TOP
|
特許
|
意匠
|
商標
特許ウォッチ
Twitter
他の特許を見る
10個以上の画像は省略されています。
公開番号
2025137024
公報種別
公開特許公報(A)
公開日
2025-09-19
出願番号
2024035992
出願日
2024-03-08
発明の名称
発泡樹脂成形品の気泡成長予測方法、気泡成長予測装置、気泡成長予測プログラム、及び記録媒体
出願人
マツダ株式会社
,
国立大学法人広島大学
代理人
弁理士法人前田特許事務所
主分類
B29C
44/60 20060101AFI20250911BHJP(プラスチックの加工;可塑状態の物質の加工一般)
要約
【課題】発泡樹脂の成長過程における気泡と気泡との合体を考慮してシミュレーションを実行し、予測精度を向上させる。
【解決手段】液相の結晶化温度を求める結晶化温度決定工程と、結晶化温度を読み込んだ上で、所定の容積において液相中に多数の気泡が発生及び成長するものとして発泡樹脂成形のシミュレーションを実行し、発泡樹脂成形品の気泡状態を算出する解析工程S2と、を備え、解析工程は、成長した気泡同士が接触した際に、気泡の表面張力及び液相の粘度に基づいて、該気泡同士が合体するか否かを判定すること、並びに、液相が前記結晶化温度に達した時点で気泡の成長が止まること、をシミュレーション条件に含む。
【選択図】図1
特許請求の範囲
【請求項1】
発泡樹脂を発泡させて成形する発泡樹脂成形品の気泡状態をコンピュータシミュレーションにより予測する方法であって、
液相の硬化後の体積収縮率を求める体積収縮率決定工程と、
前記体積収縮率を読み込んだ上で、所定の容積において液相中に多数の気泡が発生及び成長するものとして発泡樹脂成形のシミュレーションを実行し、発泡樹脂成形品の気泡状態を算出する解析工程と、を備え、
前記解析工程は、
成長した気泡同士が接触した際に、気泡の表面張力及び液相の粘度に基づいて、該気泡同士が合体するか否かを判定すること、並びに、
液相が所定温度に達した時点で、前記体積収縮率に基づいて液相の体積を算出し、該算出結果に基づいて気泡間の距離が短縮されること、をシミュレーション条件に含む
発泡樹脂成形品の気泡成長予測方法。
続きを表示(約 1,900 文字)
【請求項2】
請求項1において、
液相の結晶化温度を求める結晶化温度決定工程を更に備え、
前記解析工程は、前記結晶化温度を読み込んだ上で実行され、液相が前記結晶化温度に達した時点で、前記体積収縮率に基づいて液相の体積を算出する
発泡樹脂成形品の気泡成長予測方法。
【請求項3】
請求項1において、
前記解析工程の前に、液相中に2つの気泡が存在し、該2つの気泡が接近して合体するものとしてシミュレーションを実行し、該2つの気泡が合体する際の気泡の表面張力及び液相粘度のデータ群を算出し、該データ群を2つの気泡が合体するか否かの表面張力及び液相粘度の閾値として出力すること、及び、2つの気泡が接触した際にその接触点における該気泡の接線がなす角度を接触角とし、接触した該2つの気泡が合体するか否かの接触角の閾値を決定すること、を含む閾値決定工程を備え、
前記解析工程は、前記表面張力及び液相粘度の閾値並びに前記接触角の閾値を読み込んだ上で、成長した気泡同士が接触した際の気泡の表面張力及び液相の粘度が前記表面張力及び液相粘度の閾値を超え、かつ、該気泡同士の接触角が前記接触角の閾値を超える場合に、該気泡同士が合体することをシミュレーション条件に含む
