TOP
|
特許
|
意匠
|
商標
特許ウォッチ
Twitter
他の特許を見る
10個以上の画像は省略されています。
公開番号
2025132244
公報種別
公開特許公報(A)
公開日
2025-09-10
出願番号
2024029668
出願日
2024-02-29
発明の名称
情報処理装置、情報処理方法、及び情報処理プログラム
出願人
沖電気工業株式会社
代理人
弁理士法人きさ特許商標事務所
主分類
G01S
11/14 20060101AFI20250903BHJP(測定;試験)
要約
【課題】音波伝搬計算によって算出する指標の総合的な誤差を許容値に抑えることができる距離間隔を算出することができる情報処理装置、情報処理方法、及び情報処理プログラムを提供する。
【解決手段】情報処理装置は、音波伝搬計算によって指標を算出する際の距離間隔を算出する情報処理装置であって、複数の環境条件と、評価対象となる複数の距離間隔である複数の評価距離間隔との組み合わせのそれぞれにおいて、評価指標を算出する評価指標算出部と、複数の環境条件と、複数の評価距離間隔との組み合わせのそれぞれにおいて、評価指標と基準指標との差に基づき評価誤差を求める誤差算出部と、複数の環境条件のそれぞれにおいて、複数の評価距離間隔のそれぞれの評価誤差と許容誤差との比較結果に基づき、距離間隔の候補となる複数の候補距離間隔を算出し、記憶装置に記憶させる候補算出部と、記憶装置に記憶された複数の候補距離間隔から、与えられた環境条件に対応する候補距離間隔を距離間隔として決定する距離間隔決定部と、を備える。
【選択図】図4
特許請求の範囲
【請求項1】
音波伝搬計算によって指標を算出する際の距離間隔を算出する情報処理装置であって、
複数の環境条件と、評価対象となる複数の前記距離間隔である複数の評価距離間隔との組み合わせのそれぞれにおいて、評価指標を算出する評価指標算出部と、
複数の前記環境条件と、複数の前記評価距離間隔との組み合わせのそれぞれにおいて、前記評価指標と基準指標との差に基づき評価誤差を求める誤差算出部と、
複数の前記環境条件のそれぞれにおいて、複数の前記評価距離間隔のそれぞれの前記評価誤差と許容誤差との比較結果に基づき、前記距離間隔の候補となる複数の候補距離間隔を算出し、記憶装置に記憶させる候補算出部と、
前記記憶装置に記憶された複数の前記候補距離間隔から、与えられた前記環境条件に対応する前記候補距離間隔を前記距離間隔として決定する距離間隔決定部と、を備える
情報処理装置。
続きを表示(約 1,400 文字)
【請求項2】
前記誤差算出部は、前記基準指標として、複数の前記評価距離間隔のうちの最小の前記評価距離間隔の前記評価指標を用いる
請求項1に記載の情報処理装置。
【請求項3】
複数の前記評価距離間隔のうち、最小の前記評価距離間隔以外の前記評価距離間隔は、最小の前記評価距離間隔の整数倍であり、
前記誤差算出部は、最小の前記評価距離間隔以外の前記評価距離間隔の前記評価指標と、前記整数倍した最小の前記評価距離間隔の前記評価指標との差を取り、前記差の統計量に基づいて前記評価誤差を算出する
請求項2に記載の情報処理装置。
【請求項4】
前記候補算出部は、前記評価誤差が前記許容誤差以下となる最大の前記評価距離間隔を、前記候補距離間隔として算出する
請求項1~3の何れか1項に記載の情報処理装置。
【請求項5】
前記評価指標算出部は、評価海底傾斜と、評価海底音速と、評価水深との組み合わせによって定まる複数の前記環境条件における前記評価指標を計算する
請求項1~3の何れか1項に記載の情報処理装置。
【請求項6】
