TOP
|
特許
|
意匠
|
商標
特許ウォッチ
Twitter
他の特許を見る
10個以上の画像は省略されています。
公開番号
2025039210
公報種別
公開特許公報(A)
公開日
2025-03-21
出願番号
2023146121
出願日
2023-09-08
発明の名称
測定方法および構造体
出願人
公立大学法人大阪
代理人
個人
,
個人
主分類
G01N
21/41 20060101AFI20250313BHJP(測定;試験)
要約
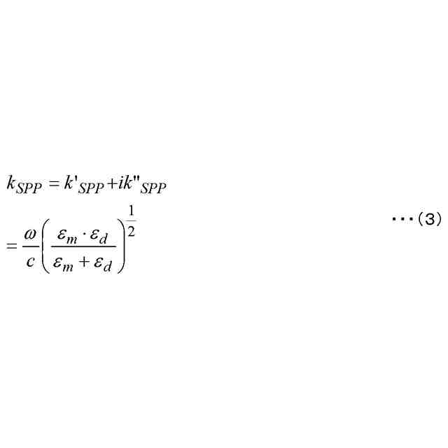
【課題】プラズモン波を簡便に可視化できる測定方法および構造体を提供する。
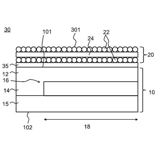
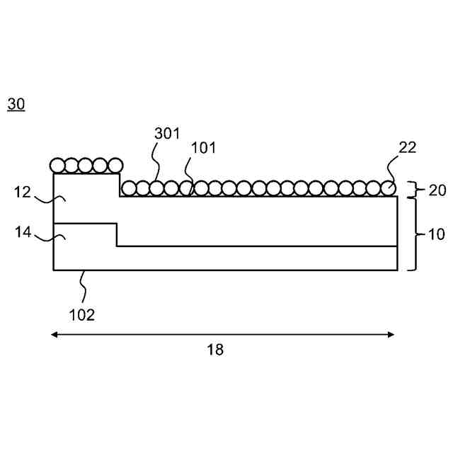
【解決手段】測定方法は、準備工程および測定工程を含む。準備工程では、基体10に発光材22を付すことで構造体30を準備する。基体10は、金属層14と誘電体層12との界面を含む。測定工程では、構造体30における基体10にプラズモン波を発生させ、プラズモン波の発生に応じて構造体30の発光材22から出力される光を測定する。発光材22はたとえば量子ドット等の発光粒子である。
【選択図】図1
特許請求の範囲
【請求項1】
金属層と誘電体層との界面を含む基体に、発光材を付すことで構造体を準備する工程と、
前記構造体における前記基体にプラズモン波を発生させ、前記プラズモン波の発生に応じて前記構造体の前記発光材から出力される光を測定する工程を含む
測定方法。
続きを表示(約 1,000 文字)
【請求項2】
請求項1に記載の測定方法において、
前記基体は、前記金属層と前記誘電体層とが互いに接して積層されている積層領域を有し、
前記構造体において、前記積層領域内の前記金属層と、前記発光材との間に前記誘電体層が位置する
測定方法。
【請求項3】
請求項1または2に記載の測定方法において、
前記測定する工程では、前記構造体の少なくともいずれかの面である測定面から出力される光を測定し、
前記構造体は、少なくとも一部の領域において、前記発光材と前記誘電体層と前記金属層とを前記測定面側からこの順に含む
測定方法。
【請求項4】
請求項1から3のいずれか一項に記載の測定方法において、
前記基体は、前記誘電体層側の第1面と、前記第1面とは反対側の面であり前記金属層側の面である第2面を有し、
前記構造体において、前記基体の前記第1面の少なくとも一部の領域に30%以上100%以下の被覆率で前記発光材が付されている
測定方法。
【請求項5】
請求項1から4のいずれか一項に記載の測定方法において、
前記構造体を準備する工程では、前記基体に対し、前記発光材を含む発光層を形成する
測定方法。
【請求項6】
請求項5に記載の測定方法において、
前記発光層は、前記発光材としての発光粒子と、高分子との交互積層体を含む
測定方法。
【請求項7】
請求項6に記載の測定方法において、
前記構造体を準備する工程では、前記基体を、前記発光粒子を含む第1液と前記高分子を含む第2液とに順に浸けることで、前記発光層を形成する
測定方法。
【請求項8】
請求項1から7のいずれか一項に記載の測定方法において、
前記測定する工程の後に、前記構造体から前記発光材を除去する工程をさらに含む
測定方法。
【請求項9】
請求項8に記載の測定方法において、
前記除去する工程では、前記構造体から前記発光材を水で洗い流す
測定方法。
【請求項10】
請求項1から9のいずれか一項に記載の測定方法において、
前記測定する工程では、光学顕微鏡を用いて前記構造体の前記発光材から出力される光を測定する
測定方法。
(【請求項11】以降は省略されています)
発明の詳細な説明
【技術分野】
【0001】
本発明は測定方法および構造体に関する。
続きを表示(約 2,600 文字)
【背景技術】
【0002】
