TOP
|
特許
|
意匠
|
商標
特許ウォッチ
Twitter
他の特許を見る
10個以上の画像は省略されています。
公開番号
2025127975
公報種別
公開特許公報(A)
公開日
2025-09-02
出願番号
2024025015
出願日
2024-02-21
発明の名称
光デバイス及びコヒーレント受信器
出願人
国立大学法人 東京大学
代理人
弁理士法人ドライト国際特許事務所
主分類
H04B
10/61 20130101AFI20250826BHJP(電気通信技術)
要約
【課題】局所光の偏波状態によらず信号光の2つの複素振幅を得るための光検出素子を少なくすることができる光デバイス及びコヒーレント受信器を提供する。
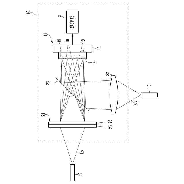
【解決手段】コヒーレント受信器10は、光波変換器21、受光部14、処理部13を備える。光波変換器21は、2枚のメタサーフェス25、26から構成され、入力される局所光Loを5つの分割局所光に変換し、各分割局所光は、信号光Sigと合波されて受光部14の受光面14aに入射する。各分割局所光と信号光Sigとの干渉光を受光面14aに設けた光検出素子19で受光する。メタサーフェス25、26は、局所光Loの偏波状態によらず信号光を復号するための条件を満たすように、各分割局所光に偏波変換と位相変化を与えて互いに異なる偏波状態にする。
【選択図】図1
特許請求の範囲
【請求項1】
Nを5以上の整数とし、n(n=1,2・・・,N)番目の受光位置への信号光の変換ジョーンズ行列をJ
n
、局所光の変換ジョーンズ行列をK
n
として、前記信号光及び前記局所光の少なくとも一方を、条件式(I)を満たすように、偏波変換と位相変化を与えて互いに異なる偏波状態の少なくともN個の変換光に変換する光波変換器を備え、
前記信号光と前記局所光とを、少なくとも前記一方の光を前記変換光としてN個の前記受光位置で干渉させることを特徴とする光デバイス。
TIFF
2025127975000031.tif
21
163
続きを表示(約 1,500 文字)
【請求項2】
前記光波変換器は、メタサーフェスで構成されることを特徴とする請求項1に記載の光デバイス。
【請求項3】
前記光波変換器は、前記一方の光の光路上に配された複数のメタサーフェスであり、前記一方の光のみが入射面上の入射領域に入射されてN個の前記変換光に変換し、
前記信号光及び前記局所光の他方の光と前記変換光とを前記受光位置において干渉させる
ことを特徴とする請求項1に記載の光デバイス。
【請求項4】
前記光波変換器は、2枚の前記メタサーフェスのみから構成されていることを特徴とする請求項3に記載の光デバイス。
【請求項5】
前記光波変換器は、1枚以上のメタサーフェスで構成され、
前記1枚以上のメタサーフェスは、
面内方向にずらした位置から発せられる前記信号光及び前記局所光が入射面上の同じ入射領域に入射し、前記信号光及び前記局所光をそれぞれ少なくともN+1個の変換光に変換し、前記信号光及び前記局所光の各前記変換光が一方向に並ぶように集光するとともに、前記信号光のN個の前記変換光と前記局所光のN個の前記変換光とがN個の前記受光位置で重なるように、前記信号光及び前記局所光の各変換光を前記一方向に相対的にずらして射出する
ことを特徴とする請求項1に記載の光デバイス。
【請求項6】
局所光を複数の分割局所光に分割する分割メタサーフェスを備え、
前記光波変換器は、複数の前記分割局所光の各々が前記局所光として入射するとともに、異なる複数の前記信号光の各々が入射する複数の前記入射領域を有し、前記複数の入射領域に対応するそれぞれN個の前記受光位置が異なるように前記変換光を射出する
ことを特徴とする請求項5に記載の光デバイス。
【請求項7】
Nが5であり、行列H
k
、H
h
(k≠h)の1列目のベクトルをH
k1
、H
h1
としたとき、式(II)で与えられる値Rsの最小値が「-1/4」となることを特徴とする請求項1に記載の光デバイス。
TIFF
2025127975000032.tif
16
163
【請求項8】
前記受光位置にそれぞれ配され干渉光を受光する複数の光検出素子からの光電流同士の差分の取り方を指定する4行N列の行列をC、前記局所光の電界を示すジョーンズベクトルをB、各光電流における前記信号光の電流成分を並べたベクトルをI
S
、光検出素子の感度をR
P
、ベクトルH
n
Bの1番目、2番目の成分を(H
n
B)
1
、(H
n
B)
2
としたときに、5以上のNについて、式(III)で与えられる指標Gが最小化されていることを特徴とする請求項1に記載の光デバイス。
