TOP
|
特許
|
意匠
|
商標
特許ウォッチ
Twitter
他の特許を見る
10個以上の画像は省略されています。
公開番号
2025140005
公報種別
公開特許公報(A)
公開日
2025-09-29
出願番号
2024039137
出願日
2024-03-13
発明の名称
舗装材色相設計装置及びプログラム、並びに舗装材製造方法
出願人
日本乾溜工業株式会社
代理人
個人
主分類
E01C
7/30 20060101AFI20250919BHJP(道路,鉄道または橋りょうの建設)
要約
【課題】原料のみによる色味の調整を可能とする舗装材色相設計装置及び舗装材製造方法の提供。
【解決手段】実測された各原料の色相値、並びに各標本配合比により各原料を配合して作られる舗装材の実測された色相値を記憶する色相情報記憶手段と、設計する舗装材の各原料の配合比を入力する配合比入力手段と、色相情報記憶手段に記憶された各原料の色相値、並びに各原料の各標本配合比により作られる舗装材の色相値に基づき、各原料の任意の配合比により作られる舗装材の色相値を推定する色相推定式を生成する色相推定式生成手段と、色相推定式に基づき、配合比入力手段により入力される各原料の配合比により作られる色相値を算出する色相値算出手段と、色相算出手段により算出される色相値を、表示装置に出力する色相出力手段とを備えた。
【選択図】図1
特許請求の範囲
【請求項1】
実測により得られた各舗装材混合原料の色相値、並びに
実際に舗装材として利用可能な前記各舗装材混合原料の配合比の範囲内に於いて設定された配合比の標本点(以下「標本配合比」という。)に対し、前記各標本配合比により前記各舗装材混合原料を配合して作られる舗装材の、実測により得られた色相値を記憶する色相情報記憶手段と、
設計する舗装材の前記各舗装材混合原料の配合比を入力する配合比入力手段と、
前記色相情報記憶手段に記憶された前記各舗装材混合原料の色相値、並びに前記各舗装材混合原料の前記各標本配合比により作られる舗装材の色相値に基づき、前記各舗装材混合原料の任意の配合比により作られる舗装材の色相値を推定する色相推定式を生成する色相推定式生成手段と、
前記色相推定式に基づき、前記配合比入力手段により入力される前記各舗装材混合原料の配合比により作られる色相値を算出する色相値算出手段と、
前記色相算出手段により算出される色相値を、表示装置に出力する色相出力手段と、
を備えたことを特徴とする舗装材色相設計装置。
続きを表示(約 2,100 文字)
【請求項2】
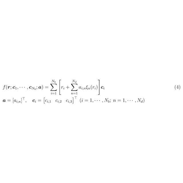
実測により得られた各舗装材混合原料B
i
(i=1,…,N
b
;N
b
は舗装材混合原料の種数)の色相値をc
i
=(c
i,1
,c
i,2
,c
i,3
)、
舗装材を作る際の各舗装材混合原料の配合比をr=(r
1
,…,r
Nb
)(但し、r
i
は舗装材混合原料B
i
の配合比;r
1
+…+r
Nb
=1)、
前記各標本配合比r
k
=(r
1,k
,…,r
Nb,k
)(k=1,…,N
s
;N
s
は標本数)により前記各舗装材混合原料を配合して作られる舗装材の、実測により得られた色相値をc
mix,k
=(c
mix,k,1
,c
mix,k,2
,c
mix,k,3
)
としたとき、
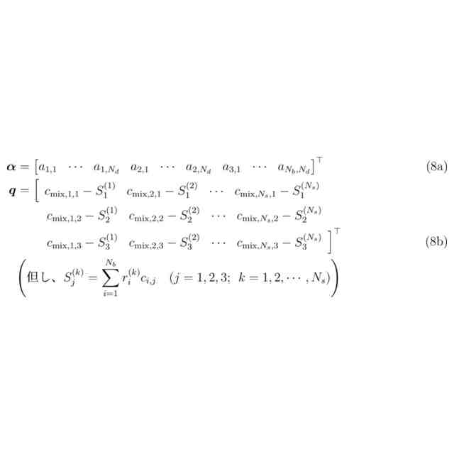
前記色相推定式生成手段は、
スカラー変数xの区間[0,1]で定義され、x=0,1に零点を有し且つ恒等的に0ではないスカラー関数であるN
d
個の所定の基底函数ξ
n
(x)(n=1,…,N
d
)、及び、N
b
×N
d
個の近似パラメータa
i,n
(i=1,…,N
b
;n=1,…,N
d
)、又は、N
b
×N
d
個の近似パラメータ行列A
i,n
(i=1,…,N
b
;n=1,…,N
d
)を用いて、
各舗装材混合原料B
i
(i=1,…,N
b
)の配合比r=(r
1
,…,r
Nb
)から、該配合比rにより作られる舗装材の色相値の推定値c
mix
(r)=(c
mix,1
(r),c
mix,2
(r),c
mix,3
(r))を算出する色相推定式c
mix
【請求項3】
