TOP
|
特許
|
意匠
|
商標
特許ウォッチ
Twitter
他の特許を見る
10個以上の画像は省略されています。
公開番号
2025081579
公報種別
公開特許公報(A)
公開日
2025-05-27
出願番号
2025026475,2021542955
出願日
2025-02-21,2020-08-26
発明の名称
RNAメチルトランスフェラーゼ阻害剤、そのスクリーニング方法、抗がん剤有効性判定マーカー、及びFTSJ1阻害剤の有効性予測のためのキット
出願人
国立大学法人 岡山大学
,
公益財団法人ふじのくに医療城下町推進機構
代理人
弁理士法人三枝国際特許事務所
主分類
A61K
31/415 20060101AFI20250520BHJP(医学または獣医学;衛生学)
要約
【課題】癌の治療のための、RNAメチルトランスフェラーゼ阻害剤を提供する。
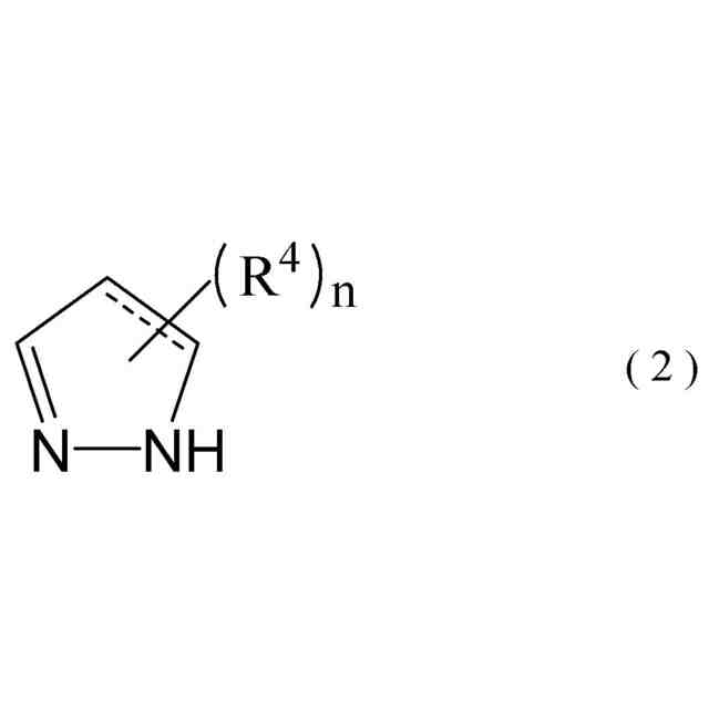
【解決手段】下記一般式(2)で表されるピラゾリン系化合物を含有する、RNAメチルトランスフェラーゼ阻害剤。
<com:Image com:imageContentCategory="Drawing"> <com:ImageFormatCategory>TIFF</com:ImageFormatCategory> <com:FileName>2025081579000112.tif</com:FileName> <com:HeightMeasure com:measureUnitCode="Mm">27</com:HeightMeasure> <com:WidthMeasure com:measureUnitCode="Mm">128</com:WidthMeasure> </com:Image>
〔式(2)中、nは2~4の整数、R
4
は同一又は異なって、フェニル基、フェニルスルホニル基、アルキルカルボニル基、アミノチオカルボニル基、ベンゾジオキソリル基、アルキルスルホニル基、アダマンチルカルボニル基、ベンゾピラジル基等を示し、それらの各基は、更に置換基を有していてもよい。ピラゾール骨格の4位炭素原子と5位炭素原子との結合は、一重結合又は二重結合を示す。或いは、ピラゾリン環を構成する2つの隣接する炭素原子が互いに結合して環を形成してもよい。或いは、ピラゾリン環を構成する窒素原子とそれに隣接する炭素原子とが互いに結合して環を形成してもよい。〕
【選択図】なし
特許請求の範囲
【請求項1】
下記一般式(2)で表されるピラゾリン系化合物を含有する、RNAメチルトランスフェラーゼ阻害剤。
TIFF
2025081579000111.tif
36
170
〔式(2)中、nは2~4の整数を示す。R
4
は同一又は異なって、下記(4-1)~(4-34)の何れかの基を示す。
(4-1) フェニル基、
(4-2) フェニルスルホニル基、
(4-3) アルキルカルボニル基、
(4-4) アミノチオカルボニル基、
(4-5) ベンゾジオキソリル基、
(4-6) アルキルスルホニル基、
(4-7) アダマンチルカルボニル基、
(4-8) ベンゾピラジル基、
(4-9) フェニルカルボニル基、
(4-10) ナフチル基、
(4-11) フリルカルボニル基、
(4-12) チエニルカルボニル基、
(4-13) キナゾリル基、
(4-14) キノキサリル基、
(4-15) 水酸基、
(4-16) アルケニル基、
(4-17) チアゾリル基、
(4-18) シクロアルキルカルボニル基、
(4-19) アミノカルボニル基、
