TOP
|
特許
|
意匠
|
商標
特許ウォッチ
Twitter
他の特許を見る
10個以上の画像は省略されています。
公開番号
2025149376
公報種別
公開特許公報(A)
公開日
2025-10-08
出願番号
2024049984
出願日
2024-03-26
発明の名称
ポリウレタン又はそのコポリマーの製造方法
出願人
三菱ケミカル株式会社
代理人
個人
,
個人
主分類
C08G
71/04 20060101AFI20251001BHJP(有機高分子化合物;その製造または化学的加工;それに基づく組成物)
要約
【課題】イソシアネート化合物を原料に使用することなく、柔軟性及び機械的強度に優れた強靭なポリウレタン又はそのコポリマーを優れた生産性で製造する方法を提供する。
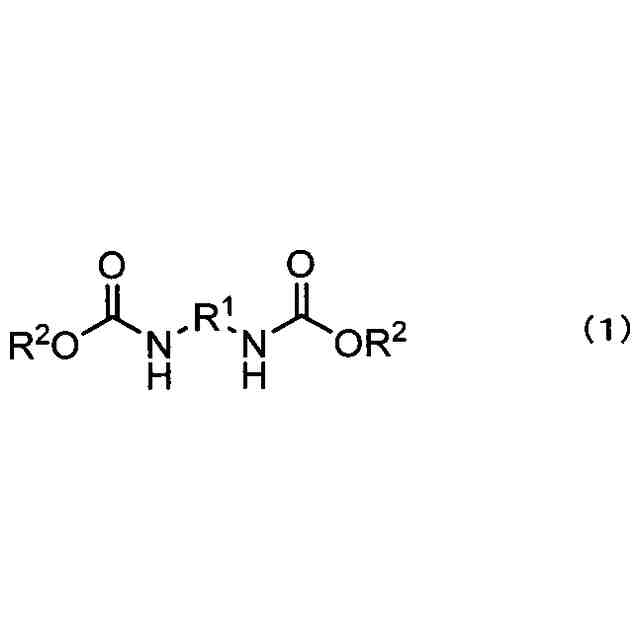
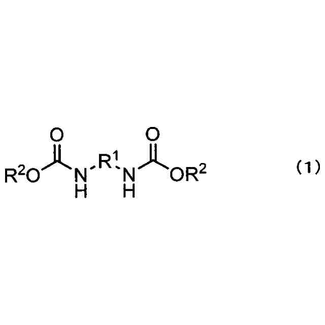
【解決手段】脂肪族ジヒドロキシ化合物と下記式(1)で表されるジカルバメート化合物を原料として、常圧~1000Paの条件で段階的に減圧し反応させる第一段階反応工程と、次いで、1000Pa以下の条件で反応させる第二段階反応工程とを有する、ポリウレタン又はそのコポリマーの製造方法。
<com:Image com:imageContentCategory="Drawing"> <com:ImageFormatCategory>TIFF</com:ImageFormatCategory> <com:FileName>2025149376000010.tif</com:FileName> <com:HeightMeasure com:measureUnitCode="Mm">31</com:HeightMeasure> <com:WidthMeasure com:measureUnitCode="Mm">140</com:WidthMeasure> </com:Image> (上記式(1)において、R
1
は、置換基を有していてもよい脂肪族基又は置換基を有していてもよい芳香族基を表し、R
2
は、炭素原子と水素原子のみからなる脂肪族基又は炭素原子と水素原子のみからなる芳香族基を表す。)
【選択図】なし
特許請求の範囲
【請求項1】
脂肪族ジヒドロキシ化合物と下記式(1)で表されるジカルバメート化合物を原料として、常圧~1000Paの条件で段階的に減圧し反応させる第一段階反応工程と、次いで、1000Pa以下の条件で反応させる第二段階反応工程とを有する、ポリウレタン又はそのコポリマーの製造方法。
TIFF
2025149376000008.tif
31
140
(上記式(1)において、R
1
は、置換基を有していてもよい脂肪族基又は置換基を有していてもよい芳香族基を表し、R
2
は、炭素原子と水素原子のみからなる脂肪族基又は炭素原子と水素原子のみからなる芳香族基を表す。)
続きを表示(約 560 文字)
【請求項2】
前記式(1)中のR
1
が炭素数2~12の直鎖アルキレン基である、請求項1に記載のポリウレタン又はそのコポリマーの製造方法。
【請求項3】
前記脂肪族ジヒドロキシ化合物が、下記式(2)で表される、請求項1又は2に記載のポリウレタン又はそのコポリマーの製造方法。
TIFF
2025149376000009.tif
23
140
(上記式(2)中、xは2又は3の整数を表し、mは1~500の整数を表す。)
【請求項4】
前記式(2)で表される脂肪族ジヒドロキシ化合物の数平均分子量が、5,000以下である、請求項3に記載のポリウレタン又はそのコポリマーの製造方法。
【請求項5】
反応触媒として、金属の、酸化物、酢酸塩、アルコキシド、リン酸塩、ハロゲン化物及び配位錯体よりなる群から選ばれる1種又は2種以上を用いる、請求項1又は2に記載のポリウレタン又はそのコポリマーの製造方法。
【請求項6】
前記ポリウレタンとして、200℃におけるゼロせん断粘度が、2~1500Pa・sの範囲であるポリウレタンを製造する、請求項1又は2に記載のポリウレタン又はそのコポリマーの製造方法。
発明の詳細な説明
【技術分野】
【0001】
本発明は、ポリウレタン又はそのコポリマーの製造方法に関する。
続きを表示(約 1,100 文字)
【背景技術】
【0002】
ポリウレタン樹脂は機械的強度、低温特性、加工性に優れており、土木建築分野、自動車分野等、様々な分野に利用されている。
【0003】
一般的にポリウレタン樹脂の原料としてイソシアネート化合物が用いられている。しかし、イソシアネート化合物は環境や健康の面からその多大なる有害性がかねてより指摘されている化合物であり、欧州において規制の対象物質にも追加されている。
