TOP
|
特許
|
意匠
|
商標
特許ウォッチ
Twitter
他の特許を見る
10個以上の画像は省略されています。
公開番号
2025114234
公報種別
公開特許公報(A)
公開日
2025-08-05
出願番号
2024008804
出願日
2024-01-24
発明の名称
データ処理装置、プログラム及びデータ処理方法
出願人
富士通株式会社
代理人
弁理士法人扶桑国際特許事務所
主分類
G06N
99/00 20190101AFI20250729BHJP(計算;計数)
要約
【課題】組合せ最適化問題の解の探索効率を向上させる。
【解決手段】記憶部11は、2次のコスト項と、複数の制約条件のそれぞれの重みを表す係数により重み付けられた複数の制約項の和である1次のコスト項との和で表される組合せ最適化問題の評価関数の、評価関数情報を記憶し、処理部12は、評価関数情報を記憶部11から取得し、評価関数情報に基づいて組合せ最適化問題の解を探索し、解の探索途中の第1の時点において、上記複数の制約条件のうち制約違反が生じている第1制約条件がある場合、第1制約条件に対応した上記係数の値を増加させ、第1の時点において、上記複数の制約条件が満たされている場合、第1の時点における2次のコスト項の値と、第1の時点より前に得られた評価関数の値との比較結果に基づいて、上記複数の制約条件に対応した上記係数の値を減少させるか維持するかを決定する。
【選択図】図1
特許請求の範囲
【請求項1】
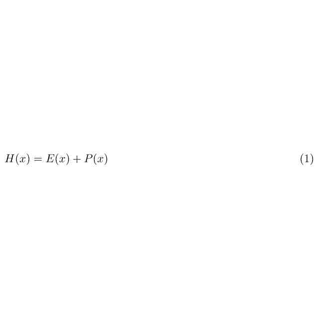
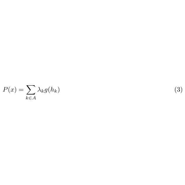
2次のコスト項と、複数の制約条件のそれぞれの重みを表す係数により重み付けられた複数の制約項の和である1次のコスト項との和で表される組合せ最適化問題の評価関数の、評価関数情報を記憶する記憶部と、
前記評価関数情報を前記記憶部から取得し、前記評価関数情報に基づいて前記組合せ最適化問題の解を探索し、前記解の探索途中の第1の時点において、前記複数の制約条件のうち制約違反が生じている第1制約条件がある場合、前記第1制約条件に対応した前記係数の値を増加させ、前記第1の時点において、前記複数の制約条件が満たされている場合、前記第1の時点における前記2次のコスト項の値と、前記第1の時点より前に得られた前記評価関数の値との比較結果に基づいて、前記複数の制約条件に対応した前記係数の値を減少させるか維持するかを決定する処理部と、
を有するデータ処理装置。
続きを表示(約 1,200 文字)
【請求項2】
前記処理部は、前記第1の時点における前記2次のコスト項の値が、前記第1の時点より前に得られた前記評価関数の値のうちの最小値以上であるとき、前記複数の制約条件に対応した前記係数の値を減少させ、前記最小値よりも小さいとき、前記複数の制約条件に対応した前記係数の値を維持する、
請求項1に記載のデータ処理装置。
【請求項3】
前記第1の時点は、前記解の探索処理が所定回数行われるたびに到来する時点である、請求項1に記載のデータ処理装置。
【請求項4】
前記処理部は、前記係数の値を変更した場合、前記係数の値の変化量を用いて前記1次のコスト項の値を補正する、請求項1に記載のデータ処理装置。
【請求項5】
前記処理部は、前記1次のコスト項の値が0の場合、前記複数の制約条件が満たされていると判定し、前記1次のコスト項の値が0より大きい場合、前記複数の制約条件の何れかにおいて制約違反が生じていると判定する、請求項1に記載のデータ処理装置。
【請求項6】
2次のコスト項と、複数の制約条件のそれぞれの重みを表す係数により重み付けられた複数の制約項の和である1次のコスト項との和で表される組合せ最適化問題の評価関数の、評価関数情報を記憶する記憶部から、前記評価関数情報を取得し、
前記評価関数情報に基づいて前記組合せ最適化問題の解を探索し、
前記解の探索途中の第1の時点において、前記複数の制約条件のうち制約違反が生じている第1制約条件がある場合、前記第1制約条件に対応した前記係数の値を増加させ、
