TOP
|
特許
|
意匠
|
商標
特許ウォッチ
Twitter
他の特許を見る
10個以上の画像は省略されています。
公開番号
2025148557
公報種別
公開特許公報(A)
公開日
2025-10-07
出願番号
2025120918,2021567563
出願日
2025-07-18,2020-12-23
発明の名称
1,3-ブチレングリコール製品
出願人
株式会社ダイセル
代理人
弁理士法人G-chemical
主分類
C07C
31/20 20060101AFI20250930BHJP(有機化学)
要約
【課題】無色・無臭(又は、ほぼ無色・無臭)であって、経時により着色や臭気が発生したり増大することが起きにくい、高純度の1,3-ブチレングリコール製品を得る。
【解決手段】1,3-ブチレングリコールを含む1,3-ブチレングリコール製品であって、アセトアルデヒド、クロトンアルデヒド、メチルビニルケトン、アセトン、ホルムアルデヒド、ブチルアルデヒド、アセトアルドール、1-ヒドロキシ-3-ブタノン、2-ブタノール、特定の1,3-ジオキサン誘導体及び特定の1,3-ブチレングリコールのモノエステルの含有量の総和が65ppm未満である1,3-ブチレングリコール製品。
【選択図】なし
特許請求の範囲
【請求項1】
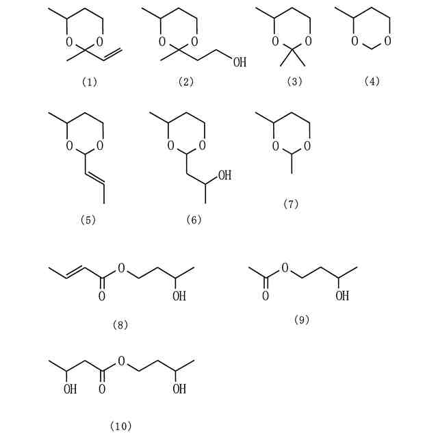
1,3-ブチレングリコールを含む1,3-ブチレングリコール製品であって、アセトアルデヒド、クロトンアルデヒド、メチルビニルケトン、アセトン、ホルムアルデヒド、ブチルアルデヒド、アセトアルドール、1-ヒドロキシ-3-ブタノン、2-ブタノール、下記式(1)で表される化合物、下記式(2)で表される化合物、下記式(3)で表される化合物、下記式(4)で表される化合物、下記式(5)で表される化合物、下記式(6)で表される化合物、下記式(7)で表される化合物、下記式(8)で表される化合物、下記式(9)で表される化合物及び下記式(10)で表される化合物の含有量の総和が65ppm未満である1,3-ブチレングリコール製品。
TIFF
2025148557000008.tif
163
163
続きを表示(約 760 文字)
【請求項2】
空気雰囲気下、180℃で3時間保持した後の、アセトアルデヒド、クロトンアルデヒド、メチルビニルケトン、アセトン、ホルムアルデヒド、ブチルアルデヒド、アセトアルドール、1-ヒドロキシ-3-ブタノン、2-ブタノール、前記式(1)で表される化合物、前記式(2)で表される化合物、前記式(3)で表される化合物、前記式(4)で表される化合物、前記式(5)で表される化合物、前記式(6)で表される化合物、前記式(7)で表される化合物、前記式(8)で表される化合物、前記式(9)で表される化合物及び前記式(10)で表される化合物の含有量の総和が70ppm未満である、請求項1記載の1,3-ブチレングリコール製品。
【請求項3】
前記式(1)で表される化合物、前記式(2)で表される化合物、前記式(3)で表される化合物、前記式(4)で表される化合物、前記式(5)で表される化合物、前記式(6)で表される化合物及び前記式(7)で表される化合物の含有量の総和が28ppm未満である、請求項1又は2記載の1,3-ブチレングリコール製品。
【請求項4】
空気雰囲気下、180℃で3時間保持した後の、前記式(1)で表される化合物、前記式(2)で表される化合物、前記式(3)で表される化合物、前記式(4)で表される化合物、前記式(5)で表される化合物、前記式(6)で表される化合物及び前記式(7)で表される化合物の含有量の総和が40ppm未満である、請求項1~3のいずれか1項に記載の1,3-ブチレングリコール製品。
【請求項5】
請求項1~4のいずれか1項に記載の1,3-ブチレングリコール製品を含む保湿剤。
【請求項6】
請求項5記載の保湿剤を含む化粧料。
発明の詳細な説明
【技術分野】
【0001】
本開示は1,3-ブチレングリコール製品に関する。本願は、2019年12月28日に日本に出願した特願2019-239974、特願2019-239975、特願2019-239976、特願2019-239977、特願2019-239978及び特願2019-239979、2020年1月20日に日本に出願した特願2020-006660、並びに2020年2月6日に日本に出願した特願2020-018910の優先権を主張し、その内容をここに援用する。
続きを表示(約 2,900 文字)