発泡樹脂成形品の気泡成長予測方法。
【請求項4】
請求項2において、
前記データ群は、2つの気泡が合体する際の気泡の表面張力及び液相粘度をテーブルデータ化したものであり、前記解析工程は前記テーブルデータを読み込んだ上でシミュレーションを実行する
発泡樹脂成形品の気泡成長予測方法。
【請求項5】
請求項1から4のいずれか1項において、
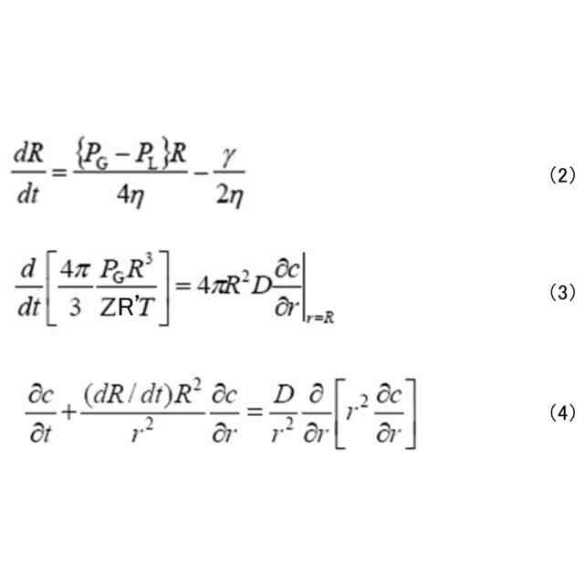
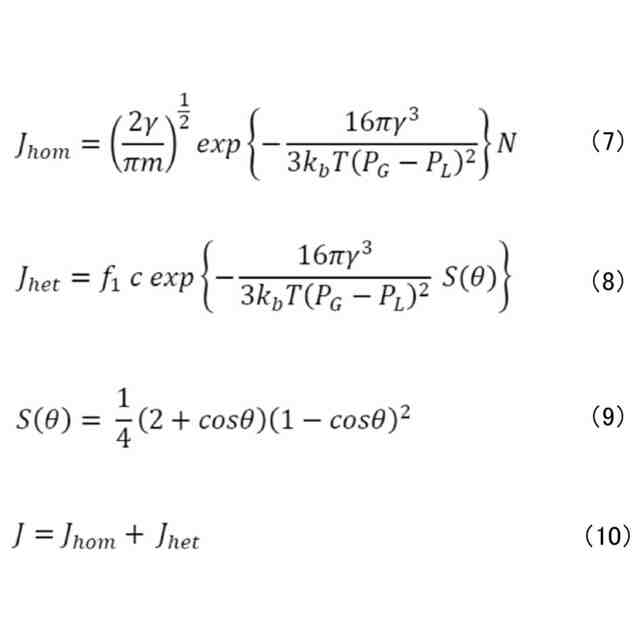
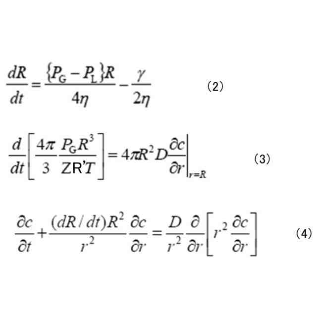
前記解析工程は、下記式(1)に基づいて気泡の発生速度を算出し、下記式(2)~(4)に基づいて気泡の成長速度を算出する発泡樹脂成形品の気泡成長予測方法。
JPEG
2025137024000009.jpg
29
143
(但し、式(1)中、γは気泡/液相界面の表面張力、mはガス1分子当たりの質量、k
B
はボルツマン定数、Tは温度、P
G
は気泡内圧、P
L
は環境圧力、N
A
はアボガドロ定数、cは液相中のガス濃度である。)
JPEG
2025137024000010.jpg
80
143
(但し、式(2)~(4)中、ηは液相の粘度、Rは気泡半径、rは気泡内の半径方向の位置、R’は気体定数、Dは拡散係数、γは気泡/液相界面の表面張力、tは時間、P
G
は気泡内圧、P
L
は環境圧力、cは液相中のガス濃度である。)
【請求項6】
発泡樹脂を発泡させて成形する発泡樹脂成形品の気泡状態をコンピュータシミュレーションにより予測する装置であって、
少なくとも1つの演算部を備え、
前記演算部は、液相の硬化後の体積収縮率を読み込んだ上で、所定の容積において液相中に多数の気泡が発生及び成長するものとして発泡樹脂成形のシミュレーションを実行し、
成長した気泡同士が接触した際は、気泡の表面張力及び液相の粘度に基づいて、該気泡同士が合体するか否かを判定すること、並びに、
液相が所定温度に達した時点で、前記体積収縮率に基づいて液相の体積を算出し、該算出結果に基づいて気泡間の距離が短縮されること、をシミュレーション条件に含む
ように構成される発泡樹脂成形品の気泡成長予測装置。
【請求項7】
発泡樹脂を発泡させて成形する発泡樹脂成形品の気泡状態をコンピュータシミュレーションにより解析するためのプログラムであって、
液相の硬化後の体積収縮率を読み込んだ上で、所定の容積において液相中に多数の気泡が発生及び成長するものとして発泡樹脂成形のシミュレーションを実行し、発泡樹脂成形品の気泡状態を算出する手順をコンピュータに実行させるものであり、
成長した気泡同士が接触した際は、気泡の表面張力及び液相の粘度に基づいて、該気泡同士が合体するか否かを判定すること、並びに、
液相が所定温度に達した時点で、前記体積収縮率に基づいて液相の体積を算出し、該算出結果に基づいて気泡間の距離が短縮されること、をシミュレーション条件に含む発泡樹脂成形品の気泡成長予測プログラム。
【請求項8】
請求項7に記載された発泡樹脂成形品の気泡成長予測プログラムを記録したコンピュータ読み取り可能な記録媒体。