前記第1の時点において、前記複数の制約条件が満たされている場合、前記第1の時点における前記2次のコスト項の値と、前記第1の時点より前に得られた前記評価関数の値との比較結果に基づいて、前記複数の制約条件に対応した前記係数の値を減少させるか維持するかを決定する、
処理をコンピュータに実行させるプログラム。
【請求項7】
記憶部が、2次のコスト項と、複数の制約条件のそれぞれの重みを表す係数により重み付けられた複数の制約項の和である1次のコスト項との和で表される組合せ最適化問題の評価関数の、評価関数情報を記憶し、
処理部が、前記評価関数情報を前記記憶部から取得し、
前記処理部が、前記評価関数情報に基づいて前記組合せ最適化問題の解を探索し、
前記処理部が、前記解の探索途中の第1の時点において、前記複数の制約条件のうち制約違反が生じている第1制約条件がある場合、前記第1制約条件に対応した前記係数の値を増加させ、
前記処理部が、前記第1の時点において、前記複数の制約条件が満たされている場合、前記第1の時点における前記2次のコスト項の値と、前記第1の時点より前に得られた前記評価関数の値との比較結果に基づいて、前記複数の制約条件に対応した前記係数の値を減少させるか維持するかを決定する、
データ処理方法。
発明の詳細な説明
【技術分野】
【0001】
本発明は、データ処理装置、プログラム及びデータ処理方法に関する。
続きを表示(約 1,800 文字)
【背景技術】
【0002】
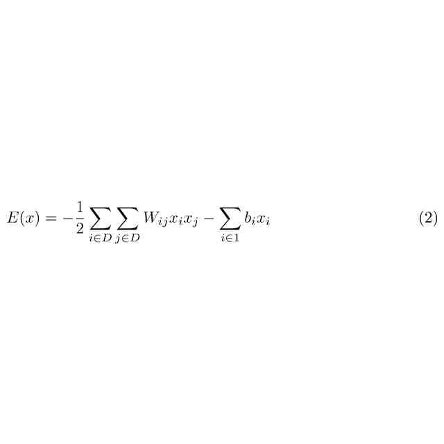
組合せ最適化問題の解を探索する際に、組合せ最適化問題を、磁性体のスピンの振る舞いを表すイジングモデルに変換する手法がある。イジングモデルは、組合せ最適化問題の解を評価するイジング型の評価関数で表される。イジング型の評価関数は、複数の状態変数(イジングモデルの状態を表す)と複数の重み値を含む。イジング型の評価関数では、状態変数は、0か1(または-1か+1)の値を取る2値変数である。状態変数はビットと表記されてもよい。また、イジング型の評価関数の値は、イジングモデルのエネルギーということもできる。
【0003】
解の探索では、マルコフ連鎖モンテカルロ(MCMC:Markov-Chain Monte Carlo)法が用いられる。以下、MCMC法による解の探索をMCMC探索という。MCMC探索では、たとえば、メトロポリス法またはギブス法で規定される状態遷移の受け入れ確率で、状態遷移が受け入れられる。このとき、エネルギーを増加させる状態遷移も確率的に許容される。なお、エネルギーの増加量が大きいほど受け入れ確率は低くなる。MCMC法の一種として、疑似焼き鈍し法やレプリカ交換法がある。このようなMCMC探索では、イジング型の評価関数の値が極小になるイジングモデルの状態の探索が行われる。評価関数の極小値のうちの最小値になる状態が最適解となる。
【0004】
ところで、組合せ最適化問題には解が満たすべき制約条件をもつものがあり、制約条件を考慮した探索を行う手法が提案されている(たとえば、特許文献1~4参照)。制約条件には、不等式制約、等式制約、絶対値制約などがある。制約条件を反映した評価関数は、制約条件違反の有無に応じた値をもつ制約項を含む。制約項は、制約条件の重みを表す係数により重み付けられている。
【先行技術文献】
【特許文献】
【0005】
特開2021-089596号公報
特開2022-047362号公報
米国特許出願公開第2016/0217380号明細書
特開2023-149726号公報
【発明の概要】
【発明が解決しようとする課題】
【0006】
制約条件の重みを表す係数の値が適切でない場合、MCMC探索において、探索効率が悪化する場合がある。たとえば、制約条件の重みを表す係数の値が小さいと、制約条件を満たさない状態(以下制約違反解という)へ遷移する場合のエネルギーの増加量が小さくなる。この場合、制約違反解が生じやすくなり、探索効率が悪化する。逆に上記係数の値が大きいと状態遷移が生じにくくなり、探索効率が悪化する。
【0007】
1つの側面では、本発明は、組合せ最適化問題の解の探索効率を向上可能なデータ処理装置、プログラム及びデータ処理方法を提供することを目的とする。
