TOP
|
特許
|
意匠
|
商標
特許ウォッチ
Twitter
他の特許を見る
10個以上の画像は省略されています。
公開番号
2024180374
公報種別
公開特許公報(A)
公開日
2024-12-26
出願番号
2024096975
出願日
2024-06-14
発明の名称
フィルター
出願人
白金科技股分有限公司
代理人
個人
,
個人
主分類
G02B
5/22 20060101AFI20241219BHJP(光学)
要約
【課題】フィルターに特定の近赤外線吸収層を設置することにより、近赤外線を効率よく吸収させ、可視光線透過率に優れており、後加工の負担を軽減することができるフィルターの提供。
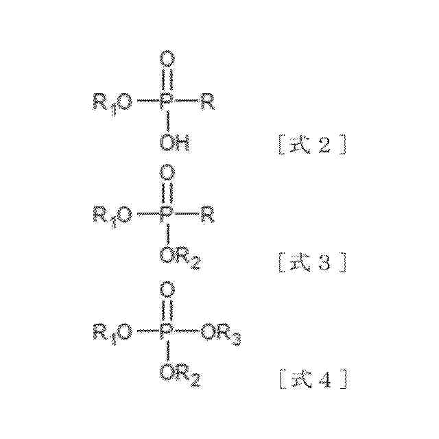
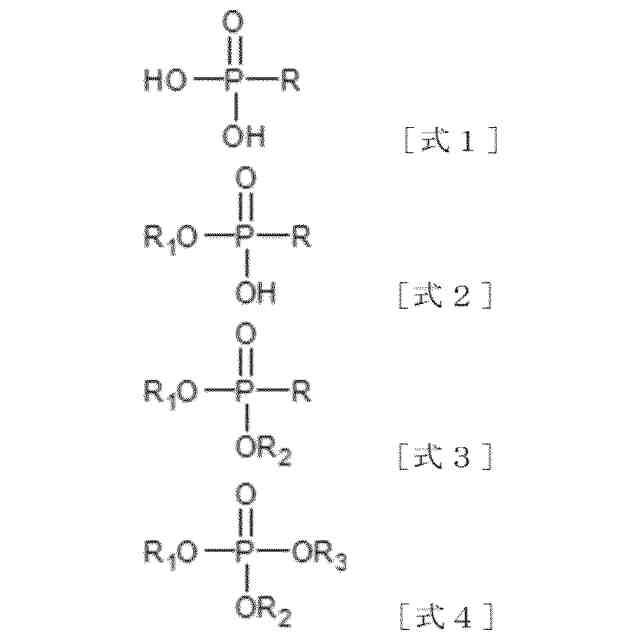
【解決手段】基材層20と前記基材層20の上にある近赤外線吸収層10と含むフィルター1であって、前記近赤外線吸収層10は、銅錯体を含み、前記銅錯体は、銅イオンを供給するために用いられる銅化合物、下記式1で示されるホスホン酸、及び少なくとも1種の式2~式4で示されるリン含有化合物により形成され、前記フィルター1の入射光波長930nm~950nmに対するOD値は4超である。
<com:Image com:imageContentCategory="Drawing"> <com:ImageFormatCategory>TIFF</com:ImageFormatCategory> <com:FileName>2024180374000008.tif</com:FileName> <com:HeightMeasure com:measureUnitCode="Mm">26</com:HeightMeasure> <com:WidthMeasure com:measureUnitCode="Mm">59</com:WidthMeasure> </com:Image>
【選択図】図1A
特許請求の範囲
【請求項1】
基材層と、前記基材層の上にある近赤外線吸収層とを含む、フィルターであって、
前記近赤外線吸収層は銅錯体を含み、前記銅錯体は、銅イオンを供給するために用いられる銅化合物、下記式1で示されるホスホン酸、及び少なくとも1種の式2~式4で示されるリン含有化合物により形成され、
TIFF
2024180374000007.tif
106
67
(式中、R、R
1
、R
2
、R
3
は、それぞれ独立して、置換若しくは無置換のC
1
~C
12
アルキル又は置換若しくは無置換のC
6
~C
12
アリールである。)
前記フィルターの入射光波長930nm~950nmに対するOD値は4超である、フィルター。
続きを表示(約 820 文字)
【請求項2】
前記置換若しくは無置換のC
1
~C
12
アルキルは、メチル、エチル、n-プロピル、イソプロピル、n-ブチル、sec-ブチル、イソブチル、及びtert-ブチルからなる群より選択され、前記置換若しくは無置換の之C
6
~C
12
アリールは、フェニル、ナフチル、及びクロロフェニルからなる群より選択される、請求項1に記載のフィルター。
【請求項3】
前記近赤外線吸収層のヘイズは0.4%以下である、請求項1に記載のフィルター。
【請求項4】
前記近赤外線吸収層のX線光電子スペクトルは、結合エネルギーが930電子ボルト(eV)~940電子ボルトである場合、少なくとも1つのメインピークを有する、請求項1に記載のフィルター。