前記指標は、音源から受波器まで伝搬する音波の伝搬損失である
請求項1~3の何れか1項に記載の情報処理装置。
【請求項7】
音波伝搬計算によって指標を算出する際の距離間隔を算出する情報処理装置の情報処理方法であって、
複数の環境条件と、評価対象となる複数の前記距離間隔である複数の評価距離間隔との組み合わせのそれぞれにおいて、評価指標を算出する評価指標算出ステップと、
複数の前記環境条件と、複数の前記評価距離間隔との組み合わせのそれぞれにおいて、前記評価指標と基準指標との差に基づき評価誤差を求める誤差算出ステップと、
複数の前記環境条件のそれぞれにおいて、複数の前記評価距離間隔のそれぞれの前記評価誤差と許容誤差との比較結果に基づき、前記距離間隔の候補となる複数の候補距離間隔を算出し、記憶装置に記憶させる候補算出ステップと、
前記記憶装置に記憶された複数の前記候補距離間隔から、与えられた前記環境条件に対応する前記候補距離間隔を前記距離間隔として決定する距離間隔決定ステップと、を備える
情報処理方法。
【請求項8】
音波伝搬計算によって指標を算出する際の距離間隔を算出するための情報処理プログラムであって、
複数の環境条件と、評価対象となる複数の前記距離間隔である複数の評価距離間隔との組み合わせのそれぞれにおいて、評価指標を算出する評価指標算出ステップと、
複数の前記環境条件と、複数の前記評価距離間隔との組み合わせのそれぞれにおいて、前記評価指標と基準指標との差に基づき評価誤差を求める誤差算出ステップと、
複数の前記環境条件のそれぞれにおいて、複数の前記評価距離間隔のそれぞれの前記評価誤差と許容誤差との比較結果に基づき、前記距離間隔の候補となる複数の候補距離間隔を算出し、記憶装置に記憶させる候補算出ステップと、
前記記憶装置に記憶された複数の前記候補距離間隔から、与えられた前記環境条件に対応する前記候補距離間隔を前記距離間隔として決定する距離間隔決定ステップと、を情報処理装置のプロセッサに実行させる
情報処理プログラム。
発明の詳細な説明
【技術分野】
【0001】
本発明は、音波伝搬計算によって指標を算出する際の距離間隔を算出する情報処理装置、情報処理方法、及び情報処理プログラムに関するものである。
続きを表示(約 2,900 文字)
【背景技術】
【0002】
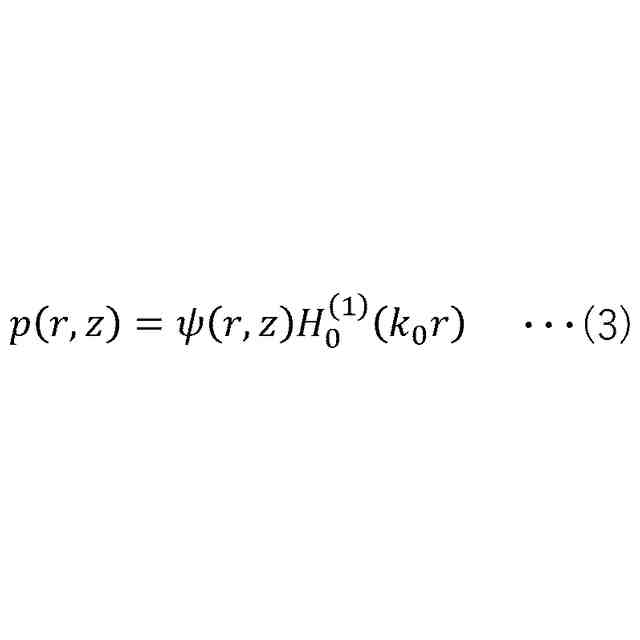
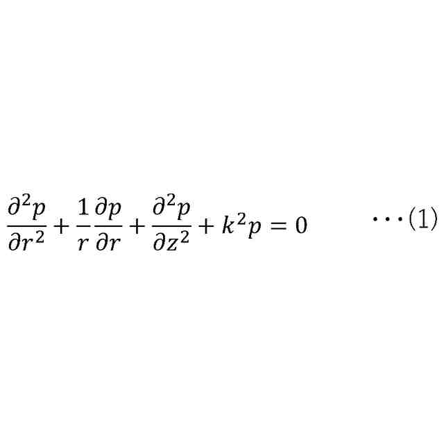
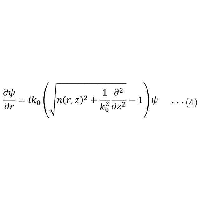
従来、海中の生物等の対象物の存在を、対象物から放射された音波を受波することによって検出するソーナー等の機器が知られている。対象物を音源とする音波は、反射及び屈折を繰り返しながら海中を伝搬し、ソーナー等の受波器に到達する。その伝搬経路は、海中の音速分布に依存するため一定ではなく、音源からの音波を適切な大きさの音圧で受波できる位置も一定ではない。そこで、音源から受波器までの音波伝搬の間にどれだけ音圧が低下するかを対象海域の音速分布を用いてあらかじめ算出しておくことが行われる。この音圧の低下は、伝搬損失と呼ばれ、各種の音波伝搬モデルを用いて計算される。非特許文献1及び2には、音波伝搬モデルとして、放物型方程式(Parabolic Equation)モデル(以下、「PEモデル」と称する)を用いる点が開示されている。
【先行技術文献】
【非特許文献】
【0003】
Jensen他, “Chapter 6. Parabolic Equations,“ in Computational Ocean Acoustics Second edition, 2011
