TOP
|
特許
|
意匠
|
商標
特許ウォッチ
Twitter
他の特許を見る
公開番号
2025160676
公報種別
公開特許公報(A)
公開日
2025-10-23
出願番号
2024063375
出願日
2024-04-10
発明の名称
燃料電池用電解質膜
出願人
日清紡ホールディングス株式会社
,
国立大学法人東京科学大学
代理人
弁理士法人英明国際特許事務所
主分類
H01M
8/103 20160101AFI20251016BHJP(基本的電気素子)
要約
【課題】 フッ素原子を含まないため環境負荷が少なく、80℃以上の高温域で劣化が少ない燃料電池用電解質膜を提供すること。
【解決手段】 ポリベンズイミダゾールナノファイバーと、N-ビニルイミダゾール、N-ビニルイミダゾールの誘導体およびそれらの混合物から選ばれるモノマーの重合体とを含む燃料電池用電解質膜。
【選択図】 なし
特許請求の範囲
【請求項1】
ポリベンズイミダゾールナノファイバーと、N-ビニルイミダゾール、N-ビニルイミダゾールの誘導体およびそれらの混合物から選ばれるモノマーの重合体とを含む燃料電池用電解質膜。
続きを表示(約 1,000 文字)
【請求項2】
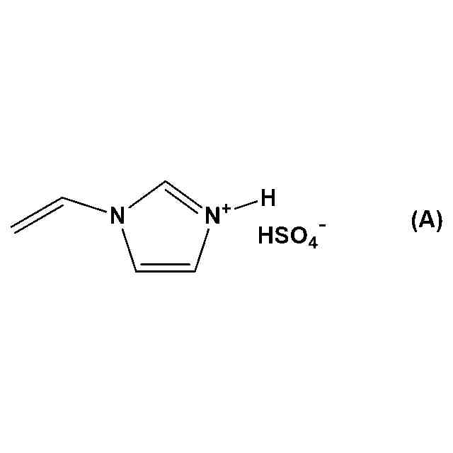
前記N-ビニルイミダゾールの誘導体が、下記式(1)および式(2)で表される少なくとも1種である請求項1記載の燃料電池用電解質膜。
TIFF
2025160676000007.tif
30
160
(式(1)中、X
-
は、1価のアニオンを表す。式(2)中、Zは、炭素-炭素結合間に酸素原子が介在していてもよい炭素数1~20のアルキレン基を表し、Y
-
は、互いに独立して1価のアニオンを表し、nは、1~20の整数を表す。)
【請求項3】
前記X
-
が、HSO
4
-
である請求項2記載の燃料電池用電解質膜。
【請求項4】
前記Zが、炭素-炭素結合間に酸素原子が介在していてもよい炭素数4~16のアルキレン基である請求項2記載の燃料電池用電解質膜。
【請求項5】
前記Y
-
が、いずれもHSO
4
-
である請求項2記載の燃料電池用電解質膜。
【請求項6】
ポリベンズイミダゾールナノファイバーからなる繊維構造体に、N-ビニルイミダゾール、N-ビニルイミダゾールの誘導体およびそれらの混合物から選ばれるモノマーを含浸させた後、前記モノマーを重合させる燃料電池用電解質膜の製造方法。
【請求項7】
ポリベンズイミダゾールナノファイバーからなる繊維構造体を、80℃以上、0.5MPa以上の条件で熱プレス処理した後、前記モノマーを含浸させる請求項6記載の燃料電池用電解質膜の製造方法。
【請求項8】
前記熱プレス処理した後のポリベンズイミダゾールナノファイバーからなる繊維構造体を、さらに酸素プラズマ処理した後、前記モノマーを含浸させる請求項7記載の燃料電池用電解質膜の製造方法。
【請求項9】
前記ポリベンズイミダゾールナノファイバーからなる繊維構造体が、電界紡糸法で作製されたものである請求項6記載の燃料電池用電解質膜の製造方法。
【請求項10】
前記ポリベンズイミダゾールナノファイバーからなる繊維構造体が、ポリベンズイミダゾールのジメチルアセトアミド溶液から電界紡糸法で作製されたものである請求項9記載の燃料電池用電解質膜の製造方法。
発明の詳細な説明
【技術分野】
【0001】
本発明は、燃料電池用電解質膜に関する。
続きを表示(約 2,500 文字)
【背景技術】
【0002】
