TOP
|
特許
|
意匠
|
商標
特許ウォッチ
Twitter
他の特許を見る
10個以上の画像は省略されています。
公開番号
2025139570
公報種別
公開特許公報(A)
公開日
2025-09-26
出願番号
2025037954
出願日
2025-03-11
発明の名称
感光性着色組成物、硬化物、画像表示パネル、カラーフィルター、画像表示装置、及び硬化物の製造方法
出願人
JSR株式会社
代理人
弁理士法人ユニアス国際特許事務所
主分類
G03F
7/075 20060101AFI20250918BHJP(写真;映画;光波以外の波を使用する類似技術;電子写真;ホログラフイ)
要約
【課題】本発明は、保存安定性に優れ、パターン形成の際に感度に優れ、残渣とアウトガスの発生を抑制できる感光性着色組成物、硬化物、画像表示パネル、カラーフィルター、画像表示装置、及び硬化物の製造方法を提供することを目的とする。
【解決手段】式(1)で表される構造単位(I)を有するシルセスキオキサン、アルカリ可溶性樹脂、色材、感放射線性ラジカル重合開始剤、及び有機溶媒を含み、上記シルセスキオキサンを構成する構造単位の合計含有量に対するシラノール基の含有量が、モル比で0.3未満である感光性着色組成物。
<com:Image com:imageContentCategory="Drawing"> <com:ImageFormatCategory>TIFF</com:ImageFormatCategory> <com:FileName>2025139570000031.tif</com:FileName> <com:HeightMeasure com:measureUnitCode="Mm">29</com:HeightMeasure> <com:WidthMeasure com:measureUnitCode="Mm">150</com:WidthMeasure> </com:Image>
(式(1)中、Xは、特定構造の基である。)
【選択図】なし
特許請求の範囲
【請求項1】
下記式(1)で表される構造単位(I)を有するシルセスキオキサン、
アルカリ可溶性樹脂、
色材、
感放射線性ラジカル重合開始剤、及び
有機溶媒を含み、
上記シルセスキオキサンを構成する構造単位の合計含有量に対するシラノール基の含有量が、モル比で0.3未満である感光性着色組成物。
TIFF
2025139570000027.tif
29
150
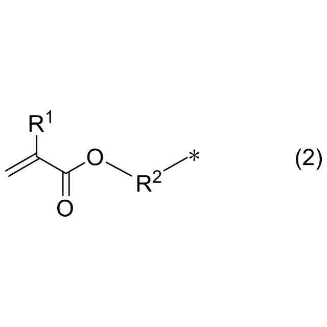
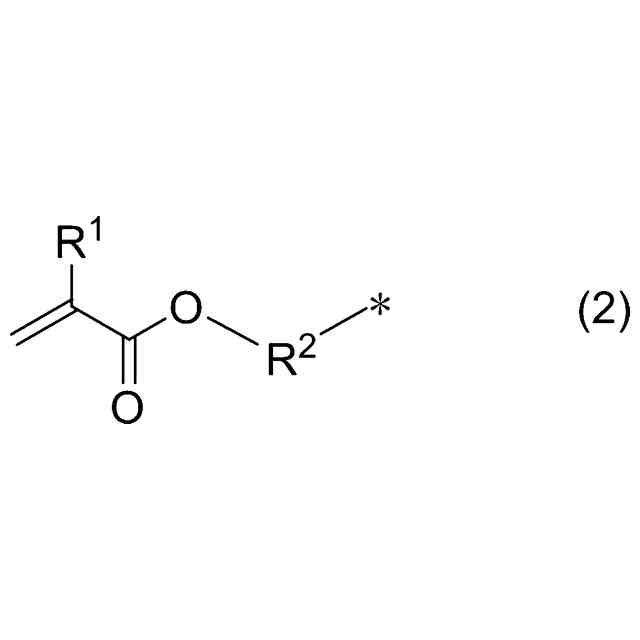
(上記式(1)中、Xは、下記式(2)で表される基である。
TIFF
2025139570000028.tif
26
150
(上記式(2)中、R
1
は、それぞれ独立して、水素原子又はメチル基である。R
2
は、それぞれ独立して、炭素数2~10のアルカンジイル基である。))
続きを表示(約 990 文字)
【請求項2】
上記式(1)で表される構造単位(I)に加えて、下記式(3)で表される構造単位(II)を有するシルセスキオキサンを含む、請求項1に記載の感光性着色組成物。
TIFF
2025139570000029.tif
29
150
(上記式(3)中、Yは、下記式(4a)、式(4b)、又は式(4c)で表される。)
TIFF
2025139570000030.tif
132
150
(上記式(4a)、式(4b)、及び式(4c)中、R
1
は、それぞれ独立して、水素原子又はメチル基である。R
2
は、それぞれ独立して、炭素数2~10のアルカンジイル基である。R
3
は、2価の有機基である。R
4
は、単結合又は2価の有機基である。Xは、ハロゲン原子、ヒドロキシ基、カルボキシ基、シアノ基、ニトロ基、アルキル基、又はアルコキシ基である。nは0~4の整数である。nが2以上の場合、複数のXは互いに同一又は異なる。*は、結合部位を示す。)
【請求項3】
上記シルセスキオキサンにおける構造単位(I)及び構造単位(II)の合計含有量に対する構造単位(I)の含有量が、10モル%以上100モル%以下である請求項2に記載の感光性着色組成物。
