TOP
|
特許
|
意匠
|
商標
特許ウォッチ
Twitter
他の特許を見る
公開番号
2025158988
公報種別
公開特許公報(A)
公開日
2025-10-17
出願番号
2025123388,2022511158
出願日
2025-07-23,2021-04-02
発明の名称
合わせガラス
出願人
AGC株式会社
代理人
個人
主分類
C03C
27/12 20060101AFI20251009BHJP(ガラス;鉱物またはスラグウール)
要約
【課題】内部に残留する気泡を有意に低減することが可能な合わせガラスを提供する。
【解決手段】第1のガラス基板と第2のガラス基板が相互に積層された合わせガラスであって、前記第1のガラス基板と前記第2のガラス基板との間に配置され、前記第1のガラス基板に接する第1の中間膜と、前記第1のガラス基板と前記第2のガラス基板との間に配置され、前記第2のガラス基板に接する第2の中間膜と、前記第1の中間膜と前記第2の中間膜との間に配置され、前記第1の中間膜と前記第2の中間膜に接する第1および第2の機能部材と、を有し、前記第1および第2の機能部材は、前記第1および第2の中間膜よりも高い剛性を有し、前記第1および第2の機能部材は、当該合わせガラスを平面視したときに、相互に距離dだけ離間して配置され、前記距離dは、15mm以上である、合わせガラス。
【選択図】図3
特許請求の範囲
【請求項1】
第1のガラス基板と第2のガラス基板が相互に積層された合わせガラスであって、
前記第1のガラス基板と前記第2のガラス基板との間に配置され、前記第1のガラス基板に接する第1の中間膜と、
前記第1のガラス基板と前記第2のガラス基板との間に配置され、前記第2のガラス基板に接する第2の中間膜と、
前記第1の中間膜と前記第2の中間膜との間に配置され、前記第1の中間膜と前記第2の中間膜に接する第1および第2の機能部材と、
を有し、
前記第1および第2の機能部材は、前記第1および第2の中間膜よりも高い剛性を有し、
前記第1および第2の機能部材は、当該合わせガラスを平面視したときに、相互に距離dだけ離間して配置され、
前記距離dは、15mm以上であり、
前記第1および第2の機能部材は、それぞれ調光フィルムであり、
該調光フィルムは、前記第1のガラス基板から近い順に、第1の樹脂層と、第1の導電層と、調光素子と、第2の導電層と、第2の樹脂層とを有する、合わせガラス。
続きを表示(約 1,500 文字)
【請求項2】
前記距離dは、20mm以上である、請求項1に記載の合わせガラス。
【請求項3】
前記距離dは、110mm以下である、請求項1または2に記載の合わせガラス。
【請求項4】
前記距離dは、100mm以下である、請求項3に記載の合わせガラス。
【請求項5】
前記第1および第2の機能部材が相互に離間されている領域において、前記第1の中間膜と前記第2の中間膜は、相互に直接接している、請求項1乃至4のいずれか一項に記載の合わせガラス。
【請求項6】
前記第1および第2の機能部材は、それぞれ厚さが50μm以上250μm以下である、請求項1乃至5のいずれか一項に記載の合わせガラス。
【請求項7】
前記第1および第2の機能部材は、それぞれ、矩形状のフィルムの形態を有し、
前記第1および第2の機能部材は、前記第1の機能部材の第1の側面が、前記第2の機能部材の第1の側面と略平行に対面するように配置される、請求項1乃至6のいずれか一項に記載の合わせガラス。
【請求項8】
前記第1および/または第2の機能部材は、樹脂層を有し、該樹脂層は、ポリエチレンテレフタレート、ポリエチレンナフタレート、ポリアミド、ポリエーテル、ポリスルフォン、ポリエーテルスルフォン、ポリカーボネート、ポリスチレン、環状ポリオレフィン、ポリアリレート、ポリエーテルイミド、ポリエーテルエーテルケトン、ポリイミド、アラミド、ポリブチレンテレフタレート、トリアセチルセルロース、ポリウレタン、およびシクロオレフィンポリマーからなる群から選定された少なくとも一つを有する、請求項1乃至7のいずれか一項に記載の合わせガラス。
