TOP
|
特許
|
意匠
|
商標
特許ウォッチ
Twitter
他の特許を見る
10個以上の画像は省略されています。
公開番号
2025156124
公報種別
公開特許公報(A)
公開日
2025-10-14
出願番号
2025050959
出願日
2025-03-26
発明の名称
ユウロピウム錯体含有細胞賦活用組成物
出願人
東ソー株式会社
代理人
主分類
A61K
8/49 20060101AFI20251006BHJP(医学または獣医学;衛生学)
要約
【課題】
細胞賦活能に優れ、製品応用に適した意匠性を有する細胞賦活用組成物を提供する。
【解決手段】
樹脂材料、無機ガラス、液体材料及び有機低分子材料の群から選ばれる1以上、並びに、波長350nmにおけるモル吸光係数が10000L・mol
-1
・cm
-1
以上であるユウロピウム錯体、を含む、ユウロピウム錯体含有細胞賦活用組成物。
【選択図】 図1
特許請求の範囲
【請求項1】
樹脂材料、無機ガラス、液体材料及び有機低分子材料の群から選ばれる1以上、並びに、波長350nmにおけるモル吸光係数が10000L・mol
-1
・cm
-1
以上であるユウロピウム錯体、を含む、ユウロピウム錯体含有細胞賦活用組成物。
続きを表示(約 1,700 文字)
【請求項2】
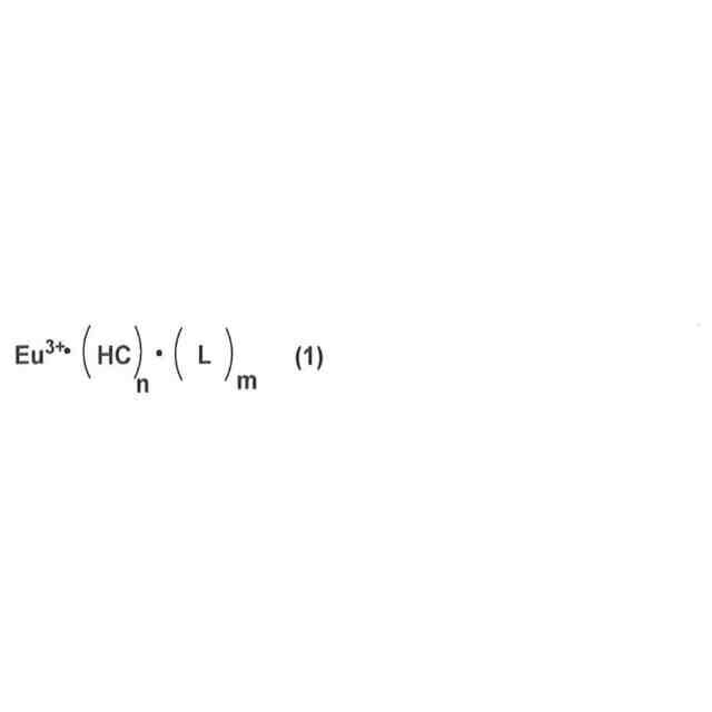
前記ユウロピウム錯体が、一般式(1)で表されるユウロピウム錯体である、請求項1に記載のユウロピウム錯体含有細胞賦活用組成物。
JPEG
2025156124000036.jpg
16
131
{HCは一般式(1dk)、一般式(1qu)、又は、一般式(1cu)で表される配位子である。
JPEG
2025156124000037.jpg
30
143
[式中、Vは、各々独立に、炭素数1~6のアルキル基、炭素数1~6のフルオロアルキル基、水素原子、炭素数6~22のアリール基、又は、チエニル基を表す。]
JPEG
2025156124000038.jpg
42
148
[式中、R
A
は、炭素数1~6のフルオロアルキル基、炭素数6~22のアリール基、又は、炭素数3~20のヘテロアリール基を表す。
R
B1
、R
B2
、R
B3
、R
B4
及びR
B5
は、各々独立に、水素原子、炭素数1~10のアルキル基又は炭素数3~10のシクロアルキル基を表す。
また、R
B1
、R
B2
、R
B3
及びR
B4
のうち、隣接する二つの置換基は結合するベンゼン環と一体となって5員、6員又は7員環を形成していてもよい。]
JPEG
2025156124000039.jpg
44
138
[式中、R
A
は、一般式(1qu)のR
A
と同じ意味を表す。
R
C1
、R
C2
、R
C3
及びR
C4
は、各々独立に、水素原子、炭素数1~10のアルキル基又は炭素数3~10のシクロアルキル基を表す。
また、置換基R
C1
、R
C2
、R
C3
及びR
C4
のうち、隣接する二つの置換基は結合するベンゼン環と一体となって5員環、6員環又は7員環を形成していてもよい。]
nは1、2又は3を表す。nが2又は3のとき、配位子は同一又は相異なっていてもよい。
