TOP
|
特許
|
意匠
|
商標
特許ウォッチ
Twitter
他の特許を見る
10個以上の画像は省略されています。
公開番号
2025021891
公報種別
公開特許公報(A)
公開日
2025-02-14
出願番号
2023125975
出願日
2023-08-02
発明の名称
臭化水素付加剤およびそれを用いた臭素化合物の製造方法
出願人
公立大学法人大阪
,
東ソー・ファインケム株式会社
代理人
個人
主分類
C07D
233/34 20060101AFI20250206BHJP(有機化学)
要約
【課題】安全に工業的規模にて製造が可能で、且つ、酸素や光に非常に安定で、取扱いや保管が容易な臭化水素付加剤を提供する。
【解決手段】極性溶媒と臭化水素で構成された臭化水素付加剤であり、前記極性溶媒がアミド系非プロトン性極性溶媒である含臭素錯体及びそれを含む臭化水素付加剤、含臭素錯体の製造方法及びこれを用いた含臭素化合物の製造方法を用いる。
【選択図】なし
特許請求の範囲
【請求項1】
極性溶媒と臭化水素で構成される含臭素錯体であり、前記極性溶媒がアミド系非プロトン性極性溶媒から選ばれる少なくとも1種以上である、含臭素錯体。
続きを表示(約 780 文字)
【請求項2】
前記極性溶媒がウレア系非プロトン性極性溶媒から選ばれる少なくとも1種以上である請求項1に記載の含臭素錯体。
【請求項3】
前記極性溶媒がビス(1,3-ジメチル-2-イミダゾリジノン)である、下記一般式(1)
JPEG
2025021891000012.jpg
44
170
で表される請求項1に記載の含臭素錯体。
【請求項4】
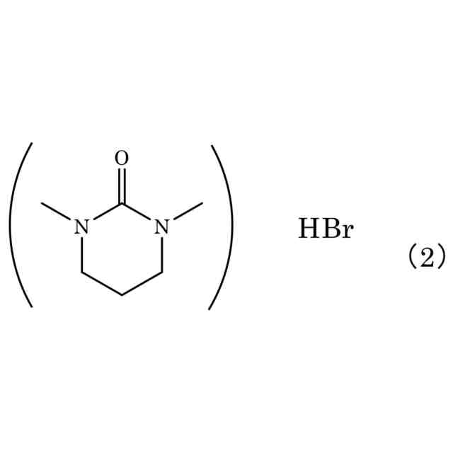
前記極性溶媒がN,N’-ジメチルプロピレン尿素である、下記一般式(2)
JPEG
2025021891000013.jpg
47
170
で表される請求項1に記載の含臭素錯体。
【請求項5】
下記一般式(3)
R
1
-CH=CH-R
2
(3)
(式(3)中、R
1
は置換もしくは無置換のアリール基、R
2
は、置換もしくは無置換のアルキル基、置換もしくは無置換のアリール基、または水素原子を示す。或いはR
1
とR
2
とが互いに結合して環状の化合物となっていても良い。)で表されるオレフィン化合物と、
請求項1~4のいずれか一項に記載の含臭素錯体と、を反応させることを特徴とする、
下記一般式(4)
JPEG
2025021891000014.jpg
45
170
(式(4)中、R
1
及びR
2
は一般式(3)と同じである。)で表される含臭素化合物の製造方法。
【請求項6】
請求項1~4のいずれか一項に記載の含臭素錯体を含む、臭化水素付加剤。
発明の詳細な説明
【技術分野】
【0001】
本発明は、含臭素錯体及び臭化水素付加剤に関する。詳しくは、臭化水素付加剤として用いられる含臭素錯体、それを用いた臭素化合物の製造方法、および当該含臭素錯体を含む臭化水素付加剤に関する。
続きを表示(約 1,100 文字)
【背景技術】
【0002】
有機化合物の臭素化物は、医薬中間体や工業薬品等の合成中間体としてカップリング反応をはじめとする様々な反応に利用できる有用な化合物である。有機化合物の臭素化反応については、古くから多くの方法が知られており、現在もその研究開発は引き続き行われている。
【0003】
臭化水素付加剤として一般的に使用されるものは、臭化水素である。臭化水素は無職の刺激性気体であり腐食性や毒性が高く、取扱には特殊な装置や技術を必要である(例えば非特許文献1参照)。
【0004】
また、前記臭化水素の様態としては臭化水素ガスの他に臭化水素水溶液(臭化水素酸)や臭化水素酢酸溶液等の臭化水素溶液が市販されている。
【0005】
臭化水素酸は無色の液体であるが、保存中に徐々に酸化されて臭素が遊離ししだいに黄色を帯びてくる。この着色は光により促進されることから保存には褐色のガラス瓶を使用する必要がある。
また、前記臭化水素溶液はいずれも臭化水素が時間経過とともに空気放出されるため、定量的な使用の前には溶液中の臭化水素濃度を定量する必要がある。
【先行技術文献】
【非特許文献】
