TOP
|
特許
|
意匠
|
商標
特許ウォッチ
Twitter
他の特許を見る
10個以上の画像は省略されています。
公開番号
2025137571
公報種別
公開特許公報(A)
公開日
2025-09-19
出願番号
2025115909,2022540218
出願日
2025-07-09,2021-07-20
発明の名称
着色樹脂組成物、カラーフィルタ、画像表示装置、及び着色剤分散液
出願人
三菱ケミカル株式会社
代理人
個人
,
個人
,
個人
主分類
G02B
5/20 20060101AFI20250911BHJP(光学)
要約
【課題】輝度が高く、コントラストが良好な着色樹脂組成物を提供する。
【解決手段】本発明の着色樹脂組成物は、(A)着色剤、(B)溶剤、(C)分散剤、(D)アルカリ可溶性樹脂、及び(E)光重合開始剤を含有する着色樹脂組成物であって、前記(A)着色剤が、特定の化学構造を有するフタロシアニン化合物を含み、前記(C)分散剤が、アミン価が50mgKOH/g以上の分散剤(c1)を含み、前記フタロシアニン化合物と分散剤(c1)の含有比率(フタロシアニン化合物/分散剤(c1))が5以上であることを特徴とする。
【選択図】なし
特許請求の範囲
【請求項1】
(A)着色剤、(B)溶剤、及び(C)分散剤を含有する着色剤分散液であって、
前記(A)着色剤が、下記一般式(1)で表される化学構造を有するフタロシアニン化合物を含むことを特徴とする着色剤分散液。
TIFF
2025137571000049.tif
106
170
(式(1)中、A
1
~A
16
は各々独立に、水素原子、ハロゲン原子、又は下記一般式(2)で表される基を表す。ただし、A
1
~A
16
のうち6つ以上はフッ素原子を表し、A
1
~A
16
のうち1つ以上は下記一般式(2)で表される基を表す。)
TIFF
2025137571000050.tif
25
170
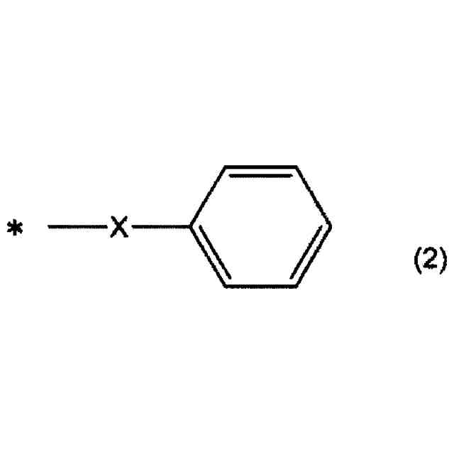
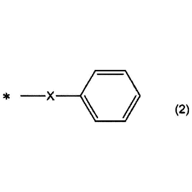
(式(2)中、Xは2価の連結基を表す。式(2)中のベンゼン環は任意の置換基を有していてもよい。*は結合手を表す。)
続きを表示(約 940 文字)
【請求項2】
前記(C)分散剤が、アミン価が50mgKOH/g以上の分散剤(c1)を含む請求項1に記載の着色剤分散液。
【請求項3】
前記分散剤(c1)が下記一般式(c1-1)で表される繰り返し単位を含み、
前記分散剤(c1)における下記一般式(c1-2)で表される繰り返し単位の含有割合が、下記一般式(c1-1)で表される繰り返し単位の含有割合と下記一般式(c1-2)で表される繰り返し単位の含有割合の合計に対して35モル%以下である、請求項2に記載の着色剤分散液。
TIFF
2025137571000051.tif
47
170
(式(c1-1)中、R
1
及びR
2
は各々独立に、水素原子、置換基を有していてもよいアルキル基、置換基を有していてもよいアリール基、又は置換基を有していてもよいアラルキル基であり、R
1
及びR
2
が互いに結合して環状構造を形成してもよい。
R
3
は水素原子又はメチル基である。
Xは2価の連結基である。)
TIFF
2025137571000052.tif
53
170
(式(c1-2)中、R
6
~R
8
は各々独立に、水素原子、置換基を有していてもよいアルキル基、置換基を有していてもよいアリール基、又は置換基を有していてもよいアラルキル基であり、R
6
~R
8
のうち2つ以上が互いに結合して環状構造を形成してもよい。
R
9
は水素原子又はメチル基である。
Zは2価の連結基であり、Y
-
は対アニオンである。)
【請求項4】
前記フタロシアニン化合物と分散剤(c1)の含有比率(フタロシアニン化合物/分散剤(c1))が5以上である請求項2又は3に記載の着色剤分散液。
【請求項5】
カラーフィルタを形成するために用いる、請求項1~4のいずれか1項に記載の着色剤分散液。
発明の詳細な説明
【技術分野】
【0001】
本発明は、着色樹脂組成物、カラーフィルタ、画像表示装置、及び着色剤分散液に関する。
本願は、2020年7月31日に日本に出願された特願2020-130832号、2020年8月20日に日本に出願された特願2020-139037号、及び2020年8月20日に日本に出願された特願2020-139038号に基づき優先権を主張し、その内容をここに援用する。
続きを表示(約 1,400 文字)
【背景技術】
【0002】
従来、液晶表示装置等に用いられるカラーフィルタを製造する方法としては、顔料分散法、染色法、電着法、印刷法が知られている。中でも、分光特性、耐久性、パターン形状及び精度等の観点から、平均的に優れた特性を有する顔料分散法が最も広範に採用されている。
【0003】
近年、カラーフィルタに対して、より高輝度、高コントラスト且つ高色域化が要求されている。カラーフィルタの色を決める着色剤としては、耐熱性、耐光性等の観点から一般には顔料が用いられているが、顔料では特に高輝度については市場要求を満たすことが出来なくなってきており、着色剤として顔料に替えて染料を用いる検討が盛んにおこなわれている。緑色画素については染料として特定のフタロシアニン化合物を用いる検討が行われている(例えば、特許文献1~3参照)。