Lは、非共有電子対をもつ窒素原子を2個以上有する含窒素配位子又はホスフィンオキシド配位子を表す。
mは0、1又は2を表す。mが2のとき、Lは同一又は相異なってもよい。}
【請求項3】
上記nが、3である、請求項1又は請求項2に記載のユウロピウム錯体含有細胞賦活用組成物。
【請求項4】
上記ユウロピウム錯体が、下記式(1-1)乃至(1―63)のいずれかで表されるユウロピウム錯体である、請求項1に記載のユウロピウム錯体含有細胞賦活用組成物。
JPEG
2025156124000040.jpg
226
160
JPEG
2025156124000041.jpg
228
158
JPEG
2025156124000042.jpg
190
164
【請求項5】
樹脂材料、無機ガラス及び有機低分子材料の群から選ばれる1以上並びに上記ユウロピウム錯体を含むユウロピウム錯体含有粒子と、樹脂材料、無機ガラス、液体材料及び有機低分子材料の群から選ばれる1以上と、からなる、請求項1又は請求項2に記載のユウロピウム錯体含有細胞賦活用組成物。
【請求項6】
請求項1又は請求項2に記載のユウロピウム錯体含有細胞賦活用組成物を備える、身体装着具。
【請求項7】
請求項1又は請求項2に記載のユウロピウム錯体含有細胞賦活用組成物を備える、構造材料。
発明の詳細な説明
【技術分野】
【0001】
本開示は、ユウロピウム錯体含有細胞賦活用組成物に関する。
続きを表示(約 1,300 文字)
【背景技術】
【0002】
波長変換材料は、特定の波長の光を吸収して別の波長で発光する材料である。近年、このような波長変換材料を用いて、太陽光中の紫外光を可視光に変換することで、皮膚に好適な影響を与えることが報告されている。例えば、特許文献1にはフィコシアニン等の天然物由来の有機蛍光体や、酸化亜鉛蛍光体等の無機蛍光体を用い、紫外線を所定範囲の波長の光へと変換し皮膚細胞を賦活させる方法が開示されている。皮膚細胞へ好影響を与える波長としては、特に赤色光(600~700nm)が高い効果を奏することが知られている。(例えば、特許文献2及び特許文献3)
【先行技術文献】
【特許文献】
【0003】
国際公開第2020-202764号
特開2016-011296号公報
特開2021-194341号公報
【発明の概要】
【発明が解決しようとする課題】
【0004】
波長変換材料を用いて紫外光を変換し皮膚に照射する従来の方法では、可視光域にも光吸収を有するために波長変換材料そのものが着色していた。しかしながら、日焼け止め、窓材、眼鏡レンズ等の製品への応用にあたり、波長変換材料そのものが着色していることは、意匠性や色覚の観点から好まれず、従来の皮膚細胞を賦活方法に使用された波長変換材料は、製品応用に不適であった。
【0005】
本開示は、細胞賦活能に優れ、製品応用に適した意匠性を有する細胞賦活用組成物を提供することを目的とする。
【課題を解決するための手段】
【0006】
本発明者らは、皮膚細胞の賦活に適用し得る波長変換材料及びこれを含む組成物の組成とその色調に着目して検討した結果、特定の吸光能、発光能を有するユウロピウム錯体含有組成物が着色することなく、なおかつ、細胞賦活剤として有効であることを見出した。
【0007】