【請求項5】
前記少なくとも1つのメインピークの1秒あたりのカウント数の値は4500以上である、請求項4に記載のフィルター。
【請求項6】
入射光波長940nmに対するOD値は4.5超である、請求項1に記載のフィルター。
【請求項7】
前記近赤外線吸収層の厚さが25μm~150μmである、請求項1に記載のフィルター。
【請求項8】
前記基材層の材料はガラスであり、前記基材層の厚さは200μm~500μmである、請求項1に記載のフィルター。
【請求項9】
前記基材層の前記近赤外線吸収層とは反対側にあるフィルター層をさらに含む、請求項1に記載のフィルター。
【請求項10】
前記フィルター層は第1の吸収染料層及び/又は第2の吸収染料層をさらに含み、前記第1の吸収染料層は近赤外線吸収染料を含み、前記第2の吸収染料層は紫外線染料を含む、請求項9に記載のフィルター。
(【請求項11】以降は省略されています)
発明の詳細な説明
【技術分野】
【0001】
本開示は、フィルターに関し、特に、銅錯体を含有する近赤外線吸収層を含むフィルターに関する。
続きを表示(約 1,800 文字)
【背景技術】
【0002】
近赤外線吸収フィルターは、イメージセンサーなどの光学装置中に広く使用されているが、画像解像度とパターンの光学品質に対する要求が日々高まるにつれ、現在の近赤外線吸収フィルターは、新しい要求に対応できなくなった。したがって、現在、基準が高くなる厳しい要求に応えるために、可視光領域で良好な透過率を有し、かつ近赤外線領域で良好な遮蔽性(すなわち、現在の8~15%の透過率よりも低い)を有する近赤外線吸収剤の開発が必要となった。
【0003】
一方、現在広く使用されている光学識別素子は、一般的には、近赤外線、特に波長が940nmの近赤外線を識別光源としているため、光学識別素子及びイメージセンサーを備える裝置には、イメージセンサーのフィルターで前記識別光源を効果的に遮断する必要がある。
【0004】
吸収型フィルターのフィルター効果は、材料の厚さと依存し、薄いほど光透過率が良くなり、厚いほど光のフィルター効果が大きくなる。公知の技術において、フィルターの上にあるブルーガラスや染料吸収層などの近赤外線遮断能を有する材料の厚さを増やすか、又は反射防止膜などの光学コーティングの枚数及び膜厚を厚くすることで、フィルター効果を向上させる技術的手段が報告されている。しかしながら、携帯性(例えば、軽い、薄い、短い、小さい)がより重視されるようになるため、材料又はコーティングの厚さを増やすことで光学性能を改善する技術的手段は、既に要求を満たしていない。
【0005】
加えて、コーティングの厚さを増やすことでフィルター効果を高めることができるが、コーティングの厚さ及び複雑さが増加するにつれて、材料の加工性及びプロセスの難しさが劣り、かつ損失率も増加する。その結果、コストが増加し、産業上の利用性の減少を招く。コーティングの厚膜化も画質劣化の低減を引き起こし、高解像度の追求という傾向を満たしていない。
【発明の概要】
【0006】
前述した課題に対して、本開示は、基材層と、前記基材層の上にある近赤外線吸収層とを含むフィルターであって、
前記近赤外線吸収層は銅錯体を含み、前記銅錯体は、銅イオンを供給するために用いられる銅化合物、下記式1で示されるホスホン酸、及び少なくとも1種の式2~式4で示されるリン含有化合物により形成され、
TIFF