TIFF
2025127975000033.tif
58
163
【請求項9】
前記受光位置にそれぞれ配され干渉光を受光する複数の光検出素子を備える請求項1ないし8のいずれか1項に記載の光デバイス。
【請求項10】
請求項9に記載の光デバイスと、
前記複数の光検出素子の受光結果に基づいて前記信号光についての複素振幅を得る処理部と
を備えることを特徴とするコヒーレント受信器。
発明の詳細な説明
【技術分野】
【0001】
本発明は、光デバイス及びコヒーレント受信器に関するものである。
続きを表示(約 2,700 文字)
【背景技術】
【0002】
コヒーレント受信器では、信号光の2つの複素振幅を検出して信号光に載せた情報を取得する。このコヒーレント受信器では、信号光と局所光とを干渉させて複素振幅を検出する。このようなコヒーレント受信器を用いたコヒーレント光通信では、受信側すなわちコヒーレント受信器に局所光源を持たせた一般的なコヒーレント方式のもの、送信側から信号光とともに局所光を光ファイバで受信側に送るセルフコヒーレント方式のものが知られている。セルフコヒーレント方式では、送信側において信号光と局所光とを同じ光源(例えばレーザ装置)を用いることができ、信号光と局所光の波長チューニングが不要になる等の利点がある。
【0003】
局所光は、偏波状態が固定されている必要がある。このため、セルフコヒーレント方式では、光ファイバでの伝送による局所光の偏波状態の変動をトラッキングして補償する回路を設けたシステムや、偏波保持ファイバを用いて局所光の偏波状態を維持して伝送するシステムが知られている(例えば非特許文献1、2)。また、任意の偏波状態の局所光で動作可能なセルフコヒーレント方式のコヒーレント受信器が知られている(非特許文献3、4)。非特許文献3、4のコヒーレント受信器では、5個または6個のバランス型光検出器が用いられている。
【先行技術文献】
【非特許文献】
【0004】
T. Gui et al., “Real Time 6.4 Tbps (8×800G) SHCD Transmission through 1+8 Multicore Fiber for Co-Packaged Optical-IO Switch Applications,” OFC Post-Deadline Paper, Th4C.1 (2022).
T. Gui et al., “Real-Time Demonstration of 600 Gb/s DP-64QAM Self Homodyne Coherent Bi-Direction Transmission with Un-Cooled DFB Laser,” OFC Post-Deadline Paper, Th4C.3 (2020).
H. Ji et al., “Polarization-diversity receiver using remotely delivered local oscillator without optical polarization control,” Opt. Express, 28(15), 22882-22890 (2020).
H. Ji et al., “Photonic Integrated Self-Coherent Homodyne Receiver Without Optical Polarization Control for Polarization-Multiplexing Short-Reach Optical Interconnects,” J. Light. Technol., 41(3), 911-918 (2023).
【発明の概要】
【発明が解決しようとする課題】
【0005】
ところで、バランス型光検出器は、一対の光検出素子で構成されており、上記非特許文献3、4に記載されるコヒーレント受信器では、10個ないし12個の光検出素子が必要である。
【0006】
本発明は、上記事情を鑑みてなされたものであり、局所光の偏波状態によらず信号光の2つの複素振幅を得るための光検出素子を少なくすることができる光デバイス及びコヒーレント受信器を提供することを目的とする。
【課題を解決するための手段】
【0007】
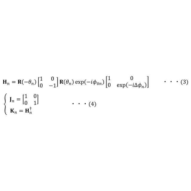
本発明の光デバイスは、Nを5以上の整数とし、n(n=1,2・・・,N)番目の受光位置への信号光の変換ジョーンズ行列をJ
n
、局所光の変換ジョーンズ行列をK
n
