TOP
|
特許
|
意匠
|
商標
特許ウォッチ
Twitter
他の特許を見る
10個以上の画像は省略されています。
公開番号
2025144602
公報種別
公開特許公報(A)
公開日
2025-10-03
出願番号
2024044328
出願日
2024-03-21
発明の名称
積層体及びその製造方法
出願人
三菱ケミカル株式会社
代理人
個人
,
個人
,
個人
主分類
B32B
27/36 20060101AFI20250926BHJP(積層体)
要約
【課題】表面硬度、耐擦傷性に加え、基材とハードコート層との密着性、及び耐候性に優
れた積層体を得ることを目的とする。
【解決手段】所定の構造を有するジヒドロキシ化合物に由来する構造単位を有するポリカ
ーボネート樹脂を含有する層(A層)、及び所定の構造を有するモノ又はポリペンタエリ
スリトールポリ(メタ)アクリレートとイソシアヌル環を有する3官能以上の(メタ)ア
クリレート化合物、有機官能基で被覆処理された無機微粒子とを含有する活性エネルギー
線硬化性樹脂組成物を硬化してなる層(B層)を有する積層体を用いる。
【選択図】なし
特許請求の範囲
【請求項1】
ポリカーボネート樹脂を含有するA層と、活性エネルギー線硬化性樹脂組成物の硬化物
からなるB層を有し、少なくとも一方の最表層が前記B層である積層体であって、
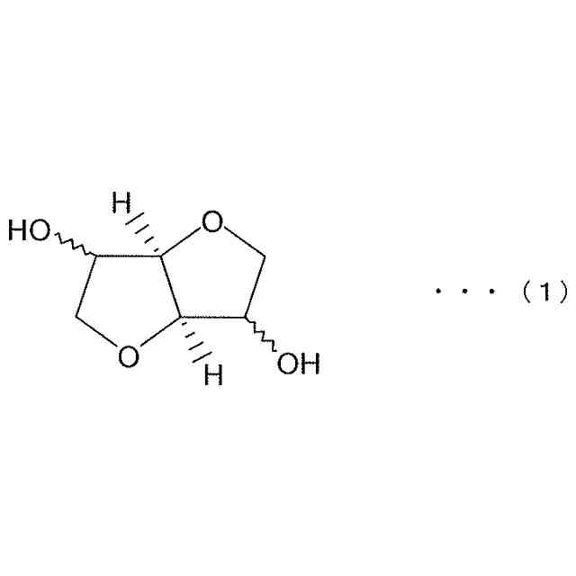
前記ポリカーボネート樹脂は、下記一般式(1)で表される構造を有するジヒドロキシ
化合物に由来する構造単位(a1)を有し、
前記活性エネルギー線硬化性樹脂組成物は、下記一般式(2)で表される化合物(b1
)と下記一般式(3)で示される3官能以上の(メタ)アクリレート化合物(b2)、表
面を有機官能基で被覆処理された無機微粒子(b3)とを含む積層体。
TIFF
2025144602000011.tif
39
100
TIFF
2025144602000012.tif
50
152
[式(2)中、「4+2n」個のXは、それぞれ独立に、(メタ)アクリロイルオキシ基
(すなわちCH
2
=CR-COO-で表される基であり、Rは水素原子又はメチル基を示
す。)、カプロラクトンにより変性された(メタ)アクリロイルオキシ基(すなわちCH
2
=CR-CO(O(CH
2
)
5
C=O)
y
-O-で表される基であり、Rは水素原子又
はメチル基を示し、yは1~5の整数を示す。)、及びヒドロキシ基から選ばれる基であ
る。また、nは0~4の整数である。]
TIFF
2025144602000013.tif
38
94
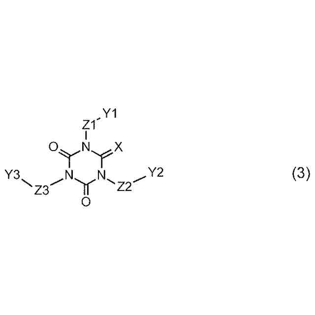
[式(3)中、Y1、Y2及びY3は、それぞれ独立に少なくとも2つ以上の(メタ)ア
クリロイル基を有し、Z1、Z2及びZ3は炭素数1~4のオキシアルキレン基または炭
素数2~10のアルキレン基を示す。]
続きを表示(約 1,100 文字)
【請求項2】
前記活性エネルギー線硬化性樹脂組成物が(メタ)アクリロイル基、エポキシ基および
ビニル基からなる群から選ばれる少なくとも1種の官能基を有し、重量平均分子量が20
0~3,000であるシロキサンオリゴマー(b4)を含有する、請求項1に記載の積層
体。
【請求項3】
前記(メタ)アクリレート化合物(b2)が、ヌレート骨格を有するウレタン(メタ)
アクリレート化合物である、請求項1又は請求項2に記載の積層体。
【請求項4】
前記式(2)中のXの少なくとも1つが、カプロラクトンにより変性された(メタ)ア
クリロイルオキシ基である、請求項1又は請求項2に記載の積層体。
【請求項5】
前記無機微粒子(b3)が、(メタ)アクリロイル基、エポキシ基及およびビニル基か
らなる群から選ばれる少なくとも1種の官能基で被覆処理された無機微粒子である、請求
項1又は請求項2に記載の積層体。
【請求項6】
