TOP
|
特許
|
意匠
|
商標
特許ウォッチ
Twitter
他の特許を見る
10個以上の画像は省略されています。
公開番号
2025147677
公報種別
公開特許公報(A)
公開日
2025-10-07
出願番号
2024048040
出願日
2024-03-25
発明の名称
銅運搬タンパク質融合チロシナーゼを含む組成物
出願人
国立大学法人東海国立大学機構
代理人
弁理士法人三枝国際特許事務所
主分類
C12N
9/02 20060101AFI20250930BHJP(生化学;ビール;酒精;ぶどう酒;酢;微生物学;酵素学;突然変異または遺伝子工学)
要約
【課題】銅運搬タンパク質融合チロシナーゼを用いて、効率良く有機物質修飾ポリペプチドを製造する技術の提供。
【解決手段】銅運搬タンパク質融合チロシナーゼを、プロテアーゼで切断せずチロシナーゼ活性部位が銅運搬タンパク質で遮蔽されたままの状態で、対象ポリペプチドに接触させる。
【選択図】なし
特許請求の範囲
【請求項1】
銅運搬タンパク質融合チロシナーゼを含む組成物であって、
該銅運搬タンパク質融合チロシナーゼが、
配列(A):銅運搬タンパク質機能を有するアミノ酸配列、
配列(B):リンカー配列、及び
配列(C):チロシナーゼ活性を有するアミノ酸配列
を含み、かつ、該配列(A)~(C)が(A)-(B)-(C)の順に連結されており、
該銅運搬タンパク質融合チロシナーゼとチロシン残基を含む対象ポリペプチドとの接触に用いるための、組成物。
続きを表示(約 1,000 文字)
【請求項2】
前記接触を経て修飾ポリペプチドを製造するための組成物であって、
該修飾ポリペプチドが、前記チロシン残基が変換してなるDOPA残基及び/又はDOPAキノン残基と、反応性官能基を有する有機物質とが結合した構造を含む修飾ポリペプチドであり、
該反応性官能基が、DOPA残基及び/又はDOPAキノン残基との反応性を有する官能基である、請求項1に記載の組成物。
【請求項3】
前記配列(A)及び/又は前記配列(C)が、ストレプトマイセス属細菌由来のアミノ酸配列である、請求項1又は2に記載の組成物。
【請求項4】
前記配列(B)が、GSリンカー配列及びプロテアーゼ認識配列からなる群より選択される少なくとも1種の配列を含む、請求項1又は2に記載の組成物。
【請求項5】
前記銅運搬タンパク質融合チロシナーゼが、
配列(d1):配列番号5で表されるアミノ酸配列、又は
配列(d2):配列番号5で表されるアミノ酸配列に対する配列同一性が70%以上のアミノ酸配列
を含む、請求項1又は2に記載の組成物。
【請求項6】
前記対象ポリペプチドが、N末端から20アミノ酸残基以内及び/又はC末端から20アミノ酸残基以内にチロシン残基を含むことを特徴とする、請求項1又は2に記載の組成物。
【請求項7】
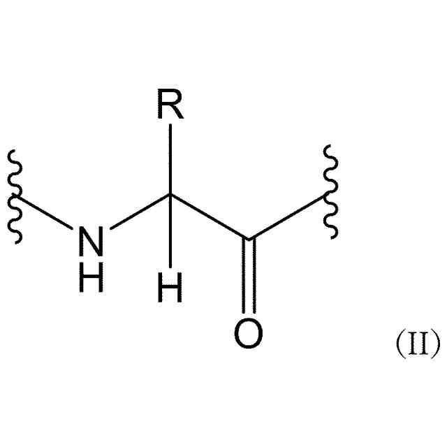
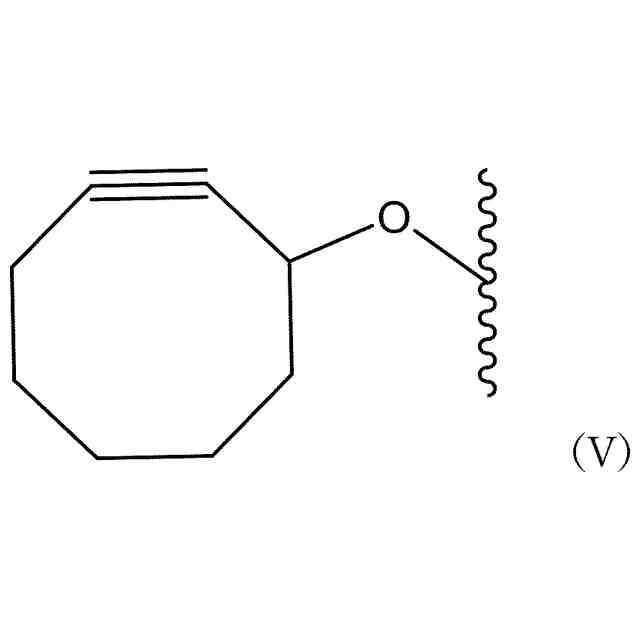
前記反応性官能基が、アミノ基、チオール基、イミダゾール基、アルキニル基、及び下記一般式(I):
TIFF
2025147677000023.tif
13
170
で表される基からなる群より選択される少なくとも1種である、請求項2に記載の組成物。
【請求項8】
修飾ポリペプチドの製造方法であって、
銅運搬タンパク質融合チロシナーゼを対象ポリペプチドと接触させて、該対象ポリペプチドに含まれる少なくとも1つのチロシン残基をDOPA残基及び/又はDOPAキノン残基に変換する工程を含み、
該銅運搬タンパク質融合チロシナーゼが
配列(A):銅運搬タンパク質機能を有するアミノ酸配列、
配列(B):リンカー配列、及び
配列(C):チロシナーゼ活性を有するアミノ酸配列
を含み、かつ、該配列(A)~(C)が(A)-(B)-(C)の順に連結されている、修飾ポリペプチドの製造方法。
発明の詳細な説明