【0004】
そうした背景からイソシアネート化合物を使用しないポリウレタン、いわゆるノンイソシアネートポリウレタン(NIPU)の製造プロセスの開発が進められている。しかしながら、以下の通り、現状、そうしたプロセスで製造されたNIPUはイソシアネート由来のポリウレタンと比較して、物性面で劣る。このため、新たなNIPUの製造プロセスの構築が求められている。
【0005】
特許文献1に記載の製造方法は、含フッ素ビスカルバメート化合物とジオール化合物とを反応させることでポリウレタンが得られるとされているが、得られたポリウレタンの分子量は低く、機械的強度に劣ることが推定される。
【0006】
特許文献2に記載の製造方法は、ジカルバメートとジオールを触媒存在下、溶融重合させポリウレタンを製造するプロセスであるが、実施例を見ると、ジカルバメートを得るためにイソシアネートを使用している上、得られたポリウレタンは溶媒に溶解させてNMR測定を実施していることから分子量が低く、実用的なポリマーは得られていないと推定される。
【0007】
特許文献3に記載の製造方法は、ポリマー収率向上のため、金属触媒に加えて、ピリジンなどの複素環式単環第三級アミンを使用しているが、実施例に記載の還元粘度を見るに、その分子量は低いことが推定される。
【0008】
非特許文献1に記載のポリマーは、エチレンカーボネート由来のポリウレタンジオール化合物を触媒存在下、加熱することで縮合重合を行っているが、記載の分子量はポリマーとしては低いものであり、十分な物性は発揮できないことが推定される。
【先行技術文献】
【特許文献】
【0009】
国際公開第2023/080049号
国際公開第2007/066345号
特開昭52-135397号公報
【非特許文献】
【0010】
Journal of Polymer Science,Part A:Polymer Chemistry 2013,51,525
【発明の概要】
【発明が解決しようとする課題】
(【0011】以降は省略されています)
この特許をJ-PlatPat(特許庁公式サイト)で参照する
関連特許
三菱ケミカル株式会社
積層体
10日前
三菱ケミカル株式会社
積層体
12日前
三菱ケミカル株式会社
積層体
11日前
三菱ケミカル株式会社
粘着剤組成物
12日前
三菱ケミカル株式会社
樹脂ペレット群
5日前
三菱ケミカル株式会社
成形品の製造方法
9日前
三菱ケミカル株式会社
精製ガスの製造方法
9日前
三菱ケミカル株式会社
精製ガスの製造方法
9日前
三菱ケミカル株式会社
加工食品用粉体静菌剤
5日前
三菱ケミカル株式会社
重合体及び樹脂組成物
10日前
三菱ケミカル株式会社
オルガノポリシロキサン
10日前
三菱ケミカル株式会社
積層体及びその製造方法
16日前
三菱ケミカル株式会社
ポリエステル樹脂組成物
10日前
三菱ケミカル株式会社
樹脂組成物、および成形品
9日前
三菱ケミカル株式会社
積層ポリエステルフィルム
16日前
三菱ケミカル株式会社
ポリウレタンエラストマー
11日前
三菱ケミカル株式会社
構造発色用水系分散液組成物
5日前
三菱ケミカル株式会社
チキソ性付与剤、液状組成物
16日前
三菱ケミカル株式会社
コロイド結晶層を含む積層体
5日前
三菱ケミカル株式会社
液晶組成物及び液晶調光素子
12日前
三菱ケミカル株式会社
ポリエステル及びその製造方法
16日前
三菱ケミカル株式会社
熱可塑性樹脂組成物及び成形品
5日前
三菱ケミカル株式会社
眼科用医療器具及びその製造方法
17日前
三菱ケミカル株式会社
ポリウレタン樹脂及びその成形品
11日前
三菱ケミカル株式会社
ケイ素及びヘテロ原子含有化合物
11日前
三菱ケミカル株式会社
プログラム、方法、情報処理装置
10日前
三菱ケミカル株式会社
ポリアミド系樹脂フィルム、包装体
5日前
三菱ケミカル株式会社
粘着剤組成物、粘着剤及び粘着シート
16日前
三菱ケミカル株式会社
樹脂分散体、塗料、接着剤及び積層体
16日前
三菱ケミカル株式会社
樹脂組成物、ペレット、および、成形品
9日前
三菱ケミカル株式会社
組成物及び生分解性物質を分解する方法
12日前
三菱ケミカル株式会社
コンポスト袋及び有機廃棄物の処理方法
12日前
三菱ケミカル株式会社
有機電界発光素子、表示装置、照明装置
9日前
三菱ケミカル株式会社
ポリエステル系樹脂組成物、及び成形品
10日前
三菱ケミカル株式会社
槽の洗浄方法及びシリカ粒子の製造方法
10日前
三菱ケミカル株式会社
積層ポリエステルフィルム及びその応用
10日前
続きを見る
他の特許を見る