TOP
|
特許
|
意匠
|
商標
特許ウォッチ
Twitter
他の特許を見る
10個以上の画像は省略されています。
公開番号
2025082148
公報種別
公開特許公報(A)
公開日
2025-05-28
出願番号
2023195424
出願日
2023-11-16
発明の名称
建物の地震時変位応答を評価する方法
出願人
清水建設株式会社
代理人
個人
,
個人
,
個人
主分類
G01M
99/00 20110101AFI20250521BHJP(測定;試験)
要約
【課題】建物の地震時変位応答をより短時間で精度よく評価する方法を提供する。
【解決手段】周期T及び減衰定数hの建物における、擬似速度応答スペクトル
p
S
V
及びエネルギースペクトルV
E
を算出し、前記擬似速度応答スペクトル
p
S
V
をエネルギースペクトルV
E
で除することによって、地震動の繰り返し特性の指標Fを算出し、前記地震動の繰り返し特性の指標Fとインパルス数N
p
との関係より前記インパルス数N
p
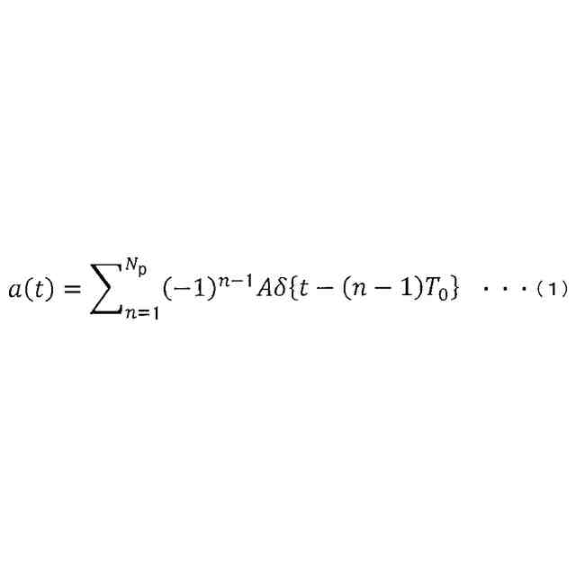
を算出し、地震動により建物に入力される総入力エネルギーが一致するという条件から、式(1)を用いてインパルス振幅Vを設定し、設計用地震動群をそれぞれの等価インパルス地震動に置き換えた場合に、層間変位応答が最も大きくなる前記等価インパルス地震動を選択し、前記等価インパルス地震動を用いて、建物の地震時変位応答を評価する。
【選択図】なし
特許請求の範囲
【請求項1】
周期T及び減衰定数hの建物における、擬似速度応答スペクトル
p
S
V
及びエネルギースペクトルV
E
を算出し、
前記擬似速度応答スペクトル
p
S
V
をエネルギースペクトルV
E
で除することによって、地震動の繰り返し特性の指標Fを算出し、
前記地震動の繰り返し特性の指標Fとインパルス数N
p
との関係より前記インパルス数N
p
を算出し、
地震動により建物に入力される総入力エネルギーが一致するという条件から、式(1)を用いてインパルス振幅Vを設定し、
設計用地震動群をそれぞれの等価インパルス地震動に置き換えた場合に、層間変位応答が最も大きくなる前記等価インパルス地震動を選択し、
前記等価インパルス地震動を用いて、建物の地震時変位応答を評価する方法。
TIFF
2025082148000008.tif
23
170
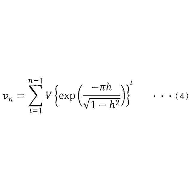
ここで、
E
n
:入力されるエネルギー
m:質量
V:インパルス振幅
v
n
:n個目のインパルスを入力する直前に1自由度系に生じる速度
発明の詳細な説明
【技術分野】
【0001】
本発明は、建物の地震時変位応答を評価する方法に関するものである。
続きを表示(約 2,300 文字)
【背景技術】
【0002】
超高層建物や免制振建物等の重要建築物の耐震設計において、複数の設計用地震動を用いて地震応答解析を行うことが一般的である。ここで、設計用地震動は、過去の観測記録や、現時点での研究成果に基づき当該地域で発生が想定される地震動(サイト波)の中から、設計者が複数選択することが多い。地震動特性の不確実性に対してロバストな設計を行うためには、多くの地震動を考慮して時刻歴応答解析を行い、建物の応答性状を評価することが望ましい。ただし、地震動の数や継続時間の長さに応じて解析に時間を要するため、複雑な解析モデルを扱う場合や、最適設計を実施するため多数回解析を繰り返す場合等に時間的制約があり十分な検討ができないことがある。
【0003】
建物の地震応答解析に用いる地震動を単純化することは、様々な特性の地震動を考慮しつつも効率的に建物の応答性状を評価するうえで有用である。非特許文献1では地震動を総入力エネルギーが一致する2つのインパルスで置き換え、建物の地震時変位応答を評価する手法を提案している。
【先行技術文献】
【非特許文献】
【0004】
Akehashi, H.and Takewaki, I.: Bounding of earthquake response via critical double impulse for efficient,Japan Architectural Review, Vol. 5, Issue 2, pp. 131-149, 2022.