(4-20) フリル基、
(4-21) チエニル基、
(4-22) ピリジル基、
(4-23) シクロアルケニル基、
(4-24) アルキル基、
(4-25) ピラゾリル基、
(4-26) キノリル基、
(4-27) アルケニルカルボニル基、
(4-28) ベンゾピラニル基、
(4-29) ベンゾピリミジル基、
(4-30) ピロリジノアルキルカルボニル基、
(4-31) キノリルカルボニル基、
(4-32) アルコキシカルボニル基、
(4-33) モルホリノ基、
(4-34) ピロリジノカルボニルアルコキシ基、
(4-35) ベンゾジオキシ-6-イル基;
これら(4-1)~(4-35)で示される各基は、更に置換基を有していてもよい。ピラゾール骨格の4位炭素原子と5位炭素原子との結合は、一重結合又は二重結合を示す。或いは、ピラゾリン環を構成する2つの隣接する炭素原子が互いに結合して環を形成してもよい。
或いは、ピラゾリン環を構成する窒素原子とそれに隣接する炭素原子とが互いに結合して環を形成してもよい。〕
続きを表示(約 800 文字)
【請求項2】
前記(4-1) で示されるフェニル基上の置換基は、ハロゲン、アルキル基、ハロアルキル基、アルコキシ基、水酸基、アルキルスルホニルアミノ基、ニトロ基、アミノ基、カルボキシル基及びフェニル基からなる群より選択される少なくとも一種である、請求項1に記載のRNAメチルトランスフェラーゼ阻害剤。
【請求項3】
前記(4-3) で示されるアルキルカルボニル基上の置換基は、フェニルアルキルアミノ基、トリアゾリルチオ基、フェノキシ基、オキサジアゾリルチオ基、エステル基、ピペラジニル基、カルボキシル基、ピリミジニルチオ基、キナゾリルオキシ基、モルホリノカルボニル基、モルホリノ基、ベンゾトリアゾリル基、ピラゾリルカルボニル基、ピリミジル基、ピロリジノ基、ピペリジノ基、テトラヒドロイミダゾリル基、ハロゲン原子、ナフチルオキシ基、アルコキシ基、イミダゾリル基、テトラゾリルチオ基、アルキルアミノ基、ピリジル基、テトラゾリル基、ベンゾジオキソニルオキシ基、アミノカルボニル基、ピペラジニル基、フェニルアルキルチオ基、アルキルカルボニルオキシ基、ベンゾトリアゾリルチオ基、ピリダジニル基、ピロリルカルボニルオキシ基、ピペリジノ基、ジヒドロチアゾリルチオ基、ベンゾピラジル基、チエノピリジノキシ基、チエノピリミジニルチオ基、シクロペンタチエノピリミジニル基、チアジアゾリルチオ基、アゼピニルチオ基、ジオキソロキノリニル基、ジアザスピロノナニル基、イミダゾリジニル基、トリアゾリルチオ基、ジヒドロピリダジニル基及び1,3-ジアザスピロウンデカニル基からなる群より選択される少なくとも一種である、請求項1又は2に記載のRNAメチルトランスフェラーゼ阻害剤。
【請求項4】
癌の治療に用いられる、請求項1~3の何れか1項に記載のRNAメチルトランスフェラーゼ阻害剤。
発明の詳細な説明
【技術分野】
【0001】
本発明は、RNAメチルトランスフェラーゼ阻害剤、そのスクリーニング方法、抗がん剤有効性判定マーカー、及びFTSJ1阻害剤の有効性予測のためのキットに関する。
続きを表示(約 1,100 文字)
【背景技術】
【0002】
例えば抗がん剤の分野において、がん細胞の増殖を抑制することにより腫瘍組織の肥大化等を抑制するという観点から、従来より細胞周期の活性に関連する作用機序を有する抗がん剤が提案されている。
【0003】