プラズモン波を電子デバイスや通信デバイスに利用することが試みられている。このようなデバイスの開発においては、プラズモン波の状況を把握することが重要である。しかし、プラズモン波の伝搬は、輻射を伴わない現象であるため、そのままでは見ることができない。プラズモン波の伝搬状況を可視化するための技術が必要である。
【0003】
非特許文献1には、光電子顕微鏡法によりプラズモン波の伝搬を可視化し、その波動特性を評価したことが記載されている。
【0004】
非特許文献2には、銀の上に、染料を含有させた樹脂層を形成し、プラズモン波の伝搬に伴って染料から発生する蛍光を、光学顕微鏡で観察したことが記載されている。
【先行技術文献】
【非特許文献】
【0005】
久保敦、外1名、「フェムト秒レーザー励起光電子顕微鏡法による表面プラズモン波の可視化」、表面科学、公益社団法人日本表面科学会、2012年、第33巻、第4号、p.235-241
Tatsumi Hattori、外4名、「Femtosecond Laser-Excited Two-Photon Fluorescence Microscopy of Surface Plasmon Polariton」、Japanese Journal of Applied Physics、公益社団法人応用物理学会、2012年、第51巻、04DG03
【発明の概要】
【発明が解決しようとする課題】
【0006】
しかし、非特許文献1の技術では、光電子顕微鏡を用いることから、測定対象を超高真空下に置く必要があり、測定対象が限定された。また、特殊かつ高度な実験技術を必要とした。また、非特許文献2の技術では、誘電体層に染料を含有させる必要があり、測定対象が限定された。
【0007】
本発明は、プラズモン波を簡便に可視化できる測定方法および構造体を提供する。
【課題を解決するための手段】
【0008】
本発明の一形態によれば、以下の測定方法および構造体が提供される。
【0009】
1. 金属層と誘電体層との界面を含む基体に、発光材を付すことで構造体を準備する工程と、
前記構造体における前記基体にプラズモン波を発生させ、前記プラズモン波の発生に応じて前記構造体の前記発光材から出力される光を測定する工程を含む
測定方法。
2. 1.に記載の測定方法において、
前記基体は、前記金属層と前記誘電体層とが互いに接して積層されている積層領域を有し、
前記構造体において、前記積層領域内の前記金属層と、前記発光材との間に前記誘電体層が位置する
測定方法。
3. 1.または2.に記載の測定方法において、
前記測定する工程では、前記構造体の少なくともいずれかの面である測定面から出力される光を測定し、
前記構造体は、少なくとも一部の領域において、前記発光材と前記誘電体層と前記金属層とを前記測定面側からこの順に含む
測定方法。
4. 1.から3.のいずれか一つに記載の測定方法において、
前記基体は、前記誘電体層側の第1面と、前記第1面とは反対側の面であり前記金属層側の面である第2面を有し、
前記構造体において、前記基体の前記第1面の少なくとも一部の領域に30%以上100%以下の被覆率で前記発光材が付されている
測定方法。
5. 1.から4.のいずれか一つに記載の測定方法において、
前記構造体を準備する工程では、前記基体に対し、前記発光材を含む発光層を形成する
測定方法。
6. 5.に記載の測定方法において、
前記発光層は、前記発光材としての発光粒子と、高分子との交互積層体を含む
測定方法。
7. 6.に記載の測定方法において、
前記構造体を準備する工程では、前記基体を、前記発光粒子を含む第1液と前記高分子を含む第2液とに順に浸けることで、前記発光層を形成する
測定方法。
8. 1.から7.のいずれか一つに記載の測定方法において、
前記測定する工程の後に、前記構造体から前記発光材を除去する工程をさらに含む
測定方法。
9. 8.に記載の測定方法において、
前記除去する工程では、前記構造体から前記発光材を水で洗い流す
測定方法。
10. 1.から9.のいずれか一つに記載の測定方法において、