【発明の概要】
【発明が解決しようとする課題】
【0005】
この手法は、パルス性地震動への置き換えによっても、層間変位応答を精度よく模擬できることが示されている。一方、一般的な地震動に対してこの手法を適用すると、2つのインパルスに対する応答は地震動に対する応答に比べて非常に大きくなり、過剰設計となるという問題点がある。
【0006】
本発明は、上記事情に鑑みてなされたものであり、建物の地震時変位応答をより短時間で精度よく評価する方法を提供する。
【課題を解決するための手段】
【0007】
上記目的を達成するために、本発明は以下の手段を採用している。
本発明に係る建物の地震時変位応答を評価する方法は、周期T及び減衰定数hの建物における、擬似速度応答スペクトル
p
S
V
及びエネルギースペクトルV
E
を算出し、前記擬似速度応答スペクトル
p
S
V
をエネルギースペクトルV
E
で除することによって、地震動の繰り返し特性の指標Fを算出し、前記地震動の繰り返し特性の指標Fとインパルス数N
p
との関係より前記インパルス数N
p
を算出し、地震動により建物に入力される総入力エネルギーが一致するという条件から、式(A)を用いてインパルス振幅Vを設定し、設計用地震動群をそれぞれの等価インパルス地震動に置き換えた場合に、層間変位応答が最も大きくなる前記等価インパルス地震動を選択し、前記等価インパルス地震動を用いて、建物の地震時変位応答を評価する。
【0008】
TIFF
2025082148000001.tif
23
170
ここで、
E
n
:入力されるエネルギー
m:質量
V:インパルス振幅
v
n
:n個目のインパルスを入力する直前に1自由度系に生じる速度
【発明の効果】
【0009】
本発明に係る建物の地震時変位応答を評価する方法によれば、建物の地震時変位応答をより短時間で精度よく評価することができる。
【図面の簡単な説明】
【0010】
インパルス地震動を用いた解析の概念図である。
A=500cm/s
2
、インパルス間隔T
0
=1.5秒、固有周期T=3秒、h=0.02,0.05のときの(a)インパルス数N
p
と
p
S
V
との関係、(b)N
p
とV
E
との関係、(c)N
p
とF=
p
S
V
/V
E
との関係を示す図である。
総入力エネルギー一定下における(a)インパルス数N
p
=2のときの変位応答、(b)インパルス数N
p
=12のときの変位応答を示す図である。
インパルス数N
p
と基準化最大層間変位応答αの関係を示す図である。
解析モデルを示す図である。
インパルス地震動を用いた設計フロー図である。
設計用地震動群の位相特性を示す表である。
各地震動のインパルス数N
p
、N
p
に基づくα、T=3秒におけるV
E
及びαにV
E
を乗じた値をそれぞれ示す表である。
設計用地震動群と等価インパルス地震動を入力したときの最大層間変形角を示すグラフである。
【発明を実施するための形態】
(【0011】以降は省略されています)
この特許をJ-PlatPat(特許庁公式サイト)で参照する
関連特許
清水建設株式会社
外壁構造
1か月前
清水建設株式会社
配筋装置
24日前
清水建設株式会社
建築構造
5日前
清水建設株式会社
化粧カバー
23日前
清水建設株式会社
情報処理装置
1か月前
清水建設株式会社
鉄筋把持装置
24日前
清水建設株式会社
水制御システム
10日前
清水建設株式会社
製炭炉、製炭方法
23日前
清水建設株式会社
遮水層の構築方法
9日前
清水建設株式会社
配筋高さ調整機構
24日前
清水建設株式会社
配筋の千鳥調整機構
24日前
清水建設株式会社
加熱井戸の設置方法
1か月前
清水建設株式会社
床吹き出し空調装置
9日前
清水建設株式会社
免震装置の基礎構造
10日前
清水建設株式会社
ボルトによる接合構造
16日前
清水建設株式会社
コンクリートの施工方法
1か月前
清水建設株式会社
建築部材および空調システム
20日前
清水建設株式会社
変位計測装置および変位計測方法
5日前
清水建設株式会社
中間階免震建物の免震層の構築方法
10日前
清水建設株式会社
低透水層の施工方法および低透水層構造
1か月前
清水建設株式会社
ケーソンの施工方法および施工補助装置
18日前
清水建設株式会社
角部用タブおよび四面ボックスの溶接方法
1か月前
清水建設株式会社
木質耐火被覆鉄骨部材およびその施工方法
1か月前
清水建設株式会社
ガス回収装置、ビル空調システム、ガス回収方法
1か月前
公益財団法人鉄道総合技術研究所
樹脂吹付け方法
1か月前
清水建設株式会社
鉄筋の放射線漏洩線量減少率評価方法及び解析装置
16日前
清水建設株式会社
金属造形物の造形装置および金属造形物の造形方法
11日前
清水建設株式会社
施工時CO2排出量の推定方法および推定システム
16日前
清水建設株式会社
トンネル防水シートの施工管理装置及び施工管理方法
1か月前
清水建設株式会社
地形計測装置、地形計測システム、及び地形計測方法
20日前
清水建設株式会社
土壌資材、土壌資材の設計方法および土壌資材の製造方法
20日前
清水建設株式会社
鉄筋の突合わせ接合構造及び鉄筋接続用スリーブの圧縮装置
16日前
清水建設株式会社
スリムケーソン工法に用いる揚重構造およびスリムケーソン工法
1か月前
清水建設株式会社
陰イオン吸着体、陰イオン吸着体の製造方法、陰イオン吸着方法
16日前
清水建設株式会社
ジオポリマー、ジオポリマーの固化物、放射性廃棄物の処理方法、
24日前
清水建設株式会社
情報処理システム、情報処理装置、情報処理方法、およびプログラム
1か月前
続きを見る
他の特許を見る