燃料電池は、水素等の燃料と大気中の酸素とを電池に供給し、これらを電気化学的に反応させて水を作り出すことで直接発電させるものであり、高い効率でエネルギー変換可能で、環境適応性に優れていることから、小規模地域発電、家庭用発電、キャンプ場等での簡易電源、自動車、小型船舶等の移動用電源、人工衛星、宇宙開発用電源等の各種用途向けに開発が進められている。
【0003】
このような燃料電池、特に固体高分子型燃料電池は、固体高分子電解質膜と、この両側に配設されたアノード電極およびカソード電極とからなる膜電極接合体を、一対のセパレータで挟持してなる単位セルを複数個並設してなるモジュールから構成されており、従来、この電解質膜として、フッ素系ポリマーであるナフィオン(Nafion,登録商標、以下同じ。)、アクイビオン(Aquivion、登録商標、以下同じ。)が一般的に広く用いられている(例えば、特許文献1参照)。
【0004】
しかし、これらのフッ素系ポリマーを含む電解質膜は、高価であるうえに、高温無加湿状態で顕著にプロトン伝導性が低下するという問題がある。また、いずれもフッ素を含んでいるため、環境面、規制面を考えると好ましくない。
【0005】
この点、高温(120~150℃)での駆動が可能な次世代燃料電池発電条件に適合する電解質膜として、特許文献2には、酸ドープ型のポリベンズイミダゾールナノファイバーを用いた高温燃料電池用電解質が開示されている。
しかし、特許文献2の技術では、エーテル側鎖を含有させているため、イオン交換基の割合が少なくなり、プロトン伝導性という点で改善の余地がある。
【先行技術文献】
【特許文献】
【0006】
国際公開第2017/141878号
特開2020-181701号公報
【発明の概要】
【発明が解決しようとする課題】
【0007】
本発明は、このような事情に鑑みてなされたものであり、フッ素原子を含まないため環境負荷が少なく、80℃以上の高温域で劣化が少ない燃料電池用電解質膜を提供することを目的とする。
【課題を解決するための手段】
【0008】
本発明者らは、上記目的を達成するために鋭意検討を重ねた結果、ポリベンズイミダゾールナノファイバーと、N-ビニルイミダゾール、N-ビニルイミダゾールの誘導体およびそれらの混合物から選ばれるモノマーの重合体とからなる膜が、80℃以上の高温域で劣化が少ないことを見出し、本発明を完成した。
【0009】
すなわち、本発明は、
1. ポリベンズイミダゾールナノファイバーと、N-ビニルイミダゾール、N-ビニルイミダゾールの誘導体およびそれらの混合物から選ばれるモノマーの重合体とを含む燃料電池用電解質膜、
2. 前記N-ビニルイミダゾールの誘導体が、下記式(1)および式(2)で表される少なくとも1種である1の燃料電池用電解質膜、
TIFF
2025160676000001.tif
31
162
(式(1)中、X
-
は、1価のアニオンを表す。式(2)中、Zは、炭素-炭素結合間に酸素原子が介在していてもよい炭素数1~20のアルキレン基を表し、Y
-
は、互いに独立して1価のアニオンを表し、nは、1~20の整数を表す。)
3. 前記X
-
が、HSO
4
-
である2の燃料電池用電解質膜、
4. 前記Zが、炭素-炭素結合間に酸素原子が介在していてもよい炭素数4~16のアルキレン基である2の燃料電池用電解質膜、
5. 前記Y
-
が、いずれもHSO
4
-
である2の燃料電池用電解質膜、