【0006】
「臭素及びヨウ素化合物の有機合成」マナック(株)著、丸善出版、2017年1月30日発行
【発明の概要】
【発明が解決しようとする課題】
【0007】
本発明者らはこれら従来技術に鑑み、安全に工業的規模にて製造が可能であり、且つ、酸素や光に安定で、取扱いや保管が容易な含臭素錯体およびこれを含む臭化水素付加剤を提供することを本発明の目的とする。さらに、この含臭素錯体を含む臭化水素付加剤を用いた、臭素化合物の製造方法を提供することも本発明の目的とする。
【課題を解決するための手段】
【0008】
本発明者らは、鋭意検討を重ねた結果、極性溶媒と臭化水素で構成された含臭素錯体であり、前記極性溶媒がアミド系非プロトン性極性溶媒である含臭素錯体が安全に工業的規模にて製造可能であり、且つ、酸素や光に非常に安定で、取扱や保管が容易であることを見出した。
【0009】
さらにはこの含臭素錯体が、オレフィン化合物への臭化水素付加剤として優れていること、またその反応における使用が極めて安全、且つ容易に行えることを見いだし、本発明を完成させるに至った。
【0010】
即ち、本発明は下記の要旨に係るものである。
(【0011】以降は省略されています)
この特許をJ-PlatPat(特許庁公式サイト)で参照する
関連特許
公立大学法人大阪
硫化物
27日前
公立大学法人大阪
複合粒子
4か月前
公立大学法人大阪
食育システム
3か月前
公立大学法人大阪
タケ由来ミミズ堆肥
1か月前
公立大学法人大阪
Trichoderma属菌
3か月前
公立大学法人大阪
カルボン酸化合物の製造方法
3か月前
公立大学法人大阪
リン化コバルト炭素複合粒子
2か月前
愛三工業株式会社
電力供給装置
20日前
鹿島建設株式会社
空調システム
5日前
公立大学法人大阪
変異型アシル-ACPレダクターゼ
2か月前
三菱ケミカル株式会社
ガス吸着フィルム
27日前
日東電工株式会社
ウレア化合物の製造方法
12日前
公立大学法人大阪
支援システム、支援方法、及び支援プログラム
3か月前
森村金属株式会社
蠕動運動で移動するロボット
1か月前
トヨタ自動車株式会社
活物質、電極合材および電池
4か月前
NTT株式会社
光ファイバの群遅延時間測定システム
18日前
飯田グループホールディングス株式会社
蟻酸生成装置
1か月前
公立大学法人大阪
画像処理装置、画像撮影装置、プログラム及び画像処理方法
20日前
鹿島建設株式会社
帯水層蓄熱システム及び帯水層蓄熱方法
2か月前
学校法人神奈川大学
化合物及びそれを含んでなる発光材料
28日前
国立大学法人 東京大学
皮膚微生物叢を制御するための溶菌剤
3か月前
公立大学法人大阪
3次元表示装置、ヘッドアップディスプレイシステム、及び移動体
3か月前
セイコーエプソン株式会社
処理システム、プログラム及び処理方法
3か月前
信越化学工業株式会社
熱伝導性樹脂組成物、及び高温高熱伝導シート
27日前
飯田グループホールディングス株式会社
蟻酸分解装置及び水素供給システム
5日前
公立大学法人大阪
光ファイバグレーティングデバイスおよび光ファイバグレーティングデバイスの製造方法
4日前
公立大学法人大阪
表面処理装置、表面処理方法、表面被覆樹脂基体の製造方法及び表面被覆フッ素樹脂基体
1か月前
セイコーエプソン株式会社
時系列データ処理方法、学習方法、処理システム及び学習システム
27日前
セイコーエプソン株式会社
時系列データ処理方法、学習方法、処理システム及び学習システム
2か月前
公立大学法人大阪
消化管又は皮膚移植片対宿主病の診断用キット、診断用デバイス、及び罹患の可能性を判断する方法
1か月前
公立大学法人大阪
カプセルタンパク質とその多量体組成物およびそれを用いた医薬組成物
1か月前
国立研究開発法人農業・食品産業技術総合研究機構
湿度制御装置、プログラム、湿度制御システムおよび湿度制御方法
1か月前
東ソー株式会社
タンパク質の発現方法
18日前
東ソー株式会社
炭素-窒素結合形成方法
2か月前
株式会社トクヤマ
四塩化炭素の製造方法
2か月前
株式会社トクヤマ
シロキサン類の回収方法
2か月前
続きを見る
他の特許を見る