発明の詳細な説明
【技術分野】
【0001】
本開示は、発泡樹脂成形品の気泡成長予測方法、気泡成長予測装置、気泡成長予測プログラム、及び記録媒体に関する。
続きを表示(約 2,000 文字)
【背景技術】
【0002】
自動車の外装材や内装材、電化製品、各種容器等に広く用いられる発泡樹脂成形品は、吸音機能や断熱機能等を備える。このような発泡樹脂成形品は、成形時の温度や圧力等の条件が気泡径や気泡数密度に影響し、成形品としての性能を左右する。
【0003】
従来の発泡樹脂成形品の開発においては、温度や圧力等の条件を振って試作し、成形品の発泡構造と特性の解析を行うことにより、目的とする性能に近づける手法が一般的であるが、狙った性能を発現可能な成形条件へ辿り着くまでに多大な時間とコストを要する。
【0004】
そこで近年、発泡樹脂の成形過程における気泡の成長をシミュレーションし、狙った性能を発現する発泡樹脂成形品を得るための成形条件を予め予測する試みが提案されている。例えば、特許文献1には、押出発泡におけるダイ内での発泡状態のシミュレーションにおいて、実質的に気泡が生成され始める時の値としての実質気泡核生成速度を気泡核生成速度式に適用し、発泡開始圧力を推定することが開示されている。また、その結果を用いて気泡核生成と気泡成長とを同時に考慮したシミュレーションを行うことが開示されている。
【0005】
このような発泡樹脂のシミュレーションには、既知の気泡核生成モデルや気泡成長モデルが用いられる(例えば、非特許文献1-3)。非特許文献1には、気泡核生成モデルとして核生成速度式が提案されている。非特許文献2には、気泡界面の運動方程式、気泡内ガスの物質収支式、及び気泡界面近傍でのガスの拡散方程式の3つの基本方程式で構成された気泡成長モデルが提案されている。また、非特許文献3には、接近した気泡と気泡の間に生じる濃度境界層の重なりを考慮して、既知の気泡核生成モデル及び気泡成長モデルを発展させたことが記載されている。
【先行技術文献】
【特許文献】
【0006】
特開2000-135731号公報
【非特許文献】
【0007】
M. Blander, J. L. Katz, The thermodynamics of cluster formation in nucleation theory, J. Statistical Physics 4, 1972
Shafi, M.A., Joshi, K., Flumerfelt, R.W., bubble size distributions in freely expanded polymer foams, Chemical Engineering Science 52 ,1997
孫穎, 高圧ガスを用いたポリマーの物理発泡過程の実験的検討とシミュレーション, 広島大学大学院工学研究科博士論文, 2015(https://ir.lib.hiroshima-u.ac.jp/00040233)
【発明の概要】
【発明が解決しようとする課題】
【0008】