設計する舗装材を適用する施工場所の景観写真又は景観モデルのデータ(以下「施工場所景観データ」という。)を記憶する景観モデル記憶手段と、
前記施工場所景観データ内に於いて、設計する舗装材を適用する適用領域を指定する適用領域指定手段と、
を備え、
前記色相出力手段は、
前記施工場所景観データに基づき表示装置に景観写真又は景観モデルを表示するとともに、前記適用領域指定手段により指定された適用領域を、前記色相値算出手段により算出される色相値により表示するものであること
を特徴とする請求項1記載の舗装材色相設計装置。
【請求項4】
設計する舗装材の色相値を入力する色相値入力手段と、
前記色相推定式に基づき、前記色相値入力手段により入力される設計する舗装材の色相値の色相を生じさせる前記各舗装材混合原料の配合比を逆算出する配合比算出手段と、
前記配合比算出手段により算出される前記各舗装材混合原料の配合比を、表示装置に出力する配合比出力手段と、
を備えたことを特徴とする請求項1記載の舗装材色相設計装置。
【請求項5】
表示装置及び入力装置を備えたコンピュータに読み込ませて実行することにより、前記コンピュータを請求項1乃至4のいずれか一記載の舗装材色相設計装置として機能させることを特徴とするプログラム。
【請求項6】
複数種の砂、竹粉、粘土、及びセメントを舗装材混合原料とし、前記各舗装材混合原料を配合して作られる舗装材を製造する舗装材製造方法であって、
製造する舗装材の各舗装材混合原料の色相値を測定する原料色相値測定工程と、
実際に舗装材として利用可能な前記各舗装材混合原料の配合比の範囲内に於いて、配合比の標本点を設定し、各配合比の標本点に於ける配合比(以下「標本配合比」という。)に基づき前記各舗装材混合原料を配合して標本舗装材を作り、作られた前記各標本舗装材の色相値を測定する舗装材色相値測定工程と、
測定された前記各舗装材混合原料の色相値、及び前記各標本舗装材の色相値を、請求項1又は4記載の舗装材色相設計装置の前記色相情報記憶手段に記憶させる実測色相値設定工程と、
前記舗装材色相設計装置により、製造する舗装材の色相値に対する前記各舗装材混合原料の配合比を算出する配合比算出工程と、
算出された前記各舗装材混合原料の配合比により、前記各舗装材混合原料を配合して舗装材を製造する舗装材製造工程と、
を備えたことを特徴とする舗装材製造方法。
発明の詳細な説明
【技術分野】
【0001】
本発明は、各舗装材混合原料から所望の色相の舗装材を設計するための舗装材色相設計技術に関する。特に、施工現場の景観に合わせた舗装材の色相を設計する舗装材色相設計技術に関する。
続きを表示(約 1,700 文字)
【背景技術】
【0002】
近年、景観面を重視して、天然素材の土,砂等とセメント系結合材とを混合した土系舗装材を使用した土系舗装が、広く用いられている。特に、土壌汚染の防止の観点から、土,砂等の天然素材骨材と、竹等の天然繊維補強材と、セメント系結合材とのみを用いて構成された土系舗装材も開発され、多くの現場で利用されている。このような舗装材としては、例えば、特許文献1~5に記載のものが公知である。
【0003】
特許文献1には、礫分と砂分との合計含有率が80質量%以上の粗土壌(真砂土、山砂もしくはこれらの混合物)と、シルト分と粘土分との合計含有率が25質量%以上の細土壌(黒墨土、畑土もしくはこれらの混合物)とを、質量比で80:20~30:70の範囲で含み、さらに土壌固化材(酸化マグネシウム、酸化カルシウム、ドロマイト焼成物、セメントもしくはこれらの混合物)を含み、さらに、天然繊維補強材(竹チップ、ウッドチップ、葦、藁、棕櫚、麻もしくはこれらの混合物)を土壌固化材1質量部に対して、0.1~1.0質量部の範囲の量にて含む土壌固化物製造用組成物が記載されている。
【0004】
特許文献2には、竹を粉にした竹粉と、肥料成分を含有しない無機物の粉粒体である無肥性鉱物粉粒(シリカとアルミナを主成分とする)と、泥土と、硬化剤(セメント系、石灰系、酸化マグネシウム系、石膏系等から成る材料)と、を混合して成る土壌改良材が記載されている。
【0005】
特許文献3には、コンクリートに天然素材(輪切り断面形状が四角形であって、該四角形における一辺の長さが0.5~2.5mm、前記竹材の全長が20~60mmである竹材)が1.0~2.5容積%混入されて成る補強コンクリートが記載されている。