前記活性エネルギー線硬化性樹脂組成物において、活性エネルギー線硬化性樹脂組成物
全固形分に対して、前記一般式(2)で表される(b1)が10~90質量%、前記一般
式(3)で示される3官能以上の(メタ)アクリレート化合物(b2)が10~90質量
%、表面を有機官能基で被覆処理された無機微粒子(b3)が5~50質量%、(メタ)
アクリロイル基、エポキシ基およびビニル基からなる群から選ばれる少なくとも1種の官
能基を有し、重量平均分子量が200~3,000であるシロキサンオリゴマー(b4)
が1~10質量%含有する請求項1又は請求項2に記載の積層体。
【請求項7】
前記活性エネルギー線硬化性樹脂組成物が紫外線吸収剤(c1)及びヒンダードアミン
系光安定剤(c2)の少なくとも一方を含有する、請求項1又は請求項2に記載の積層体
。
【請求項8】
前記A層の少なくとも一方の面に活性エネルギー線硬化性樹脂組成物を塗布した後、活
性エネルギー線を照射してB層を形成する工程を有する請求項1又は請求項2に記載の積
層体の製造方法。
【請求項9】
前記積層体が、樹脂ガラス、樹脂グリル、ヘッドライトカバー、テールランプカバーを
含む自動車部品、あるいはメガネフレーム、サングラスを含むメガネ部品からなる群のい
ずれかから少なくとも一つ以上の用途として用いられる、請求項1に記載の積層体。
発明の詳細な説明
【技術分野】
【0001】
本発明は、ポリカーボネート樹脂からなるフィルム、シート、成形品等の基材の上に、
活性エネルギー線硬化性樹脂組成物を硬化して得られる層を有してなる積層体、及びその
製造方法に関する。
続きを表示(約 1,500 文字)
【背景技術】
【0002】
ポリカーボネート樹脂は、透明性、耐熱性、機械的強度に優れるため、自動車用部品、
医療用部品、フィルム、シート、ボトル等の容器、建材、携帯電話等の各種ハウジング材
、光デイスク基板、プラスチックレンズの分野で広く用いられている。
しかしながら、ポリカーボネート樹脂の場合、ガラスに比べて表面硬度が低いために傷
つきやすく、樹脂が持つ本来の透明性あるいは外観が著しく損なわれるという欠点があり
、耐傷付き性を必要とする分野でのプラスチック基材の使用を困難なものとしている。こ
のため、これらポリカーボネート樹脂表面の耐摩耗性を解決するために、イソソルビドを
使用し、炭酸ジフェニルとのエステル交換反応により、表面硬度の高いポリカーボネート
樹脂を得ることが提案されている(特許文献1)。またイソソルビドと脂環式ジヒドロキ
シ化合物を共重合することによってポリカーボネート樹脂を得る方法が提案されている(
特許文献2)。
しかし、これらのポリカーボネート樹脂は光学特性、加工性、機械物性、耐光性に優れ
る特徴を有するものの、耐擦傷性に関しては満足のゆくものではなかった。これらのポリ
カーボネート樹脂への耐擦傷性向上としてハードコート層を積層した積層体が提案されて
いる(特許文献3~4)。
【先行技術文献】
【特許文献】
【0003】
特許第6349866号公報
【0004】
特開2008-24919号公報
【0005】
特開2009-102537号公報
【0006】
特開2016-68438号公報
【発明の概要】
【発明が解決しようとする課題】
【0007】
しかしながら、特許文献3~4に記載の積層体は、ハードコート層を積層することによ
り表面硬度、耐擦傷性は向上するものの、耐候性試験後の密着性は十分でなかった。
本発明は、表面硬度、耐擦傷性に加え、基材とハードコート層との密着性、及び耐候性
に優れた積層体、及びその製造方法を提供することを目的とする。
【課題を解決するための手段】
【0008】
本発明者らは、前記課題を解決すべく鋭意検討を行った結果、本発明の構成の積層体が
前記課題を解決できることを見出した。すなわち、本発明は以下に示すとおりである。
[1]ポリカーボネート樹脂を含有するA層と、活性エネルギー線硬化性樹脂組成物の硬
化物からなるB層を有し、少なくとも一方の最表層が前記B層である積層体であって、