ところで、発泡樹脂成形品の構造因子として、特に吸音機能に影響するのは、発泡樹脂成形品の気泡径及び気泡と気泡が合体して生じる通路の大きさ(スロート径)である。これらを緻密に制御できる成形条件を見出せば、例えば、発泡樹脂成形品に特定の範囲の周波数を吸収する吸音機能を持たせることも可能となる。気泡と気泡とが合体せず接触した状態と、気泡と気泡とが合体した状態とでは、吸音機能に大きな差が生じる。そのため、発泡樹脂成形品の気泡状態をより詳細に予測し、高精度で目的の性能を発現する成形条件を見出すには、気泡と気泡とが合体することをシミュレーション条件に含むことが必要である。
【0009】
しかしながら、上記特許文献1には、気泡核生成及び気泡成長を考慮したシミュレーションを行うことについては開示があるものの、気泡と気泡とが接触して合体することについては言及されていない。このような従来のシミュレーションでは、全ての気泡が独立した状態であるものとし、気泡の発生に必要なガスが全て消費された際に気泡の成長が止まるものとして算出され、気泡同士の合体は考慮されない。非特許文献3においても、気泡と気泡の接近によって生じる濃度境界層の重なりを考慮することについて記載はあるものの、気泡同士の合体については記載されていない。
【0010】
このように、従来技術では、発泡樹脂の成形過程のシミュレーションにおいて、気泡と気泡との合体が考慮されていないために、シミュレーションによる構造が、実際の成形加工により成形される構造と異なり、その性能にも差が生じるおそれがある。
(【0011】以降は省略されています)
特許ウォッチbot のツイートを見る
この特許をJ-PlatPat(特許庁公式サイト)で参照する
関連特許
マツダ株式会社
二次電池
14日前
マツダ株式会社
排気浄化装置
1か月前
マツダ株式会社
排気浄化装置
1か月前
マツダ株式会社
モータシステム
1か月前
マツダ株式会社
車両用駆動装置
22日前
マツダ株式会社
車両用駆動装置
22日前
マツダ株式会社
車両用駆動装置
22日前
マツダ株式会社
車両用駆動装置
22日前
マツダ株式会社
車両用駆動装置
22日前
マツダ株式会社
燃料改質システム
1か月前
マツダ株式会社
水噴射式エンジン
1か月前
マツダ株式会社
エンジンシステム
1か月前
マツダ株式会社
エンジンシステム
1か月前
マツダ株式会社
冷媒循環システム
16日前
マツダ株式会社
冷媒循環システム
16日前
マツダ株式会社
冷媒循環システム
16日前
マツダ株式会社
冷媒循環システム
16日前
マツダ株式会社
冷媒循環システム
16日前
マツダ株式会社
冷媒循環システム
16日前
マツダ株式会社
冷媒循環システム
16日前
マツダ株式会社
車両用リッド構造
1か月前
マツダ株式会社
水噴射式エンジン
1か月前
マツダ株式会社
冷媒循環システム
16日前
マツダ株式会社
冷媒循環システム
1か月前
マツダ株式会社
冷媒循環システム
1か月前
マツダ株式会社
冷媒循環システム
1か月前
マツダ株式会社
冷媒循環システム
1か月前
マツダ株式会社
冷媒循環システム
1か月前
マツダ株式会社
モータ軸受システム
4日前
マツダ株式会社
車両の下部車体構造
今日
マツダ株式会社
車両の下部車体構造
今日
マツダ株式会社
車両の下部車体構造
今日
マツダ株式会社
車両の下部車体構造
今日
マツダ株式会社
車両の下部車体構造
4日前
マツダ株式会社
モータ軸受システム
4日前
マツダ株式会社
車両の下部車体構造
4日前
続きを見る
他の特許を見る