Collins, “A split-step Pade solution for the parabolic equation method”, J. Acoust. Soc. Am. 93(4), Pt. 1 1993
【発明の概要】
【発明が解決しようとする課題】
【0004】
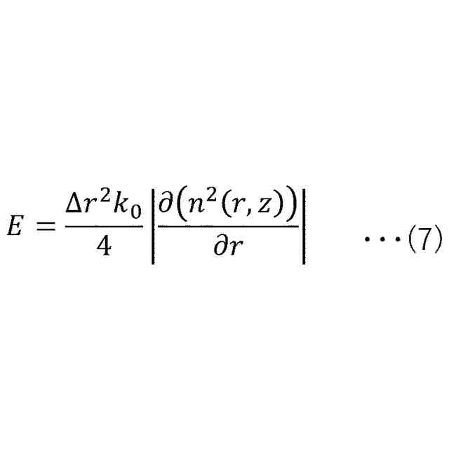
一般に、伝搬損失を算出する際には、海底下音速と水中音速との差に起因して、実際の伝搬損失との間に誤差が生じる。算出した伝搬損失と実際の伝搬損失との誤差は、包路線音圧を計算する際の距離間隔が小さいほど小さくなる。一方で、包路線音圧を計算する際の距離間隔が小さいほど計算量の増加を招くため、許容できる最大の距離間隔を設定することが重要とされている。しかしながら、非特許文献1及び2に開示された方法によれば、ある深度において1つの距離間隔だけで包絡線音圧の計算を行う際の海底下音速のみに依存して算出された伝搬損失の誤差に基づいて、誤差を許容値以下に抑えるための最大の距離間隔を算出していた。このため、従来の伝搬損失算出装置では、伝搬損失の総合的な誤差を許容値に抑える距離間隔を算出することができない場合がある。
【0005】
本発明は、上記のような課題を解決するためになされたもので、音波伝搬計算によって算出される指標の総合的な誤差を許容値に抑える距離間隔を算出することができる情報処理装置、情報処理方法、及び情報処理プログラムを提供することを目的とするものである。
【課題を解決するための手段】
【0006】
本発明に係る情報処理装置は、音波伝搬計算によって指標を算出する際の距離間隔を算出する情報処理装置であって、複数の環境条件と、評価対象となる複数の距離間隔である複数の評価距離間隔との組み合わせのそれぞれにおいて、評価指標を算出する評価指標算出部と、複数の環境条件と、複数の評価距離間隔との組み合わせのそれぞれにおいて、評価指標と基準指標との差に基づき評価誤差を求める誤差算出部と、複数の環境条件のそれぞれにおいて、複数の評価距離間隔のそれぞれの評価誤差と許容誤差との比較結果に基づき、距離間隔の候補となる複数の候補距離間隔を算出し、記憶装置に記憶させる候補算出部と、記憶装置に記憶された複数の候補距離間隔から、与えられた環境条件に対応する候補距離間隔を距離間隔として決定する距離間隔決定部と、を備える。
【0007】
本発明に係る情報処理方法は、音波伝搬計算によって指標を算出する際の距離間隔を算出する情報処理装置の情報処理方法であって、複数の環境条件と、評価対象となる複数の距離間隔である複数の評価距離間隔との組み合わせのそれぞれにおいて、評価指標を算出する評価指標算出ステップと、複数の環境条件と、複数の評価距離間隔との組み合わせのそれぞれにおいて、評価指標と基準指標との差に基づき評価誤差を求める誤差算出ステップと、複数の環境条件のそれぞれにおいて、複数の評価距離間隔のそれぞれの評価誤差と許容誤差との比較結果に基づき、距離間隔の候補となる複数の候補距離間隔を算出し、記憶装置に記憶させる候補算出ステップと、記憶装置に記憶された複数の候補距離間隔から、与えられた環境条件に対応する候補距離間隔を距離間隔として決定する距離間隔決定ステップと、を備える。
【0008】
