TOP
|
特許
|
意匠
|
商標
特許ウォッチ
Twitter
他の特許を見る
10個以上の画像は省略されています。
公開番号
2025141842
公報種別
公開特許公報(A)
公開日
2025-09-29
出願番号
2025034283
出願日
2025-03-05
発明の名称
二酸化炭素吸収剤用化合物、二酸化炭素吸収剤、二酸化炭素分離方法、二酸化炭素分離回収方法、及び二酸化炭素吸収剤を用いた装置
出願人
日本化学工業株式会社
代理人
弁理士法人あしたば国際特許事務所
主分類
B01J
20/22 20060101AFI20250919BHJP(物理的または化学的方法または装置一般)
要約
【課題】二酸化炭素の吸収性能に優れた二酸化炭素吸収剤を提供すること。
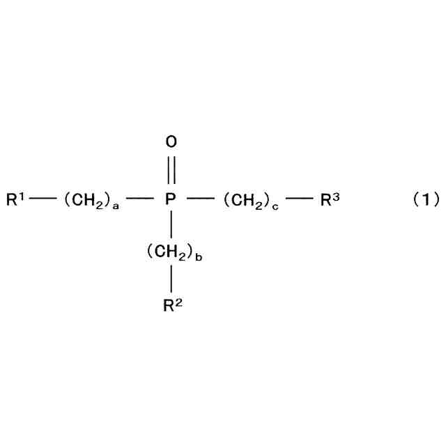
【解決手段】下記一般式(1):
【化1】
<com:Image com:imageContentCategory="Drawing"> <com:ImageFormatCategory>TIFF</com:ImageFormatCategory> <com:FileName>2025141842000013.tif</com:FileName> <com:HeightMeasure com:measureUnitCode="Mm">48</com:HeightMeasure> <com:WidthMeasure com:measureUnitCode="Mm">170</com:WidthMeasure> </com:Image> (式中、a、b及びcは1以上10以下の整数を表し、R
1
、R
2
及びR
3
は、それぞれ独立してアミノ基又はヒドロキシ基を表し、R
1
、R
2
及びR
3
の少なくとも1つがアミノ基である。)
で表されるホスフィンオキシド化合物であることを特徴とする二酸化炭素吸収剤用化合物。
【選択図】なし
特許請求の範囲
【請求項1】
下記一般式(1):
TIFF
2025141842000012.tif
48
170
(式中、a、b及びcは1以上10以下の整数を表し、R
1
、R
2
及びR
3
は、それぞれ独立してアミノ基又はヒドロキシ基を表し、R
1
、R
2
及びR
3
の少なくとも1つがアミノ基である。)
で表されるホスフィンオキシド化合物であることを特徴とする二酸化炭素吸収剤用化合物。
続きを表示(約 1,100 文字)
【請求項2】
一般式(1)の式中、R
1
、R
2
及びR
3
がいずれもアミノ基であることを特徴とする請求項1記載の二酸化炭素吸収剤用化合物。
【請求項3】
請求項1記載の二酸化炭素吸収剤用化合物を含むことを特徴とする二酸化炭素吸収剤。
【請求項4】
多孔質担体と、該多孔質担体に担持されている請求項1記載の二酸化炭素吸収剤用化合物と、からなることを特徴とする請求項3記載の二酸化炭素吸収剤。
【請求項5】
前記多孔質担体が、活性炭、シリカゲル、層状珪酸塩、メソポーラスシリカ、ゼオライト、バーミキュライト、モレキュラーシーブ、多孔質シリカ、珪藻土、多孔性樹脂、多孔性繊維、多孔性金属有機構造体、多孔質アルミナ、多孔質セラミック、ポーラスコンクリート、活性白土、粘土鉱物又はこれらの複合体であることを特徴とする請求項4記載の二酸化炭素吸収剤。
【請求項6】
請求項3記載の二酸化炭素吸収剤に、二酸化炭素を含む混合ガスを接触させて、該二酸化炭素吸収剤に、該混合ガス中の二酸化炭素を吸収させることにより、該混合ガスから二酸化炭素を分離する二酸化炭素分離工程を有することを特徴とする二酸化炭素分離方法。
【請求項7】
請求項3記載の二酸化炭素吸収剤に、二酸化炭素を含む混合ガスを接触させて、該二酸化炭素吸収剤に、該混合ガス中の二酸化炭素を吸収させることにより、該混合ガスから二酸化炭素を分離する二酸化炭素分離工程と、
該二酸化炭素分離工程で二酸化炭素を吸収した二酸化炭素吸収剤を、50℃以上150℃以下の温度で加熱して、該二酸化炭素を吸収した二酸化炭素吸収剤から二酸化炭素を脱離させることにより、該二酸化炭素吸収剤を再生させると共に、脱離させた二酸化炭素を回収する二酸化炭素回収工程と、
を有することを特徴とする二酸化炭素分離回収方法。
【請求項8】
前記二酸化炭素回収工程を行い得られる再生二酸化炭素吸収剤を、前記二酸化炭素分離工程において前記二酸化炭素を含む混合ガスを接触させる前記二酸化炭素吸収剤として用いることにより、前記二酸化炭素分離工程及び前記二酸化炭素回収工程を、2回以上繰り返し行うことを特徴とする請求項7記載の二酸化炭素分離回収方法。
【請求項9】
請求項3記載の二酸化炭素吸収剤が用いられていることを特徴とする装置。
【請求項10】
装置が、発電所、工場又は輸送用機器において使用されるものであることを特徴とする請求項9記載の装置。
(【請求項11】以降は省略されています)
発明の詳細な説明
【技術分野】
【0001】
本発明は、二酸化炭素吸収剤用化合物、二酸化炭素吸収剤、二酸化炭素分離方法、二酸化炭素分離回収方法、及び二酸化炭素吸収剤を用いた装置に関する。