【先行技術文献】
【特許文献】
【0004】
日本国特開2009-051896号公報
国際公開第2014/157387号
日本国特開2014-43556号公報
【発明の概要】
【発明が解決しようとする課題】
【0005】
本発明者らが検討を行ったところ、特許文献1に記載されている着色樹脂組成物では、実用上輝度が十分ではないことが見出された。また、特許文献2及び3に記載されている着色樹脂組成物では、そこに含まれるフタロシアニン化合物が溶剤中に十分には溶解しておらず、経時間での沈降や加熱処理によって凝集し、コントラスト悪化の原因となっていることが見出された。
そこで本発明は、輝度が高く、コントラストが良好な着色樹脂組成物を提供することを目的とする。
【課題を解決するための手段】
【0006】
本発明者らが鋭意検討を行った結果、着色剤として特定のフタロシアニン化合物を用い、さらに、分散剤としてアミン価が特定範囲内の分散剤を用いることで、上記課題を解決することができることを見出し、本発明に至った。
すなわち、本発明は以下の[1]~[8]の構成を有する。
【0007】
[1](A)着色剤、(B)溶剤、(C)分散剤、(D)アルカリ可溶性樹脂、及び(E)光重合開始剤を含有する着色樹脂組成物であって、
前記(A)着色剤が、下記一般式(1)で表される化学構造を有するフタロシアニン化合物を含み、
前記(C)分散剤が、アミン価が50mgKOH/g以上の分散剤(c1)を含み、
前記フタロシアニン化合物と分散剤(c1)の含有比率(フタロシアニン化合物/分散剤(c1))が5以上であることを特徴とする着色樹脂組成物。
【0008】
TIFF
2025137571000001.tif
106
170
【0009】
(式(1)中、A
1
~A
16
は各々独立に、水素原子、ハロゲン原子、又は下記一般式(2)で表される基を表す。ただし、A
1
~A
16
のうち6つ以上はフッ素原子を表し、A
1
~A
16
のうち1つ以上は下記一般式(2)で表される基を表す。)
【0010】
TIFF
2025137571000002.tif
25
170
(【0011】以降は省略されています)
この特許をJ-PlatPat(特許庁公式サイト)で参照する
関連特許
三菱ケミカル株式会社
粘着シート
18日前
三菱ケミカル株式会社
ガス吸着フィルム
25日前
三菱ケミカル株式会社
ポリエステルフィルム
17日前
三菱ケミカル株式会社
ポリエステルフィルム
17日前
三菱ケミカル株式会社
アルコールの製造方法
24日前
三菱ケミカル株式会社
ポリエステルフィルム
17日前
三菱ケミカル株式会社
樹脂組成物の再利用方法
17日前
三菱ケミカル株式会社
積層体及びその製造方法
2日前
三菱ケミカル株式会社
樹脂組成物の再利用方法
17日前
三菱ケミカル株式会社
樹脂組成物の再利用方法
17日前
三菱ケミカル株式会社
樹脂組成物の再利用方法
17日前
三菱ケミカル株式会社
顕色剤及び感熱記録材料
16日前
三菱ケミカル株式会社
積層ポリエステルフィルム
2日前
三菱ケミカル株式会社
コークス炉の煉瓦組積構造
25日前
三菱ケミカル株式会社
チキソ性付与剤、液状組成物
2日前
三菱ケミカル株式会社
アクリル酸エチルの製造方法
6日前
三菱ケミカル株式会社
樹脂組成物、硬化物及び接着剤
16日前
三菱ケミカル株式会社
硬化性組成物、硬化物、積層体
6日前
三菱ケミカル株式会社
ポリエステル及びその製造方法
2日前
三菱ケミカル株式会社
眼科用医療器具及びその製造方法
3日前
三菱ケミカル株式会社
放射線検出素子及び放射線検出器
17日前
三菱ケミカル株式会社
粘着剤組成物、粘着剤及び粘着シート
2日前
三菱ケミカル株式会社
樹脂分散体、塗料、接着剤及び積層体
2日前
三菱ケミカル株式会社
粘着剤組成物、粘着剤及び粘着シート
16日前
三菱ケミカル株式会社
モビリティ用表示装置、および、移動体
17日前
三菱ケミカル株式会社
樹脂組成物、成形材料、及び樹脂成形体
16日前
三菱ケミカル株式会社
液晶組成物及びこれを用いた液晶調光素子
17日前
三菱ケミカル株式会社
食品用シート、容器及び電子レンジ加温用容器
4日前
三菱ケミカル株式会社
共重合体、感光性樹脂組成物、硬化物、積層体
16日前
三菱ケミカル株式会社
共重合体、感光性樹脂組成物、硬化物、積層体
16日前
三菱ケミカル株式会社
メタクリル酸メチル系重合体及びその製造方法
24日前
三菱ケミカル株式会社
共重合体、医療用コーティング剤及び医療機器
16日前
三菱ケミカル株式会社
ポリビニルアルコール系樹脂組成物ペレット群
6日前
三菱ケミカル株式会社
多孔エレクトレットフィルム及び積層圧電シート
6日前
三菱ケミカル株式会社
組成物、粘着剤組成物、粘着剤、及び粘着シート
9日前
三菱ケミカル株式会社
活性エネルギー線硬化性粘着剤組成物及びその用途
6日前
続きを見る
他の特許を見る