すなわち、本発明は特許請求の範囲に記載の通りであり、また、本開示の要旨は以下の通りである。
[1]樹脂材料、無機ガラス、液体材料及び有機低分子材料の群から選ばれる1以上、並びに、波長350nmにおけるモル吸光係数が10000L・mol
-1
・cm
-1
以上であるユウロピウム錯体、を含む、ユウロピウム錯体含有細胞賦活用組成物。
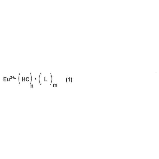
[2]前記ユウロピウム錯体が、一般式(1)で表されるユウロピウム錯体である、上記[1]に記載のユウロピウム錯体含有細胞賦活用組成物。
【0008】
JPEG
2025156124000002.jpg
16
131
【0009】
{HCは一般式(1dk)、一般式(1qu)、又は、一般式(1cu)で表される配位子である。
【0010】
JPEG
2025156124000003.jpg
30
143
(【0011】以降は省略されています)
この特許をJ-PlatPat(特許庁公式サイト)で参照する
関連特許
東ソー株式会社
ペレット
2日前
東ソー株式会社
乳酸吸着材
7日前
東ソー株式会社
自動分析装置
14日前
東ソー株式会社
免疫学的測定法
3日前
東ソー株式会社
ゴム用接着性改質剤
3日前
東ソー株式会社
ウェアラブルセンサ
22日前
東ソー株式会社
アクチノイド吸着剤
2か月前
東ソー株式会社
土木用注入薬液組成物
22日前
東ソー株式会社
タンパク質の発現方法
28日前
東ソー株式会社
樹脂組成物および蓋材
1か月前
東ソー株式会社
二酸化炭素分離回収液
2か月前
東ソー株式会社
樹脂組成物および蓋材
1か月前
東ソー株式会社
改変された炭酸脱水酵素
1か月前
東ソー株式会社
撮像素子用光電変換素子
2か月前
東ソー株式会社
芳香族化合物の製造方法
28日前
東ソー株式会社
アルカリ金属の除去方法
9日前
東ソー株式会社
土質安定化注入薬液組成物
1か月前
東ソー株式会社
土質安定化注入薬液組成物
1か月前
東ソー株式会社
温度応答性ビーズの製造方法
1か月前
東ソー株式会社
pH応答性マイクロキャリア
1か月前
東ソー株式会社
CHA型ゼオライトの製造方法
10日前
東ソー株式会社
酸素還元電極及びその製造方法
9日前
東ソー株式会社
CHA型ゼオライトの製造方法
10日前
東ソー株式会社
導電性高分子溶液及びその用途
2か月前
東ソー株式会社
クロマトグラムの形状判定方法
2か月前
東ソー株式会社
二酸化炭素分離用アミン組成物
2か月前
東ソー株式会社
イソシアネート化合物の製造方法
1か月前
東ソー株式会社
廃プラスチックのリサイクル方法
2日前
東ソー株式会社
分離剤を充填したカラムの製造方法
3日前
東ソー株式会社
押出成形用ゴム組成物及び加硫ゴム
2日前
東ソー株式会社
組成物、樹脂用添加剤及び樹脂発泡体
1か月前
東ソー株式会社
クロロスルホン化プロピレン系重合体
1か月前
東ソー株式会社
6-ヒドロキシヘキサン酸の製造方法
8日前
東ソー株式会社
メチレンジアニリン化合物の製造方法
2日前
東ソー株式会社
バイオマス由来の塩素化ポリエチレン
2日前
東ソー株式会社
塩化ビニル樹脂用接着剤及び接着構造体
28日前
続きを見る
他の特許を見る