【請求項9】
前記第1および第2の機能部材は、1または複数の層で構成され、それぞれの層が有する引張弾性率のうち、最大の値は、1GPa以上である、請求項1乃至8のいずれか一項に記載の合わせガラス。
【請求項10】
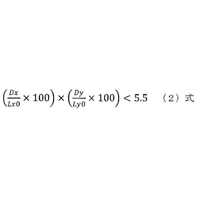
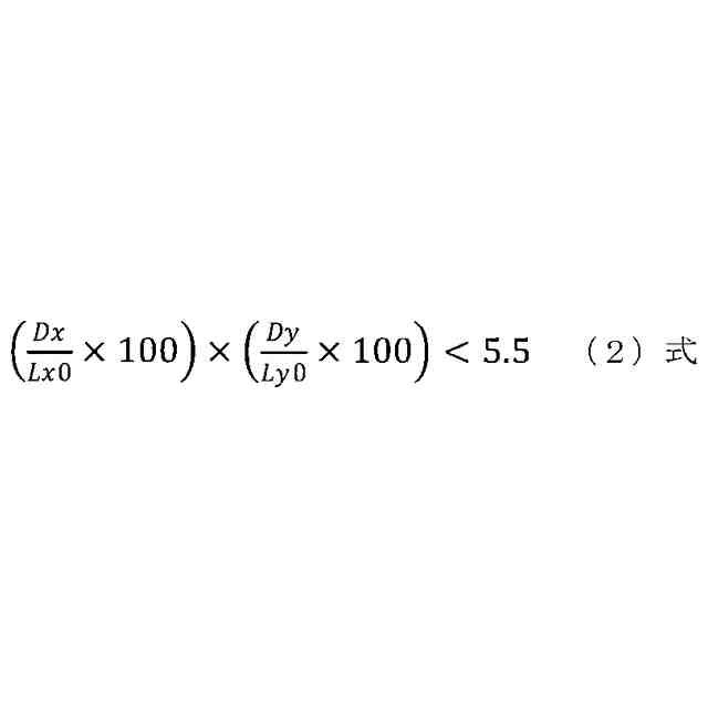
前記第2のガラス基板において、前記第2の中間膜に接する表面を第1の表面A、前記第2の中間膜に接しない表面を第2の表面Aと称し、
前記第2のガラス基板において、前記合わせガラスを平面視したときに、前記第1および第2の機能部材と、前記第1および第2の機能部材の間の隙間とを合わせた領域を機能部材領域と称し、
前記第2のガラス基板において、重心における法線を含む断面のうち、前記第2の表面Aの曲率半径が最小となる断面を縦断面と称し、
前記法線方向から見た際に前記縦断面が延在する方向を第1の方向とし、該第1の方向と直交する方向を第2の方向としたとき、
以下の(1)式が成り立つ、請求項1乃至9のいずれか一項に記載の合わせガラス:
TIFF
2025158988000006.tif
18
152
ただし、
Rxは、前記第2のガラス基板の前記機能部材領域において、前記第2の表面Aを前記第1の方向に沿って50mm毎に計測した曲率半径の平均値[mm]であり、
Ryは、前記第2のガラス基板の前記機能部材領域において、前記第2の表面Aを前記第2の方向に沿って50mm毎に計測した曲率半径の平均値[mm]であり、
Lxは、前記機能部材領域の前記第1の方向における最大長さ[mm]であり、
Lyは、前記機能部材領域の前記第2の方向における最大長さ[mm]である。
(【請求項11】以降は省略されています)
発明の詳細な説明
【技術分野】
【0001】
本発明は、合わせガラスに関する。
続きを表示(約 1,200 文字)
【背景技術】
【0002】
一対のガラス基板をそれぞれのガラス基板の表面に設置された中間膜を介して積層することにより構成される合わせガラスは、例えば、車両用のガラス部材などに広く利用されている。
【0003】
近年、合わせガラスの内部に各種機能部材を封入して、合わせガラスに追加の機能を発現させることが行われるようになって来ている。例えば、一対の中間膜の間に調光フィルムを封入した場合、環境に応じて合わせガラスの透過率を適宜調整することが可能になる(例えば特許文献1)。
【先行技術文献】
【特許文献】
【0004】
特開2009-36967号公報
【発明の概要】
【発明が解決しようとする課題】
【0005】
合わせガラスの内部に機能部材を封入した際に、機能部材にシワが生じる場合がある。特に、ガラス基板が曲面を有し、機能部材が中間膜よりも高い剛性を有する場合、機能部材がガラス基板の曲面に追随できずに、シワが発生する傾向が高くなる。
【0006】
そこで、そのようなシワの発生を抑制するため、中間膜の内部に、機能部材を分割して配置することが考えられる。
【0007】
しかしながら、ガラス基板の表面方向に沿って、分割された複数の機能部材を相互に離間して配置する構成では、機能部材同士間の隙間に気泡が残留する可能性が高くなる。また、残留する気泡が顕著になると、機能部材と中間膜の間の密着性が低下し、機能部材と中間膜の界面で剥離が生じる可能性が高くなる。
【0008】
本発明は、このような背景に鑑みなされたものであり、本発明では、内部に残留する気泡を有意に低減することが可能な合わせガラスを提供することを目的とする。