【背景技術】
【0002】
1,3-ブチレングリコールは無色透明、無臭の液体であり、低揮発性、低毒性、高吸湿性等の性質を備え、化学的安定性に優れる。このため、1,3-ブチレングリコールの用途は各種の合成樹脂、界面活性剤の原料をはじめ、化粧品、吸湿剤、高沸点溶剤、不凍液の素材等の多岐にわたっている。特に近年では、1,3-ブチレングリコールは保湿剤として優れた性質を有することが注目されており、化粧品業界での需要が拡大している。
【0003】
従来の製造方法で得られる1,3-ブチレングリコールは、水を含有した状態に長期間置くと酸濃度(酸性度)が上昇するという問題があった。酸濃度が上昇する原因は定かではなかったが、粗1,3-ブチレングリコールに含まれる副産物に関係すると考えられていた。化粧品は水を含むことが一般的であり、製造から一般消費者が実際に使用するまでに長い期間を要する。また、化粧品は保存安定性等の観点から液性が厳密に調整されている。従来の方法で得られた1,3-ブチレングリコールを化粧品に使用する場合、酸濃度の上昇により化粧品の液性バランスが崩れ、本来発揮されるべき効果が失われる可能性がある。また、化粧品の酸濃度の上昇により、使用者の肌荒れ等が発生する可能性もある。また、水を含まない化粧品であっても、使用時や保管時に吸湿することにより、その酸濃度が上昇することもあった。このため、粗1,3-ブチレングリコールから副産物を除去し、1,3-ブチレングリコールを高純度化することが求められていた。
【0004】
また、従来の製造方法で得られる1,3-ブチレングリコールは、副産物の影響により臭気を有することがあった。また、製造直後には透明なものであっても経時により着色が生じることもあり、長期間貯蔵する際に問題となっていた。例えば、化粧品を使用する際や使用後の保管時は、その化粧品は空気にさらされることになる。また、化粧品を製造する際は、空気雰囲気下で作業が行われることが一般的であり、さらに滅菌等の目的で加熱することもある。従来の方法で得られた1,3-ブチレングリコールを化粧品に使用する場合、空気の存在や加熱の影響により着色が進行することがあった。この様な問題を解決するため、粗1,3-ブチレングリコールから副産物を除去し、1,3-ブチレングリコールを高純度化することが求められていた。
【0005】
純度の高い1,3-ブチレングリコールを得る方法として、アセトアルドール類の水素還元により得られた粗1,3-ブチレングリコールに対し、苛性ソーダを添加して蒸留を行う方法が提案されている。また、高沸点物を除いた粗1,3-ブチレングリコールにアルカリ金属塩基を添加して加熱処理した後、1,3-ブチレングリコールを留出させアルカリ金属化合物及び高沸点物を残渣として分離し、続いて1,3-ブチレングリコール留分から低沸点物を留去する方法等が提案されている(特許文献1~6)。このように、純度の高い1,3-ブチレングリコールを得るために様々な1,3-ブチレングリコールの精製方法が提案されてきた。
【先行技術文献】
【特許文献】
【0006】
特開平7-258129号公報
国際公開第00/07969号
特開2001-213822号公報
特開2001-213824号公報
特開2001-213825号公報
特開2001-213828号公報
【発明の概要】
【発明が解決しようとする課題】
【0007】
しかしながら、これらの精製方法から得られる1,3-ブチレングリコール製品も依然として副産物が含まれており、臭気を有するという問題、製造直後には臭気が無くても経時により臭気が生じるという問題、水を含むと経時により酸濃度が上昇するという問題、着色という問題、経時により着色が増大するという問題があった。
【0008】
1,3-ブチレングリコールは、例えば、(1)アセトアルドール類の還元(水添)、(2)1,3-ブチレンオキサイドの加水分解、(3)エリスリトールの選択的水素化分解、(4)ブタジエンへの選択的水付加、(5)n-ブタナール-3-オンの水素化、(6)1-ブタノール-3-オンの水素化、(7)3-ヒドロキシ-1-ブタン酸の水素化、(8)β-ブチロラクトンの水素化、(9)ジケテンの水素化などの方法により製造される。
【0009】
