分野】
【0001】
本発明は、IRE1αのS-ニトロシル化阻害剤およびそのスクリーニング方法に関する。
続きを表示(約 2,100 文字)
【背景技術】
【0002】
パーキンソン病をはじめとする神経変性疾患は、神経細胞死を伴うことを特徴とする。加齢は神経変性疾患発症に関わる最大のリスクとされる。近年、神経細胞死の実行因子の一つとして加齢や炎症により産生が促進される一酸化窒素(NO)が注目されている。
【0003】
内在性のNOは体内で記憶形成、血管拡張、血圧コントロール、バクテリア・ウイルスからの攻撃を防御する、などの働きをもつ。しかし、加齢や炎症によって過剰なNOが産生されると、脳梗塞、アルツハイマー病、パーキンソン病などの神経系の疾患を引き起こすこともわかっている。一方でNOが産生されなくなることで高血圧を引き起こすことも知られている。このように、NOは生体内で適切にコントロールされることが重要である。
【0004】
NOはタンパク質の酸化修飾(S-ニトロシル化)を行うことでタンパク質の活性を阻害し、疾患発症に寄与する(非特許文献1)。過剰なNO産生を標的とした創薬戦略として、例えば、NO合成酵素に対する阻害薬(非特許文献2、非特許文献3)や、ラジカル捕捉薬(非特許文献4)が開発されてきた。
【0005】
しかし、先に述べた通りNOは生体内において様々な生理的機能を持つため、NOの生理作用を一様に遮断するNO合成酵素の阻害剤は、末梢、特に循環器へ大きな影響を及ぼし、その副作用のため未だ薬としての実用化には至っていない。特定のNO合成酵素アイソフォームに対する選択性を高めたNO合成酵素阻害薬やラジカル捕捉薬の探索も行われてきたが、これらはS-ニトロシル化を受けるタンパク質に対する効果が不十分である。現在では、NO合成阻害剤は脱毛等に対して、局所的に使用されるにとどまっている。
【0006】
小胞体はタンパク質の合成を担う細胞小器官である。様々なストレスや外的要因によって、小胞体のタンパク質成熟機構や品質管理機構が破綻すると、小胞体内腔に変性タンパク質が蓄積し、小胞体ストレスと呼ばれる状態に陥る。小胞体の働きが悪化した小胞体ストレス状態では新生タンパク質が正常に生産されなくなる。そのため、小胞体ストレスを回避する機構(unfolded protein response; UPR)が細胞に備わっており、UPRの働きによって、小胞体内が正常な状態に維持される。
【0007】
Inositol-requiring enzyme 1 α(IRE1α)は小胞体ストレスを検知するセンサータンパク質の一つであり、次のようにUPRを機能させる。IRE1αはリボヌクレアーゼ(RNase)活性を持つ酵素であり、小胞体ストレスに応じて全長Xbp1 mRNA(Xbp1u)のスプライシングを行う。スプライシング後に生成されるXbp1sは、翻訳されて転写因子XBP1として機能し、シャペロンなどの小胞体ストレス緩和分子の発現を誘導する。
【0008】
本発明者らは過去にNOが小胞体ストレスを惹起することを発見した(非特許文献1)。さらにその機構として、IRE1αにNOが結合することを見出した(非特許文献5)。すなわち、IRE1αがNOによってS-ニトロシル化されると、IRE1αのRNase活性を著しく減弱させる。こうして、NOは小胞体ストレスを惹起するのみならず、細胞がストレスに対処できない状態をもたらすことで、細胞死を助長し、神経変性疾患に関与すると考えられる。
【0009】
そこで、IRE1αのRNase活性化薬として、APY29やスニチニブ(非特許文献6、特許文献1)、化合物3(非特許文献7)、IXA4(非特許文献8)がこれまでに同定された。しかし、IRE1αの過活性化は細胞死経路の駆動や細胞のがん化に発展するため、単なる活性化薬は重篤な副作用が懸念される。
【先行技術文献】
【非特許文献】
【0010】
Uehara et al., Nature. 2006 May 25;441(7092):513-7.
Vallance et al., Nat Rev Drug Discov. 2002 Dec;1(12):939-50.
Minhas et al., Med Res Rev. 2020 May;40(3):823-855.
Kuehl et al., Inflammation. 1977 Dec;2(4):285-94.
Nakato et al., Sci Rep. 2015 Oct 8;5:14812.
Wang et al., Nat Chem Biol. 2012 Dec;8(12):982-9.
Joshi et al., Oncotarget. 2015 May 30;6(15):13019-35.
Grandjean et al., Nat Chem Biol. 2020 Oct;16(10):1052-1061.
【特許文献】
(【0011】以降は省略されています)
この特許をJ-PlatPat(特許庁公式サイト)で参照する
関連特許
国立大学法人 岡山大学
点滴用輸液チューブの保持具
2か月前
国立大学法人神戸大学
サーマルサーキットシステム
1か月前
国立大学法人 岡山大学
二酸化炭素輸送活性を有するアクアポリン
18日前
NTT株式会社
解析装置および解析方法
28日前
横浜ゴム株式会社
高分子微粒子集合体の製造法
1か月前
太陽油脂株式会社
糖代謝異常改善用油脂及び腸内環境改善用油脂
4か月前
国立大学法人 岡山大学
IRE1αのS-ニトロシル化阻害剤およびそのスクリーニング方法
10日前
国立大学法人 岡山大学
バイオフィルム除去剤
1か月前
国立大学法人 岡山大学
超音波診断装置、出力方法、及びプログラム
14日前
国立大学法人 岡山大学
植物生育調節剤、植物生育調節方法、植物生育調節用装置、植物生育調節用システム及び植物生育調節用キット
3か月前
オンコリスバイオファーマ株式会社
ウイルスを含む抗癌関連非腫瘍細胞剤
18日前
個人
短下肢装具
2か月前
個人
嚥下鍛錬装置
3か月前
個人
前腕誘導装置
3か月前
個人
排尿補助器具
3日前
個人
洗井間専家。
6か月前
個人
バッグ式オムツ
4か月前
個人
歯の修復用材料
3か月前
個人
矯正椅子
4か月前
個人
胸骨圧迫補助具
1か月前
個人
汚れ防止シート
18日前
個人
アイマスク装置
1か月前
個人
ウォート指圧法
1日前
個人
ホバーアイロン
6か月前
個人
陣痛緩和具
3か月前
個人
哺乳瓶冷まし容器
2か月前
個人
歯の保護用シール
4か月前
個人
シャンプー
5か月前
個人
湿布連続貼り機。
2か月前
個人
治療用酸化防御装置
1か月前
株式会社大野
骨壷
3か月前
株式会社八光
剥離吸引管
4か月前
個人
性行為補助具
2か月前
個人
エア誘導コルセット
1か月前
個人
手指運動ツール
2か月前
株式会社ニデック
眼科装置
1か月前
続きを見る
他の特許を見る