本発明に係る情報処理プログラムは、音波伝搬計算によって指標を算出する際の距離間隔を算出するための情報処理プログラムであって、複数の環境条件と、評価対象となる複数の距離間隔である複数の評価距離間隔との組み合わせのそれぞれにおいて、評価指標を算出する評価指標算出ステップと、複数の環境条件と、複数の評価距離間隔との組み合わせのそれぞれにおいて、評価指標と基準指標との差に基づき評価誤差を求める誤差算出ステップと、複数の環境条件のそれぞれにおいて、複数の評価距離間隔のそれぞれの評価誤差と許容誤差との比較結果に基づき、距離間隔の候補となる複数の候補距離間隔を算出し、記憶装置に記憶させる候補算出ステップと、記憶装置に記憶された複数の候補距離間隔から、与えられた環境条件に対応する候補距離間隔を距離間隔として決定する距離間隔決定ステップと、を情報処理装置のプロセッサに実行させる。
【発明の効果】
【0009】
本発明によれば、算出する距離間隔の候補となる複数の候補距離間隔について、複数の環境条件のそれぞれにおいて、複数の評価距離間隔のそれぞれの評価誤差と許容誤差との比較結果に基づき算出している。このため、情報処理装置、情報処理方法、及び情報処理プログラムは、音波伝搬計算によって算出する指標の総合的な誤差を許容値に抑える距離間隔を算出することができる。
【図面の簡単な説明】
【0010】
従来の伝搬損失算出装置を示すブロック図である。
海底が一定の傾斜をもつ距離依存環境を示す模式図である。
異なる海底傾斜をもつ2つの距離依存環境を示す模式図である。
実施の形態1に係る伝搬損失算出装置を示すブロック図である。
実施の形態1に係る伝搬損失算出方法を示すフローチャートである。
実施の形態1に係る、最小評価距離間隔以外の評価伝搬損失と基準伝搬損失との差の取り方を説明するための図である。
実施の形態1に係る候補距離間隔の算出方法を説明するための図である。
実施の形態1に係る補間方法を説明するための図である。
実施の形態1の変形例に係る、音源から受波器までの間の区間を、一定の海底傾斜をもつ区間に分割する方法を説明するための図である。
【発明を実施するための形態】
(【0011】以降は省略されています)
この特許をJ-PlatPat(特許庁公式サイト)で参照する
関連特許
個人
計量スプーン
23日前
個人
微小振動検出装置
1か月前
株式会社イシダ
X線検査装置
1か月前
日本精機株式会社
位置検出装置
1日前
日本精機株式会社
位置検出装置
1日前
日本精機株式会社
位置検出装置
1日前
三菱電機株式会社
計測器
1か月前
大和製衡株式会社
組合せ秤
6日前
大和製衡株式会社
組合せ秤
6日前
株式会社辰巳菱機
システム
1か月前
株式会社東芝
センサ
6日前
アンリツ株式会社
分光器
29日前
ダイハツ工業株式会社
測定用具
27日前
株式会社東芝
センサ
6日前
株式会社FRPカジ
FRP装置
1か月前
トヨタ自動車株式会社
表示装置
15日前
株式会社東芝
センサ
1か月前
アンリツ株式会社
分光器
29日前
トヨタ自動車株式会社
検査装置
3日前
株式会社ユーシン
操作検出装置
3日前
株式会社ヨコオ
コンタクタ
27日前
株式会社カワタ
サンプリング装置
1か月前
学校法人立命館
液面レベルセンサ
1か月前
東レエンジニアリング株式会社
計量装置
3日前
株式会社ナリス化粧品
角層細胞採取用具
13日前
大和製衡株式会社
組合せ計量装置
1か月前
TDK株式会社
磁気センサ
1か月前
日本精工株式会社
分注装置
1か月前
富士レビオ株式会社
嵌合システム
1か月前
個人
粘塑性を用いた有限要素法の定式化
15日前
株式会社精工技研
光電圧プローブ
1か月前
TDK株式会社
磁気センサ
23日前
TDK株式会社
ガスセンサ
1か月前
株式会社熊谷組
RI計測装置
1日前
三菱マテリアル株式会社
温度センサ
13日前
三菱マテリアル株式会社
温度センサ
13日前
続きを見る
他の特許を見る