上記の製造方法のうち、(1)アセトアルドール類の還元(水添)により1,3ーブチレングリコールを得る方法が好ましい。なかでも、収率の点で、アセトアルドール類を液相で還元する方法が好ましい。その理由は、アセトアルドール類が高沸点であることと、アセトアルドール類が熱に不安定であって、高温では容易に脱水反応を起こしてクロトンアルデヒド等になること、さらに、高温における脱水反応と還元反応(水添反応)は前者の反応速度が速いこと等にある。すなわち、アセトアルドール類を気相還元する場合には反応系内を高温とする必要があるが、アセトアルドール類を高温に付すと脱水反応を起こしてクロトンアルデヒド等が生じ、その後の還元反応によりブタノール等の副産物が生じる。このため、目的とする1,3-ブチレングリコールの収率が相対的に低下することとなる。したがって、高純度の1,3-ブチレングリコール製品を得るためには、気相還元よりも液相還元を行うことが好ましい。
【0010】
1,3-ブチレングリコールを製造する場合、一般にその製造過程において副産物が産生する。例えば、アセトアルドール類の水素還元により1,3-ブチレングリコールを製造する場合、アセトアルデヒド、ブチルアルデヒド、クロトンアルデヒド、アセトン、メチルビニルケトン等の不飽和結合を有する低沸点物(低沸点化合物)や、これらの縮合物(例えば、アセトアルデヒドの三量体)、前記縮合物の水素化物、1,3-ブチレングリコールと上記低沸点物との縮合物(例えば、1,3-ブチレングリコールとアセトアルドールとのアセタール体)等が副生する。また、クロトンアルデヒドと1,3-ブチレングリコールのアセタール体、アセトアルデヒドと1,3-ブチレングリコールとのアセタール体、アセトアルドールやアセトアルデヒドとアセトアルデヒドの三量体の水素化物とのアセタール体等が副生する。また、他にも、原料となるアセトアルドール類に不純物として含まれる酢酸や、アセトアルドール類の製造において使用した苛性ソーダを中和するために使用される酢酸と、1,3-ブチレングリコールの縮合物(酢酸と1,3-ブチレングリコールとのエステル体)が副生する。そして、これらの副産物は着色原因物質や臭気原因物質、さらには酸性原因物質としての性質を有し得る。
(【0011】以降は省略されています)
この特許をJ-PlatPat(特許庁公式サイト)で参照する
関連特許
国立研究開発法人理化学研究所
アーバスキュラー菌根菌の生産方法
3日前
東ソー株式会社
タンパク質の発現方法
29日前
東ソー株式会社
炭素-窒素結合形成方法
3か月前
株式会社トクヤマ
四塩化炭素の製造方法
3か月前
株式会社トクヤマ
シロキサン類の回収方法
3か月前
株式会社トクヤマ
ビオチン誘導体の製造方法
2か月前
株式会社半導体エネルギー研究所
有機化合物
2か月前
栗田工業株式会社
ギ酸の回収方法
11日前
東ソー株式会社
イソシアネート化合物の製造方法
1か月前
株式会社トクヤマ
チオラクトン誘導体の製造方法
19日前
株式会社コスモス
液状炭化水素の増産方法
2か月前
株式会社コスモス
液状炭化水素の増産方法
2か月前
株式会社トクヤマ
ベンザゼピン化合物の製造方法
2か月前
株式会社トクヤマ
ホルムアミド化合物の製造方法
2か月前
日本特殊陶業株式会社
メタン製造装置
4か月前
信越化学工業株式会社
新規化合物
3か月前
artience株式会社
四塩基酸無水物の製造方法
3か月前
日産化学株式会社
ピラゾール化合物及び有害生物防除剤
3か月前
日産化学株式会社
ピラゾール化合物及び有害生物防除剤
2か月前
三菱ケミカル株式会社
アルコールの製造方法
1か月前
株式会社トクヤマ
サフィナミド若しくはその塩の製造方法
3か月前
大阪瓦斯株式会社
メタン製造システム
15日前
国立大学法人東京農工大学
深共晶溶媒
2か月前
本田技研工業株式会社
CO2変換方法
15日前
JNC株式会社
有機ケイ素化合物およびこれを用いた重合体
1か月前
キヤノン株式会社
有機化合物及び有機発光素子
4か月前
旭化成株式会社
トリオキサンの製造方法
3か月前
キヤノン株式会社
有機化合物及び有機発光素子
19日前
東ソー株式会社
免疫グロブリン結合性タンパク質の保存溶液
3か月前
株式会社トクヤマ
アシル化ベンゼン誘導体の酸塩の製造方法
2か月前
JNC株式会社
有機ケイ素化合物およびこれを用いた重合体
2か月前
東ソー株式会社
免疫グロブリン結合性タンパク質の製造方法
29日前
キヤノン株式会社
有機金属錯体及び有機発光素子
15日前
個人
IL-17産生誘導能を有する化合物及びその用途
16日前
株式会社半導体エネルギー研究所
有機金属錯体、発光デバイス
2か月前
国立大学法人京都大学
抗がん剤
1か月前
続きを見る
他の特許を見る