【技術分野】
【0001】
本開示は、銅運搬タンパク質融合チロシナーゼを含む組成物、及び銅運搬タンパク質融合チロシナーゼを用いた修飾ポリペプチドの製造方法等に関する。
続きを表示(約 4,300 文字)
【背景技術】
【0002】
DOPA(ドーパ、L-3,4-ジヒドロキシフェニルアラニン(L-3,4-Dihydroxyphenylalanine))は、貝(フジツボ、イガイ等)の足糸構成タンパク質に多く含まれており、金属とキレートを形成したり、DOPA同士でカップリングしたり、有機組織表面の求核剤と共有結合を形成することにより、水中で優れた接着力を発揮することが知られている。タンパク質内のDOPA残基は足糸構成タンパク質内のチロシン残基がチロシナーゼによって酸化されることで形成される。また、DOPAがチロシナーゼによって更に酸化されることで形成されるDOPAキノン(ドーパキノン)によるキノン架橋も、接着に関与することが報告されている。
【先行技術文献】
【非特許文献】
【0003】
Chen Y, Loredo A, Chung A, Zhang M, Liu R, Xiao H. Biosynthesis and Genetic Incorporation of 3,4-Dihydroxy-L-Phenylalanine into Proteins in Escherichia coli. J Mol Biol. 2022 Apr 30;434(8):167412. doi: 10.1016/j.jmb.2021.167412.
【発明の概要】
【発明が解決しようとする課題】
【0004】
本発明者はこれまでに、チロシナーゼと銅運搬タンパク質とを、リンカー配列及びプロテアーゼ認識配列を介して連結させた融合チロシナーゼを用いることにより、任意のタイミングでチロシナーゼ活性をオンにして、タンパク質内のチロシン残基をDOPA残基やDOPAキノン残基に変換し、当該タンパク質に接着性を付与する技術を開発していた。より詳細には次の通りである。銅運搬タンパク質と連結されたチロシナーゼは、チロシナーゼ活性部位が銅運搬タンパク質により遮蔽されているために、チロシナーゼ活性は抑制される。一方で、融合チロシナーゼ内のプロテアーゼ認識配列をプロテアーゼにより切断すれば、銅運搬タンパク質はチロシナーゼから切り離されて、チロシナーゼ活性部位が露出することとなる。上記作用機序により、本発明者は、プロテアーゼ添加により任意のタイミングでチロシナーゼ活性の抑制を解除して、当該タンパク質に接着性を付与する技術を開発していた。
【0005】
ところで、DOPA残基やDOPAキノン残基を含むタンパク質は、接着性以外にも様々な機能を有することが知られている。例えば非特許文献1では、DOPA残基を含むタンパク質を用いて、当該DOPA残基においてSPOCQ(strain-promoted oxidation-controlled cyclooctyne-1,2-quinone)環化付加反応を生じさせる技術が検討されている。非特許文献1の技術においては、DOPA残基を含むタンパク質は、アンバーコドンを利用して任意の位置にDOPA残基を含むタンパク質を翻訳できるように改変した大腸菌を用いて調製されている。より詳細には、アンバーコドン(UAG)は通常はストップコドンであると認識されるところ、これをDOPAに対応するコドンであると認識するように遺伝子改変した大腸菌を用いて、任意の位置にDOPA残基を含むタンパク質を調製している。すなわち非特許文献1では、翻訳段階で合成途中のタンパク質にDOPAを取り込ませることにより、DOPA残基を含むタンパク質を調製している。
【0006】
非特許文献1の技術には、タンパク質の構造中の任意の位置にDOPA残基を配置できるという利点があるものの、通常はストップコドンであるアンバーコドンをDOPAの取り込みに用いるために、通常の大腸菌を用いたタンパク質合成系よりも目的タンパク質の収量が低下することが懸念された。