として、信号光及び局所光の少なくとも一方を、条件式(I)を満たすように、偏波変換と位相変化を与えて互いに異なる偏波状態の少なくともN個の変換光に変換する光波変換器を備え、信号光と局所光とを、少なくとも一方の光を変換光としてN個の受光位置で干渉させるものである。なお、「
†
」は、エルミート転置を示す。
TIFF
2025127975000002.tif
17
157
【0008】
本発明のコヒーレント受信器は、上記光デバイスと、複数の光検出素子の受光結果に基づいて信号光についての複素振幅を得る処理部とを備えるものである。
【発明の効果】
【0009】
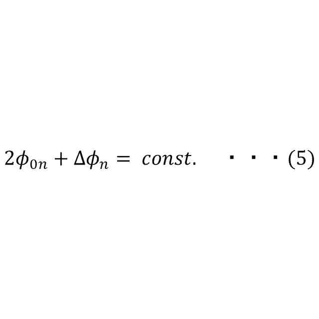
本発明によれば、Nを5以上の整数とし、n(n=1,2・・・,N)番目の受光位置への信号光の変換ジョーンズ行列J
n
と局所光の変換ジョーンズ行列K
n
とから決まる行列H
n
が所定の条件式を満たすように、信号光及び局所光の少なくとも一方に、偏波変換と位相変化を与えて互いに異なる偏波状態に変換して、信号光と局所光とをそれらの少なくとも一方の光を変換光として干渉させるので、その干渉による干渉光を受光するより少ない検出素子で、局所光の偏波状態によらず信号光の2つの複素振幅を得ることが可能になる。
【図面の簡単な説明】
【0010】
第1実施形態のコヒーレント受信器の構成を示す説明図である。
処理部における回路構成の例を示すブロック図である。
メタサーフェスに設けたメタアトムの外観を示す斜視図である。
メタサーフェスにおけるメタアトムの配列を示す説明図である。
光波変換器の機能を示す説明図である。
局所光の偏波状態に対するコヒーレント受信器の感度を示すグラフである。
局所光の偏波状態に対する従来の局所光偏波依存型のコヒーレント受信器の感度を示すグラフである。
1枚のメタサーフェスで構成された光波変換器に信号光と局所光とを入力する第2実施形態のコヒーレント受信器の構成を示す説明図である。
第2実施形態のコヒーレント受信器における光波変換器の機能を示す説明図である。
第3実施形態のコヒーレント受信器の構成を示す説明図である。
【発明を実施するための形態】
(【0011】以降は省略されています)
この特許をJ-PlatPat(特許庁公式サイト)で参照する
関連特許
国立大学法人 東京大学
プロペラ
5か月前
国立大学法人 東京大学
担持金属触媒
16日前
国立大学法人 東京大学
ガス処理方法
2日前
国立大学法人 東京大学
せん妄判定方法
1か月前
国立大学法人 東京大学
化学センサ用基材
4か月前
国立大学法人 東京大学
コンパレータ回路
6日前
国立大学法人東京農工大学
タンクモジュール
6か月前
国立大学法人 東京大学
微粒子分離システム
4か月前
国立大学法人 東京大学
ソフトエクソスーツ
4か月前
国立大学法人 東京大学
てんかんの検出方法
6か月前
国立大学法人 東京大学
振動変換器及び噴霧器
4か月前
国立大学法人 東京大学
超音波モータシステム
1か月前
国立大学法人 東京大学
超音波モータシステム
1か月前
国立大学法人 東京大学
超音波モータシステム
1か月前
国立大学法人 東京大学
光学装置及びレーザー
2か月前
国立大学法人 東京大学
結晶、及びその製造方法
1か月前
国立大学法人 東京大学
粘性の測定装置及び方法
6か月前
AGC株式会社
組成物
3か月前
国立大学法人 東京大学
テラヘルツ帯同期検波回路
1か月前
国立大学法人 東京大学
生分解性ポリマー複合材料
5か月前
国立大学法人 東京大学
推定装置、及びプログラム
17日前
国立大学法人 東京大学
制御装置、および制御方法
6か月前
NTT株式会社
圧力センサ
17日前
国立大学法人 東京大学
消化管幹細胞活性化用組成物
5か月前
国立大学法人 東京大学
嗅覚受容体の応答感度増強剤
2か月前
国立大学法人 東京大学
読出回路及び磁気メモリ装置
16日前
国立大学法人 東京大学
テラヘルツ波帯位相変調回路
1か月前
国立大学法人 東京大学
接着性細胞の浮遊培養用基材
2日前
住友化学株式会社
原子力電池
3か月前
国立大学法人 東京大学
炭酸カルシウム結晶の製造方法
5か月前
国立大学法人 東京大学
ドローンを用いた配送システム
2日前
国立大学法人 東京大学
情報処理装置、及びプログラム
1か月前
国立大学法人 東京大学
搬送トレイおよびワーク作業装置
6か月前
国立大学法人 東京大学
血糖制御能力の推定方法及び装置
6か月前
積水化学工業株式会社
酸素発生剤
27日前
国立大学法人 東京大学
光デバイス及びコヒーレント受信器
1か月前
続きを見る
他の特許を見る