【課題を解決するための手段】
【0008】
1つの実施態様では、2次のコスト項と、複数の制約条件のそれぞれの重みを表す係数により重み付けられた複数の制約項の和である1次のコスト項との和で表される組合せ最適化問題の評価関数の、評価関数情報を記憶する記憶部と、前記評価関数情報を前記記憶部から取得し、前記評価関数情報に基づいて前記組合せ最適化問題の解を探索し、前記解の探索途中の第1の時点において、前記複数の制約条件のうち制約違反が生じている第1制約条件がある場合、前記第1制約条件に対応した前記係数の値を増加させ、前記第1の時点において、前記複数の制約条件が満たされている場合、前記第1の時点における前記2次のコスト項の値と、前記第1の時点より前に得られた前記評価関数の値との比較結果に基づいて、前記複数の制約条件に対応した前記係数の値を減少させるか維持するかを決定する処理部と、を有するデータ処理装置が提供される。
【0009】
また、1つの実施態様では、プログラムが提供される。
また、1つの実施態様では、データ処理方法が提供される。
【発明の効果】
【0010】
1つの側面では、本発明は、組合せ最適化問題の解の探索効率を向上できる。
【図面の簡単な説明】
(【0011】以降は省略されています)
この特許をJ-PlatPat(特許庁公式サイト)で参照する
関連特許
富士通株式会社
周波数変換器
6日前
富士通株式会社
行列演算回路
3日前
富士通株式会社
冷却装置及び電子機器
3日前
富士通株式会社
演算処理装置及び演算処理方法
14日前
富士通株式会社
通信制御装置及び移動中継装置
今日
富士通株式会社
動的多次元メディアコンテンツ投影
13日前
富士通株式会社
異常予測方法および異常予測プログラム
13日前
富士通株式会社
管理装置、管理方法、および管理プログラム
1日前
富士通株式会社
シストリック型の演算アレイ装置及び制御方法
15日前
富士通株式会社
予測プログラム、予測方法および情報処理装置
15日前
富士通株式会社
交通シミュレーションのための方法および装置
13日前
富士通株式会社
制御プログラム、制御方法、および情報処理装置
1日前
富士通株式会社
演算装置、情報処理装置及び演算装置の制御方法
15日前
富士通株式会社
異常検出プログラム、異常検出方法及び情報処理装置
13日前
富士通株式会社
施策特定プログラム、施策特定方法および情報処理装置
13日前
富士通株式会社
情報処理プログラム、情報処理方法、および情報処理装置
6日前
富士通株式会社
情報処理プログラム、情報処理方法、および情報処理装置
6日前
富士通株式会社
データ生成プログラム、データ生成装置、及びデータ生成方法
1日前
富士通株式会社
量子計算支援プログラム、量子計算支援方法、および情報処理装置
今日
富士通株式会社
量子回路軽量化プログラム、情報処理装置及び量子回路軽量化方法
14日前
NTT株式会社
情報処理システム、情報処理装置および情報処理方法
今日
富士通株式会社
情報処理装置、情報処理方法及びコンピュータ読み取り可能な記憶媒体
3日前
富士通株式会社
シミュレーションプログラム、シミュレーション方法および情報処理装置
13日前
富士通株式会社
シミュレーションプログラム、情報処理装置およびシミュレーション方法
今日
富士通株式会社
衝突リスク予測プログラム、衝突リスク予測方法及び衝突リスク予測装置
15日前
富士通株式会社
量子ビット及び量子演算装置
15日前
富士通株式会社
累積ノイズ除去およびクラスター化探索に基づくグラフ学習説明可能性のグローバル解釈
13日前
富士通株式会社
画像の着色のためのモデルの訓練方法及び装置、画像着色方法及び装置、並びにコンピュータ読み取り可能な記憶媒体
13日前
個人
裁判のAI化
2か月前
個人
フラワーコートA
1か月前
個人
地球保全システム
1日前
個人
工程設計支援装置
1か月前
個人
為替ポイント伊達夢貯
28日前
個人
介護情報提供システム
2か月前
個人
冷凍食品輸出支援構造
28日前
個人
表変換編集支援システム
21日前
続きを見る
他の特許を見る