【0006】
特許文献4には、植物由来の破砕片(ウッドチップ)と接合用の固着材(酸化マグネシウム)を含む舗装材であって、破砕片と固着材を撹拌混合した舗装材を舗装場所に敷設し、固着材と化学反応し固化反応を生じる固着促進物質を溶解した固着促進材(リン酸二水素カリウムを溶解した溶解水)を敷設された舗装材に散布して舗装する、自然由来の破砕片の舗装材およびウッドチップ舗装が記載されている。
【0007】
特許文献5には、
【先行技術文献】
【特許文献】
【0008】
特開2012-041679号公報
特開2004-067909号公報
特開2004-256317号公報
特開2022-028568号公報
特開2002-371504号公報
【発明の概要】
【発明が解決しようとする課題】
【0009】
このような舗装材を用いて施工現場で舗装施工を行う場合、舗装工が施工現場周辺の景観に与える影響がなるべく少なくなるように、舗装材の色味を調整する必要がある。しかしながら、上述のような従来の土系舗装材は色味についての考慮はなされておらず、色味を調整する場合には、別途、舗装材に顔料を混合することにより色味調整が行われていた。しかし、顔料による色味調整では、施工後の長時間が経過すると、顔料の風化により色味が変化するという問題があった。また、顔料自体は天然素材でないケースが殆どであり、風化等により舗装材表面が粉末となって飛散すると、周辺環境に影響を与える場合があるという問題があった。
【0010】
また、顔料を使用せずに舗装材に用いられる舗装材混合原料の配合比の調製のみにより色味の調製を行う場合、最終的にどのような色味になるのかを現場で試行錯誤で調整する必要がある為、施工作業に多大な労力を要するという問題があった。また、出来あがった舗装材の色相が、実際に施工現場でどのような印象を醸し出すのかが、直感的に分かりにくく、結局、施工後に、最初に意図したようなものとなるのかが分からないという問題があった。
(【0011】以降は省略されています)
この特許をJ-PlatPat(特許庁公式サイト)で参照する
関連特許
日本乾溜工業株式会社
舗装材色相設計装置及びプログラム、並びに舗装材製造方法
4日前
日本乾溜工業株式会社
ワイヤーロープ式防護柵に用いる仮設中間支柱およびこれを備えたワイヤーロープ式防護柵
3か月前
個人
折り畳み式標識具
1日前
GX株式会社
仮設防護体
23日前
日本精機株式会社
路面投影装置
1か月前
範多機械株式会社
路面切削機
1か月前
株式会社熊谷組
床版接合構造
4日前
北越消雪機械工業株式会社
消雪装置
1日前
GX株式会社
昇降式仮設防護体
14日前
GX株式会社
仮設防護体連結構造
1か月前
前田工繊株式会社
防護柵
16日前
株式会社熊谷組
床版継手装置、及び、床版
4日前
浅香工業株式会社
レーキ
11日前
中井商工株式会社
橋梁の桁端止水工法
4日前
株式会社トップ
立て看板用スロープおよび立て看板
1か月前
株式会社幸和道路
自走式道路路面標示文字描画車両
22日前
株式会社三共
足場用移動屋根装置及び橋梁用足場
24日前
十武建設株式会社
舗装材吹付け装置、および吹付け施工方法
22日前
株式会社NIPPO
法面機械
14日前
株式会社NIPPO
コンクリートスタッカ
今日
共和ゴム株式会社
床版敷設シール材
28日前
東日本旅客鉄道株式会社
横取り方法
今日
株式会社栗本鐵工所
検査路及びステップ
1か月前
酒井重工業株式会社
振動ローラ
1か月前
株式会社NIPPO
法面作業装置
14日前
株式会社NIPPO
法面作業装置
14日前
株式会社NIPPO
路面切削装置及び路面切削方法
1か月前
五洋建設株式会社
床版部材設置装置及び床版部材の設置方法
22日前
株式会社NIPPO
コンクリート舗装の施工方法
4日前
株式会社NIPPO
半たわみ性舗装及びその施工方法
1か月前
大成建設株式会社
床版接合部の設計方法
4日前
株式会社NIPPO
コンクリート舗装及びその施工方法
4日前
株式会社NIPPO
再生アスファルト混合物の製造方法
1か月前
オリエンタル白石株式会社
床版設置高さ調整機構及び床版取替工法
1か月前
株式会社奥村組
鉄筋コンクリート柱の補強工法
1か月前
株式会社奥村組
鉄筋コンクリート柱の補強工法
1か月前
続きを見る
他の特許を見る