6. ポリベンズイミダゾールナノファイバーからなる繊維構造体に、N-ビニルイミダゾール、N-ビニルイミダゾールの誘導体およびそれらの混合物から選ばれるモノマーを含浸させた後、前記モノマーを重合させる燃料電池用電解質膜の製造方法、
7. ポリベンズイミダゾールナノファイバーからなる繊維構造体を、80℃以上、0.5MPa以上の条件で熱プレス処理した後、前記モノマーを含浸させる6の燃料電池用電解質膜の製造方法、
8. 前記熱プレス処理した後のポリベンズイミダゾールナノファイバーからなる繊維構造体を、さらに酸素プラズマ処理した後、前記モノマーを含浸させる7の燃料電池用電解質膜の製造方法、
9. 前記ポリベンズイミダゾールナノファイバーからなる繊維構造体が、電界紡糸法で作製されたものである6の燃料電池用電解質膜の製造方法、
10. 前記ポリベンズイミダゾールナノファイバーからなる繊維構造体が、ポリベンズイミダゾールのジメチルアセトアミド溶液から電界紡糸法で作製されたものである9の燃料電池用電解質膜の製造方法
を提供する。
【発明の効果】
【0010】
本発明の燃料電池用電解質膜は、80℃以上の高温域で劣化が少なく、また、膜の原料となるモノマーのいずれもがプロトン受容性基であるイミダゾリウム塩基を有し、分子中のプロトン受容性基の数が多いため、高温・無加湿状態において、ナフィオン等のフッ素系ポリマーを上回るプロトン伝導性を示す。
また、本発明の電解質膜は、補強材として、耐熱高分子材料であるポリベンズイミダゾールナノファイバーを含んでいるため、それを含まないものに比べ高強度な物性を示す。
さらに、本発明の電解質膜は、フッ素を含まない構造であり、一般に普及しているフッ素系ポリマーと比べコスト面で有利であるとともに、環境負荷も小さい。
【図面の簡単な説明】
(【0011】以降は省略されています)
この特許をJ-PlatPat(特許庁公式サイト)で参照する
関連特許
APB株式会社
蓄電セル
13日前
東ソー株式会社
絶縁電線
15日前
個人
フレキシブル電気化学素子
27日前
ローム株式会社
半導体装置
14日前
日新イオン機器株式会社
イオン源
23日前
ローム株式会社
半導体装置
1か月前
ローム株式会社
半導体装置
1か月前
ローム株式会社
半導体装置
29日前
ローム株式会社
半導体装置
1か月前
株式会社東芝
端子台
7日前
マクセル株式会社
電源装置
7日前
ローム株式会社
半導体装置
1か月前
株式会社ユーシン
操作装置
27日前
個人
半導体パッケージ用ガラス基板
1か月前
太陽誘電株式会社
全固体電池
1か月前
オムロン株式会社
電磁継電器
28日前
株式会社GSユアサ
蓄電装置
1か月前
株式会社ホロン
冷陰極電子源
21日前
株式会社GSユアサ
蓄電装置
8日前
株式会社GSユアサ
蓄電装置
今日
株式会社GSユアサ
蓄電装置
8日前
株式会社ホロン
冷陰極電子源
1か月前
太陽誘電株式会社
コイル部品
27日前
株式会社GSユアサ
蓄電設備
27日前
株式会社GSユアサ
蓄電設備
27日前
トヨタ自動車株式会社
蓄電装置
27日前
トヨタ自動車株式会社
バッテリ
13日前
日新イオン機器株式会社
基板処理装置
10日前
北道電設株式会社
配電具カバー
13日前
TDK株式会社
電子部品
1か月前
ノリタケ株式会社
熱伝導シート
27日前
日本特殊陶業株式会社
保持装置
1か月前
トヨタ自動車株式会社
冷却構造
15日前
日本特殊陶業株式会社
保持装置
16日前
サクサ株式会社
電池の固定構造
27日前
日本特殊陶業株式会社
保持装置
1か月前
続きを見る
他の特許を見る