続きを表示(約 1,300 文字)
【背景技術】
【0002】
近年、産業活動による石油、石炭などの化石燃料の消費増大や森林の伐採により、大気中の二酸化炭素やメタンといった温室効果ガスの濃度が増加し続けており、地球規模で気温が上昇する地球温暖化が進行している。このまま温暖化が進行すると、地表の砂漠化や海面の上昇、生態系の変化など、様々な面で深刻な影響が現れると考えられている。
【0003】
このような中、地球温暖化を防ぐために、温室効果ガス削減を目的として二酸化炭素排出を抑制すると共に、二酸化炭素を回収する技術が注目されている。二酸化炭素を回収する技術としては、化学吸収法、物理吸収法、固体吸収法、膜分離法等があるが、幅広い濃度に対応できる方法として、主に化学吸収法が使用されている。この化学吸収法は、二酸化炭素を化学反応によって液体に吸収させ、その吸収液を加熱することにより二酸化炭素を放出させて回収するものである。
【0004】
二酸化炭素を吸収させる際に使用する液体として、例えば、特許文献1では、カチオンに1以上の1級又は2級アミノ基、及びエチレンジアミン又はプロピレンジアミン骨格を有するアミニウムを有するイオン液体が開示されている。
【先行技術文献】
【特許文献】
【0005】
特開2016-10760号公報
【発明の概要】
【発明が解決しようとする課題】
【0006】
前記特許文献1に記載の二酸化炭素吸収剤は、室温で多量の二酸化炭素を吸収することができるものの、二酸化炭素の吸収性能には更なる改善の余地がある。
【0007】
従って、本発明の目的は、二酸化炭素の吸収性能に優れる二酸化炭素吸収剤用化合物及び二酸化炭素吸収剤、更に上記二酸化炭素の吸収性能に加え、吸収剤を再生する際に二酸化炭素を容易に脱離させることができる二酸化炭素吸収剤、その二酸化炭素吸収剤を使用した二酸化炭素分離方法、二酸化炭素分離回収方法、及びその二酸化炭素吸収剤を用いた装置を提供することにある。
【課題を解決するための手段】
【0008】
本発明者らは、上記実情に鑑み鋭意研究を重ねた結果、下記一般式(1)で表されるホスフィンオキシド化合物は、従来よりも二酸化炭素の吸収性能に優れ、更に該二酸化炭素吸収剤を再生する際に二酸化炭素を容易に脱離させることができること等を見出し、本発明を完成するに至った。
【0009】
TIFF
2025141842000001.tif
48
170
【0010】
(式中、a、b及びcは1以上10以下の整数を表し、R
1
、R
2
及びR
3
は、それぞれ独立してアミノ基又はヒドロキシ基を表し、R
1
、R
2
及びR
3
の少なくとも1つがアミノ基である。)
(【0011】以降は省略されています)
この特許をJ-PlatPat(特許庁公式サイト)で参照する
関連特許
日本化学工業株式会社
湿式粉砕方法
2日前
日本化学工業株式会社
リン酸コバルトリチウムの製造方法
14日前
日本化学工業株式会社
コアシェル型負熱膨張材およびその製造方法
6日前
日本化学工業株式会社
アダマンチル基を有するフェロセン系ホスフィン誘導体及びその製造方法
28日前
日本化学工業株式会社
二酸化炭素吸収剤用化合物、二酸化炭素吸収剤、二酸化炭素分離方法、二酸化炭素分離回収方法、及び二酸化炭素吸収剤を用いた装置
2日前
株式会社ニクニ
液体処理装置
12日前
株式会社大善
濃縮脱水機
22日前
日本化薬株式会社
メタノール改質触媒
13日前
三機工業株式会社
ろ過装置
1か月前
株式会社カネカ
製造システム
29日前
株式会社カネカ
濃縮システム
1か月前
テルモ株式会社
ろ過デバイス
23日前
株式会社MRT
微細バブル発生装置
2日前
株式会社笹山工業所
濁水処理システム
2日前
個人
攪拌装置
2日前
株式会社切川物産
撹拌混合装置
26日前
日本ソリッド株式会社
水中懸濁物質付着素材
21日前
株式会社Tornada
気泡発生装置
29日前
東京理化器械株式会社
クリップ
6日前
ヤマシンフィルタ株式会社
フィルタ装置
20日前
ヤマシンフィルタ株式会社
フィルタ装置
今日
ノリタケ株式会社
ガス吸収シート
13日前
ダイハツ工業株式会社
二酸化炭素分解装置
21日前
杉山重工株式会社
回転円筒型反応装置
2日前
浙江漢信科技有限公司
攪拌装置
27日前
株式会社福島県南環境衛生センター
処理装置
28日前
中外炉工業株式会社
ガス発生装置及び窒化装置
22日前
東レ株式会社
多孔中実繊維、繊維束および浄化カラム
21日前
本田技研工業株式会社
二酸化炭素回収装置
今日
個人
生分解性蓄熱マイクロカプセルおよびその製造方法
21日前
本田技研工業株式会社
二酸化炭素回収装置
今日
本田技研工業株式会社
二酸化炭素回収装置
今日
靜甲株式会社
高圧損発生ユニット並びに充填装置
20日前
本田技研工業株式会社
分離システム
2日前
株式会社インパクト
消臭剤又は消臭紙の製造方法
5日前
個人
廃液を加速回収し浄化する蒸留機の構造
1か月前
続きを見る
他の特許を見る