【0007】
上記事情に鑑みて、本発明者は銅運搬タンパク質融合チロシナーゼにより、翻訳後のポリペプチド内のチロシン残基をDOPA残基やDOPAキノン残基に変換し、当該DOPA残基やDOPAキノン残基を介して他の有機物質を付加することを試みた。しかしながら、銅運搬タンパク質融合チロシナーゼ、対象ポリペプチド(他の有機物質を付加したいポリペプチド)、及び付加したい有機物質を含む反応系にプロテアーゼを添加して、チロシナーゼ活性の抑制を解除したところ、生じたDOPA残基やDOPAキノン残基の接着性により対象ポリペプチドとプロテアーゼの複合体や対象ポリペプチド同士の複合体が形成され、本来の目的物である有機物質修飾ポリペプチドの生成は確認されなかった(図7)。そこで本発明者は、銅運搬タンパク質融合チロシナーゼを用いて、効率良く有機物質修飾ポリペプチドを製造する技術の提供を主な目的として、検討を重ねた。
【課題を解決するための手段】
【0008】
意外なことに、銅運搬タンパク質融合チロシナーゼ、対象ポリペプチド、及び付加したい有機物質を含む反応系に、プロテアーゼを添加しなかった場合には、目的物である有機物質修飾ポリペプチドの生成が確認された(図7)。すなわち本発明者は、銅運搬タンパク質融合チロシナーゼをプロテアーゼで切断せずに、チロシナーゼ活性部位が銅運搬タンパク質で遮蔽されたままの状態で対象ポリペプチドに接触させることにより、対象ポリペプチド同士の複合体の形成を抑制しつつ、有機物質修飾ポリペプチドが得られることを見出した。本発明者はさらに改良を重ね、本開示を完成させるに至った。
【0009】
本開示は例えば以下の項に記載の主題を包含する。
項1.
銅運搬タンパク質融合チロシナーゼを含む組成物であって、
該銅運搬タンパク質融合チロシナーゼが、
配列(A):銅運搬タンパク質機能を有するアミノ酸配列、
配列(B):リンカー配列、及び
配列(C):チロシナーゼ活性を有するアミノ酸配列
を含み、かつ、該配列(A)~(C)が(A)-(B)-(C)の順に連結されており、
該銅運搬タンパク質融合チロシナーゼとチロシン残基を含む対象ポリペプチドとの接触に用いるための、組成物。
項2.
前記接触を経て修飾ポリペプチドを製造するための組成物であって、
該修飾ポリペプチドが、前記チロシン残基が変換してなるDOPA残基及び/又はDOPAキノン残基と、反応性官能基を有する有機物質とが結合した構造を含む修飾ポリペプチドであり、
該反応性官能基が、DOPA残基及び/又はDOPAキノン残基との反応性を有する官能基である、項1に記載の組成物。
項3.
前記配列(A)及び/又は前記配列(C)が、ストレプトマイセス属細菌由来のアミノ酸配列である、項1又は2に記載の組成物。
項4.
前記配列(A)が、
配列(a1):配列番号1で表されるアミノ酸配列、又は
配列(a2):配列番号1で表されるアミノ酸配列に対する配列同一性が70%以上のアミノ酸配列である、項1~3のいずれかに記載の組成物。
項5.
前記配列(C)が、
配列(c1):配列番号2で表されるアミノ酸配列、又は
配列(c2):配列番号2で表されるアミノ酸配列に対する配列同一性が70%以上のアミノ酸配列である、項1~4のいずれかに記載の組成物。
項6.
前記配列(A)が、
配列(a1):配列番号1で表されるアミノ酸配列、又は
配列(a2):配列番号1で表されるアミノ酸配列に対する配列同一性が90%以上のアミノ酸配列であり、かつ
前記配列(C)が、
配列(c1):配列番号2で表されるアミノ酸配列、又は
配列(c2):配列番号2で表されるアミノ酸配列に対する配列同一性が90%以上のアミノ酸配列である、項1~5のいずれかに記載の組成物。
項7.
前記配列(B)が、GSリンカー配列及びプロテアーゼ認識配列からなる群より選択される少なくとも1種の配列を含む、項1~6のいずれかに記載の組成物。
項8.