前記ポリカーボネート樹脂は、下記一般式(1)で表される構造を有するジヒドロキシ
化合物に由来する構造単位(a1)を有し、
前記活性エネルギー線硬化性樹脂組成物は、下記一般式(2)で表される(b1)と下
記一般式(3)で示される3官能以上の(メタ)アクリレート化合物(b2)、表面を有
機官能基で被覆処理された無機微粒子(b3)とを含む積層体。
【0009】
TIFF
2025144602000001.tif
39
97
【0010】
TIFF
2025144602000002.tif
51
150
(【0011】以降は省略されています)
この特許をJ-PlatPat(特許庁公式サイト)で参照する
関連特許
三菱ケミカル株式会社
積層体及びその製造方法
今日
三菱ケミカル株式会社
積層ポリエステルフィルム
今日
三菱ケミカル株式会社
チキソ性付与剤、液状組成物
今日
三菱ケミカル株式会社
アクリル酸エチルの製造方法
4日前
三菱ケミカル株式会社
ポリエステル及びその製造方法
今日
三菱ケミカル株式会社
硬化性組成物、硬化物、積層体
4日前
三菱ケミカル株式会社
眼科用医療器具及びその製造方法
1日前
三菱ケミカル株式会社
樹脂分散体、塗料、接着剤及び積層体
今日
三菱ケミカル株式会社
粘着剤組成物、粘着剤及び粘着シート
今日
三菱ケミカル株式会社
食品用シート、容器及び電子レンジ加温用容器
2日前
三菱ケミカル株式会社
ポリビニルアルコール系樹脂組成物ペレット群
4日前
三菱ケミカル株式会社
組成物、粘着剤組成物、粘着剤、及び粘着シート
7日前
三菱ケミカル株式会社
多孔エレクトレットフィルム及び積層圧電シート
4日前
三菱ケミカル株式会社
活性エネルギー線硬化性粘着剤組成物及びその用途
4日前
三菱ケミカル株式会社
粒子、成形材料、成形体、およびそれらの製造方法
1日前
三菱ケミカル株式会社
エポキシ樹脂組成物、硬化物、及び電気・電子部品
4日前
三菱ケミカル株式会社
ビニルアルコール系ブロック共重合体およびその製造方法
今日
三菱ケミカル株式会社
酸変性ポリエステル系樹脂、生分解性接着剤、及び積層体
今日
三菱ケミカル株式会社
粒子及び粒子の製造方法と、樹脂組成物及びその製造方法
1日前
三菱ケミカル株式会社
ポリカーボネート樹脂組成物、成形品、レンズおよびフィルム
4日前
三菱ケミカル株式会社
窒化ホウ素凝集粉末、複合材組成物、放熱部材、半導体デバイス
2日前
三菱ケミカル株式会社
窒化ホウ素凝集粉末、複合材組成物、放熱部材、半導体デバイス
2日前
三菱ケミカル株式会社
繊維強化複合材料
3日前
三菱ケミカル株式会社
ジオール含有組成物、ポリカーボネートジオール及びポリウレタン
1日前
三菱ケミカル株式会社
触媒、触媒の製造方法、芳香族化合物及びアミン化合物の製造方法
今日
三菱ケミカル株式会社
樹脂組成物、樹脂シート、積層体、シート硬化物及び回路基板材料
今日
三菱ケミカル株式会社
ジオール含有組成物、ポリカーボネートジオール及びポリウレタン
今日
三菱ケミカル株式会社
金属間化合物担持炭化ジルコニウム触媒を用いた、化合物の製造方法
2日前
三菱ケミカル株式会社
粘着剤組成物、それを用いてなる粘着剤、粘着シート、および積層体
4日前
三菱ケミカル株式会社
金属間化合物担持炭化ジルコニウム触媒を用いた、化合物の製造方法
2日前
三菱ケミカル株式会社
ポリエステルフィルム
4日前
三菱ケミカル株式会社
ポリエステルフィルム
4日前
三菱ケミカル株式会社
化合物、組成物、有機電界発光素子、有機EL表示装置及び有機EL照明
今日
三菱ケミカル株式会社
化合物、組成物、有機電界発光素子、有機EL表示装置及び有機EL照明
今日
三菱ケミカル株式会社
モーター用絶縁フィルム、モーター及びモーター用絶縁フィルムの製造方法
4日前
三菱ケミカル株式会社
ゼオライト膜複合体、その製造方法およびそれを用いたメタノールの製造方法
今日
続きを見る
他の特許を見る