前記測定する工程では、光学顕微鏡を用いて前記構造体の前記発光材から出力される光を測定する
測定方法。
11. 1.から10.のいずれか一つに記載の測定方法において、
前記基体は、導波路、太陽電池、光センサ、または通信回路の少なくとも一部である
測定方法。
12. 金属層と誘電体層との界面を含む基体と、
前記基体に付された発光材とを含み、
少なくとも一部の領域において前記金属層と、前記発光材との間に前記誘電体層が位置する
構造体。
13. 12.に記載の構造体において、
前記基体は、前記金属層と前記誘電体層とが互いに接して積層されている積層領域を有し、
前記積層領域内の前記金属層と、前記発光材との間に前記誘電体層が位置する
構造体。
14. 12.または13.に記載の構造体において、
前記基体は、前記誘電体層側の第1面と、前記第1面とは反対側の面であり前記金属層側の面である第2面を有し、
前記基体の前記第1面の少なくとも一部の領域に、30%以上100%以下の被覆率で前記発光材が付されている
構造体。
15. 12.から14.のいずれか一つに記載の構造体において、
前記構造体は、前記発光材を含む発光層を含む
【発明の効果】
【0010】
本発明によれば、プラズモン波を簡便に可視化できる測定方法および構造体を提供できる。
【図面の簡単な説明】
(【0011】以降は省略されています)
この特許をJ-PlatPat(特許庁公式サイト)で参照する
関連特許
公立大学法人大阪
硫化物
1か月前
公立大学法人大阪
複合粒子
4か月前
公立大学法人大阪
食育システム
3か月前
公立大学法人大阪
タケ由来ミミズ堆肥
1か月前
公立大学法人大阪
測定方法および構造体
6か月前
公立大学法人大阪
細胞質送達剤及びその使用
3日前
公立大学法人大阪
プロペラのピッチ変更装置
6か月前
公立大学法人大阪
Trichoderma属菌
4か月前
公立大学法人大阪
カルボン酸化合物の製造方法
3か月前
公立大学法人大阪
リン化コバルト炭素複合粒子
2か月前
鹿島建設株式会社
空調システム
10日前
愛三工業株式会社
電力供給装置
25日前
公立大学法人大阪
変異型アシル-ACPレダクターゼ
2か月前
公立大学法人大阪
核酸配列編集方法及び核酸配列製造方法
4か月前
公立大学法人大阪
タングステン分別用組成物及びその利用
7か月前
三菱ケミカル株式会社
ガス吸着フィルム
1か月前
日東電工株式会社
ウレア化合物の製造方法
17日前
公立大学法人大阪
ウルトラファインバブル内酸素濃度測定方法
6か月前
公立大学法人大阪
支援システム、支援方法、及び支援プログラム
3か月前
森村金属株式会社
蠕動運動で移動するロボット
1か月前
美津濃株式会社
足関節底背屈トレーニング器具
5か月前
公立大学法人大阪
光架橋高分子粒子および光架橋高分子粒子の生成方法
5か月前
トヨタ自動車株式会社
活物質、電極合材および電池
4か月前
飯田グループホールディングス株式会社
蟻酸生成装置
1か月前
公立大学法人大阪
脂肪酸アルキルエステルの製造方法および製造システム
3日前
公立大学法人大阪
過酸化水素付加体、及び、過酸化水素付加体の使用方法
5か月前
NTT株式会社
光ファイバの群遅延時間測定システム
23日前
鹿島建設株式会社
帯水層蓄熱システム及び帯水層蓄熱方法
2か月前
学校法人神奈川大学
化合物及びそれを含んでなる発光材料
1か月前
公立大学法人大阪
画像処理装置、画像撮影装置、プログラム及び画像処理方法
25日前
甲南化工株式会社
アルコール性肝疾患予防又は改善用組成物
4か月前
甲南化工株式会社
アルコール性肝疾患予防又は改善用組成物
4か月前
国立大学法人 東京大学
皮膚微生物叢を制御するための溶菌剤
3か月前
公立大学法人大阪
3次元表示装置、ヘッドアップディスプレイシステム、及び移動体
3か月前
セイコーエプソン株式会社
処理システム、プログラム及び処理方法
4か月前
信越化学工業株式会社
熱伝導性樹脂組成物、及び高温高熱伝導シート
1か月前
続きを見る
他の特許を見る