2024180374000002.tif
106
67
(式中、R、R
1
、R
2
、R
3
は、それぞれ独立して、置換若しくは無置換のC
1
~C
12
アルキル又は置換若しくは無置換のC
6
~C
12
アリールである。)
前記フィルターの入射光波長930nm~950nmに対するOD値は4超である、フィルター、を提供する。
【0007】
一実施形態において、置換若しくは無置換のC
1
~C
12
アルキルは、メチル、エチル、n-プロピル、イソプロピル、n-ブチル、sec-ブチル、イソブチル、及びtert-ブチルからなる群より選択され、置換若しくは無置換のC
6
~C
12
アリールは、フェニル、ナフチル、及びクロロフェニルからなる群より選択される。
【0008】
一実施形態において、近赤外線吸収層のヘイズは0.4%以下となる。
【0009】
一実施形態において、近赤外線吸収層のX線光電子スペクトルは、結合エネルギー(binding energy)が930電子ボルト(eV)~940電子ボルトである場合、少なくとも1つのメインピークを有する。他の実施形態において、X線光電子スペクトルにおける少なくとも1つのメインピークの1秒あたりのカウント数(counts per second)値は4500以上である。
【0010】
一実施形態において、近赤外線吸収層の厚さは25μm~150μmである。
(【0011】以降は省略されています)
この特許をJ-PlatPat(特許庁公式サイト)で参照する
関連特許
白金科技股分有限公司
フィルター
9か月前
白金科技股分有限公司
光学フィルター
5か月前
白金科技股分有限公司
微小球およびその調製方法
3か月前
白金科技股分有限公司
複合感光構造及びその製造方法
9か月前
白金科技股分有限公司
光学フィルター及びそのマッチングコンポジット層
5か月前
白金科技股分有限公司
紫外線吸収組成物、紫外線吸収樹脂、及びその製造方法
9か月前
個人
立体像表示装置
今日
東レ株式会社
積層フィルム
6日前
東レ株式会社
貼合体の製造方法
今日
東レ株式会社
赤外線遮蔽構成体
今日
アイカ工業株式会社
反射防止フィルム
12日前
日本電気株式会社
光集積回路素子
4日前
スタンレー電気株式会社
照明装置
7日前
住友化学株式会社
偏光板
今日
住友化学株式会社
偏光板
今日
住友化学株式会社
積層体
4日前
日東電工株式会社
調光フィルム
5日前
住友化学株式会社
光学積層体
今日
住友化学株式会社
偏光積層体
今日
旭化成株式会社
成形体
11日前
日本分光株式会社
赤外顕微鏡
11日前
旭化成株式会社
成形体
11日前
日本精機株式会社
ヘッドアップディスプレイ装置
5日前
住友ベークライト株式会社
積層体の製造方法
5日前
キヤノン株式会社
レンズ装置および撮像装置
5日前
キヤノン株式会社
レンズ装置および撮像装置
13日前
キヤノン株式会社
画像表示装置
11日前
レーザーテック株式会社
検査装置及び検査方法
15日前
Orbray株式会社
MEMS光スイッチの制御方法
5日前
キヤノン株式会社
表示装置
18日前
古河電気工業株式会社
光モジュール、光接続構造
5日前
住友化学株式会社
偏光板及び画像表示装置
6日前
TDK株式会社
メタサーフェスレンズ
4日前
日東電工株式会社
積層光学部材及び光学装置
4日前
京セラ株式会社
走査装置及び制御装置
4日前
京セラ株式会社
走査装置及び制御装置
4日前
続きを見る
他の特許を見る