しかしながら、がん細胞の中には、細胞周期の極めて長い細胞、又は細胞周期における休止期に入っているような細胞が多く存在する。これらのがん細胞に対し、細胞周期の活性に関連する作用機序を有する従来品の抗がん剤では、その抗がん作用を効率的に発揮することができない。
【発明の概要】
【発明が解決しようとする課題】
【0004】
近年の核酸解析後術の発展に伴い、特定の核酸修飾に基づく翻訳形式が、細胞及びウイルスの機能維持において重要な役割を果たすことが解明されつつある。
【0005】
例えば、がん細胞においては、がん細胞に特異的な翻訳形式が解明されつつあり、かかる翻訳形式が、がん細胞の生存、増殖、転移、幹細胞性維持等の種々の現象において大きな役割を果たしていることが明らかとなりつつあり、RNAメチルトランスフェラーゼ等の細胞の翻訳機能に関与する酵素が注目されている。
【0006】
上記のような事情に鑑み、本発明の目的とするところは、RNAメチルトランスフェラーゼ阻害剤及びそのスクリーニング方法を提供することにある。
【課題を解決するための手段】
【0007】
本発明者らは、上記課題を解決すべく鋭意研究を重ねた結果、下記一般式(1)で表されるスルホンアミド系化合物及び一般式(2)で表されるピラゾリン化合物からなる群より選択される少なくとも一種の化合物が所望のRNAメチルトランスフェラーゼ阻害作用を有していることを見出した。本発明は、このような知見に基づき完成されたものである。
【0008】
即ち、本発明は、以下に示すRNAメチルトランスフェラーゼ阻害剤、新規スルホンアミド系化合物、スクリーニング方法、抗がん剤有効性判定マーカー、及びFTSJ1阻害剤の有効性予測のためのキットを提供する。
【0009】
項1.
下記一般式(1)で表されるスルホンアミド系化合物及び一般式(2)で表されるピラゾリン系化合物からなる群より選ばれる少なくとも一種の化合物を含有する、RNAメチルトランスフェラーゼ阻害剤。
【0010】
JPEG
2025081579000001.jpg
32
169
(【0011】以降は省略されています)
特許ウォッチbot のツイートを見る
この特許をJ-PlatPat(特許庁公式サイト)で参照する
関連特許
国立大学法人 岡山大学
IRE1αのS-ニトロシル化阻害剤およびそのスクリーニング方法
10日前
個人
短下肢装具
2か月前
個人
嚥下鍛錬装置
3か月前
個人
前腕誘導装置
3か月前
個人
排尿補助器具
3日前
個人
矯正椅子
4か月前
個人
バッグ式オムツ
4か月前
個人
アイマスク装置
1か月前
個人
胸骨圧迫補助具
1か月前
個人
ホバーアイロン
6か月前
個人
歯の修復用材料
3か月前
個人
ウォート指圧法
1日前
個人
汚れ防止シート
18日前
個人
哺乳瓶冷まし容器
2か月前
個人
湿布連続貼り機。
2か月前
個人
シャンプー
5か月前
個人
歯の保護用シール
4か月前
個人
陣痛緩和具
3か月前
株式会社大野
骨壷
3か月前
個人
治療用酸化防御装置
1か月前
個人
エア誘導コルセット
1か月前
株式会社八光
剥離吸引管
4か月前
個人
性行為補助具
2か月前
個人
高気圧環境装置
4か月前
株式会社ダリヤ
毛髪化粧料
28日前
株式会社GSユアサ
歩行器
5か月前
株式会社ニデック
検眼装置
3か月前
株式会社ニデック
眼科装置
1か月前
株式会社ニデック
眼科装置
1か月前
個人
手指運動ツール
2か月前
個人
形見の製造方法
4か月前
株式会社ニデック
眼科装置
7日前
個人
シリンダ式歩行補助具
2か月前
個人
精力増強キット
22日前
株式会社ニデック
眼科装置
4か月前
株式会社松風
口腔用組成物
3か月前
続きを見る
他の特許を見る