前記銅運搬タンパク質融合チロシナーゼが、
配列(d1):配列番号5で表されるアミノ酸配列、又は
配列(d2):配列番号5で表されるアミノ酸配列に対する配列同一性が70%以上のアミノ酸配列
を含む、項1~7のいずれかに記載の組成物。
項9.
前記対象ポリペプチドが、N末端から20アミノ酸残基以内及び/又はC末端から20アミノ酸残基以内にチロシン残基を含むことを特徴とする、項1~8のいずれかに記載の組成物。
項10.
前記対象ポリペプチドが、N末端及び/又はC末端に(GSHY)
n
(nは1~10の自然数)で表されるアミノ酸配列を含むことを特徴とする、項1~9のいずれかに記載の組成物。
項11.
前記反応性官能基が、アミノ基、チオール基、イミダゾール基、アルキニル基、及び下記一般式(I):
TIFF
2025147677000001.tif
13
170
で表される基からなる群より選択される少なくとも1種である、項2~10のいずれかに記載の組成物。
項12.
バイオコンジュゲートの製造のために用いられる、項1~11のいずれかに記載の組成物。
項13.
前記対象ポリペプチドが抗体又は抗体の断片である、項1~12のいずれかに記載の組成物。
項14.
【発明の効果】
【0010】
本開示によれば、銅運搬タンパク質融合チロシナーゼの新たな用途が提供される。より詳細には、本開示によれば、DOPA残基やDOPAキノン残基の接着性に起因するポリペプチド同士の複合体形成を抑制しつつ、効率良く有機物質修飾ポリペプチドを製造できる技術が提供される。
【図面の簡単な説明】
(【0011】以降は省略されています)
この特許をJ-PlatPat(特許庁公式サイト)で参照する
関連特許
豊田合成株式会社
樹脂成形装置
17日前
日新電機株式会社
化学蓄熱反応器
13日前
豊田合成株式会社
歩行相判定支援システム
9日前
国立大学法人東海国立大学機構
銅運搬タンパク質融合チロシナーゼを含む組成物
5日前
国立大学法人東海国立大学機構
超伝導デバイス、超伝導電磁石、及び超伝導デバイスの製造方法
5日前
国立大学法人東海国立大学機構
画像処理装置、画像処理方法、および、コンピュータプログラム
5日前
旭化成株式会社
窒化物半導体積層体の製造方法及び窒化物半導体積層体
3日前
旭化成株式会社
窒化物半導体積層体の製造方法及び窒化物半導体積層体
3日前
国立大学法人東海国立大学機構
進行性核上性麻痺の治療
5日前
国立大学法人東海国立大学機構
情報処理装置、情報処理システム、情報処理方法、および、コンピュータプログラム
9日前
国立大学法人東海国立大学機構
骨形成異常に関する判定を行うシステム、プログラムおよび方法ならびに学習済みモデルの生成方法
5日前
不二サッシ株式会社
床加速度の測定システムおよび測定方法
5日前
国立大学法人 東京大学
crRNA、タイプI CRISPR-Casシステム、標的DNAを編集する方法、標的DNAが編集された細胞を製造する方法、標的DNAを検出する方法、及びキット
9日前
個人
抗遺伝子劣化装置
1か月前
個人
細胞内探査とその利用
1か月前
雪国アグリ株式会社
単糖類の製造方法
4日前
日本バイリーン株式会社
細胞用支持基材
3か月前
個人
細胞培養容器
3か月前
杏林製薬株式会社
核酸検出用PCR溶液
4か月前
東洋紡株式会社
改変型RNAポリメラーゼ
3か月前
学校法人近畿大学
培養肉の製造方法
4か月前
株式会社タクマ
バイオマス処理装置
2か月前
サッポロビール株式会社
飲料
4か月前
株式会社タクマ
バイオマス処理装置
2か月前
テルモ株式会社
吐出デバイス
1か月前
日油株式会社
蛋白質安定化剤
3か月前
株式会社東洋新薬
経口組成物
1か月前
テルモ株式会社
容器蓋デバイス
1か月前
宝酒造株式会社
アルコール飲料
13日前
東ソー株式会社
pH応答性マイクロキャリア
1か月前
島根県
油吸着材とその製造方法
2日前
大陽日酸株式会社
培養装置
1か月前
大陽日酸株式会社
培養装置
1か月前
株式会社ファンケル
SEC12タンパク発現促進剤
2か月前
トヨタ自動車株式会社
バイオ燃料製造方法
1か月前
株式会社豊田中央研究所
細胞励起装置
11日前
続きを見る
他の特許を見る