【課題を解決するための手段】
【0009】
本発明では、第1のガラス基板と第2のガラス基板が相互に積層された合わせガラスであって、
前記第1のガラス基板と前記第2のガラス基板との間に配置され、前記第1のガラス基板に接する第1の中間膜と、
前記第1のガラス基板と前記第2のガラス基板との間に配置され、前記第2のガラス基板に接する第2の中間膜と、
前記第1の中間膜と前記第2の中間膜との間に配置され、前記第1の中間膜と前記第2の中間膜に接する第1および第2の機能部材と、
を有し、
前記第1および第2の機能部材は、前記第1および第2の中間膜よりも高い剛性を有し、
前記第1および第2の機能部材は、当該合わせガラスを平面視したときに、相互に距離dだけ離間して配置され、
前記距離dは、15mm以上である、合わせガラスが提供される。
【発明の効果】
【0010】
本発明では、内部に残留する気泡を有意に低減することが可能な合わせガラスを提供する。
【図面の簡単な説明】
(【0011】以降は省略されています)
この特許をJ-PlatPat(特許庁公式サイト)で参照する
関連特許
AGC株式会社
顔面用貼付材
19日前
AGC株式会社
車両用窓ガラス
17日前
AGC株式会社
積層体及び移動体
17日前
AGC株式会社
インフィニティミラー
5日前
AGC株式会社
ガラス材料、結晶化ガラス
4日前
AGC株式会社
車両用窓ガラス及びサッシュレスドア
17日前
AGC株式会社
フラットハーネス付き車両用窓ガラス
2日前
AGC株式会社
フラットハーネス付き車両用窓ガラスシステム
2日前
AGC株式会社
車両用ガラス板、及び車両用ガラス板の製造方法
12日前
AGC株式会社
文書分析方法、文書分析プログラム、及び文書分析装置
18日前
AGC株式会社
合わせガラス
9日前
AGC株式会社
化学強化ガラス、画像表示装置用カバーガラス、防汚層付きガラス材
4日前
AGC株式会社
ガラス、ガラス粉末、混合粉、ガラスペースト、及びグリーンシート
16日前
AGC株式会社
ガラスおよび化学強化ガラス
12日前
AGC株式会社
化学強化ガラスおよび電子機器筐体
23日前
AGC株式会社
化学強化ガラス物品およびその製造方法
9日前
AGC株式会社
フツリン酸ガラス及び近赤外線カットフィルタ
23日前
AGC株式会社
反射型マスクブランク、反射型マスク、反射型マスクブランクの製造方法、及び反射型マスクの製造方法
10日前
AGC株式会社
化合物、組成物、表面処理剤、物品、及び物品の製造方法
23日前
AGC株式会社
高周波デバイス用ガラス基板、液晶アンテナ及び高周波デバイス
4日前
AGC株式会社
含フッ素エーテル化合物及びその製造方法、化合物及びその製造方法、含フッ素エーテル組成物、コーティング液、並びに物品及びその製造方法
12日前
日本電気硝子株式会社
封着材料ペースト
19日前
ノリタケ株式会社
封止用グリーンシート
16日前
AGC株式会社
車両用窓ガラスとその製造方法
24日前
日本電気硝子株式会社
ガラスの製造方法
2か月前
AGC株式会社
感光性ガラス
1か月前
ノリタケ株式会社
ガラス接合材およびその利用
16日前
AGC株式会社
複層ガラス、高地対応複層ガラス
1か月前
日本板硝子株式会社
ビル用複層ガラス
2か月前
ノリタケ株式会社
ガラス接合材及びその利用
16日前
ノリタケ株式会社
ガラス接合材及びその利用
16日前
日本電気硝子株式会社
ガラス製造装置
24日前
日本電気硝子株式会社
ガラス板の製造方法
1か月前
信越化学工業株式会社
石英ガラス棒およびその製造方法
1か月前
AGC株式会社
合わせガラス
1か月前
ノリタケ株式会社
組立体の製造方法および組立体
16日前
続きを見る
他の特許を見る