【請求項4】
重合性基を2個以上有する重合性化合物をさらに含む請求項1に記載の感光性着色組成物。
【請求項5】
請求項1~4のいずれか1項に記載の感光性着色組成物を硬化させた硬化物。
【請求項6】
光学濃度(OD値)が0.5~4.0の範囲である請求項5記載の硬化物。
【請求項7】
カラーフィルター、ブラックマトリクス、又は遮光隔壁材である請求項5に記載の硬化物。
【請求項8】
請求項5に記載の硬化物をカラーフィルターのカラーパターンとして備える画像表示パネル。
【請求項9】
請求項8に記載の画像表示パネルを備える画像表示装置。
【請求項10】
請求項5に記載の硬化物をブラックマトリクスとして備えるカラーフィルター。
(【請求項11】以降は省略されています)
発明の詳細な説明
【技術分野】
【0001】
本発明は、感光性着色組成物、硬化物、画像表示パネル、カラーフィルター、画像表示装置、及び硬化物の製造方法に関する。
続きを表示(約 2,000 文字)
【背景技術】
【0002】
表示デバイスが有するカラーフィルタ、ブラックマトリクスを製造する方法として、近年、フォトリソグラフィ法が主流となっている。例えば、フォトリソグラフィ法によりカラーフィルタを製造する場合、染料等の色材と重合体とを含有する感光性組成物を基板上に塗布して塗膜を形成した後、所定の開口パターンを有するフォトマスクを介して露光し、次いで現像して未露光部分を溶解除去することにより硬化パターン(すなわち、着色パターン)を形成する方法が一般に採用されている(例えば、特許文献1参照)。現像後は、通常、200~250℃の温度で30~60分程度ポストベークすることにより塗膜の硬化を促進させ、膜の溶剤耐性や膜硬度等を高めることが行われる。
【0003】
有機エレクトロルミネッセンス(有機EL)素子を用いた表示装置では、表示領域を隔壁材(バンクともいう)により区画し、隔壁間に有機発光物質をインクジェット法等により塗布して発光層を形成することが行われている。また近年では、色材を含む感光性組成物を用いて、フォトリソグラフィ法により隔壁を形成することにより、隔壁に遮光性を付与することが行われている。
【先行技術文献】
【特許文献】
【0004】
特開平2-144502号公報
【発明の概要】
【発明が解決しようとする課題】
【0005】
感光性組成物が色材を含む場合、解像性が劣る場合や、得られた硬化物に残渣が発生する場合があった。また、感光性組成物が色材を含む場合、色材の吸収によって光硬化が阻害されるため、未硬化成分によるアウトガスが増加しやすいという問題があった。また、感光性組成物から形成された硬化物を高温(例えば200℃以上)で加熱することでも、アウトガスが発生する場合があった。前記硬化物を隔壁材として使用する場合、隔壁材は発光層に隣接するため、発生したアウトガスにより部分的に発光しない領域(以下、ダークスポットとも言う。)が発生するという問題があった。また、感光性組成物には、実際に使用するまで保管しても粘度等が増加しない(即ち、保存安定性に優れる)ことも要求されている。
【0006】
従って、本発明は、保存安定性に優れ、パターン形成の際に感度に優れ、残渣とアウトガスの発生を抑制できる感光性着色組成物、硬化物、画像表示パネル、カラーフィルター、画像表示装置、及び硬化物の製造方法を提供することを目的とする。
【課題を解決するための手段】
【0007】
本発明者らは、本課題を解決すべく鋭意検討を重ねた結果、下記構成を採用することにより、上記目的を達成できることを見出し、本発明を完成させるに至った。
【0008】
本発明は、一実施形態において、
下記式(1)で表される構造単位(I)を有するシルセスキオキサン、
アルカリ可溶性樹脂、
色材、
感放射線性ラジカル重合開始剤、及び
有機溶媒を含み、
上記シルセスキオキサンを構成する構造単位の合計含有量に対するシラノール基の含有量が、モル比で0.3未満である感光性着色組成物に関する。
TIFF
2025139570000001.tif
29
150
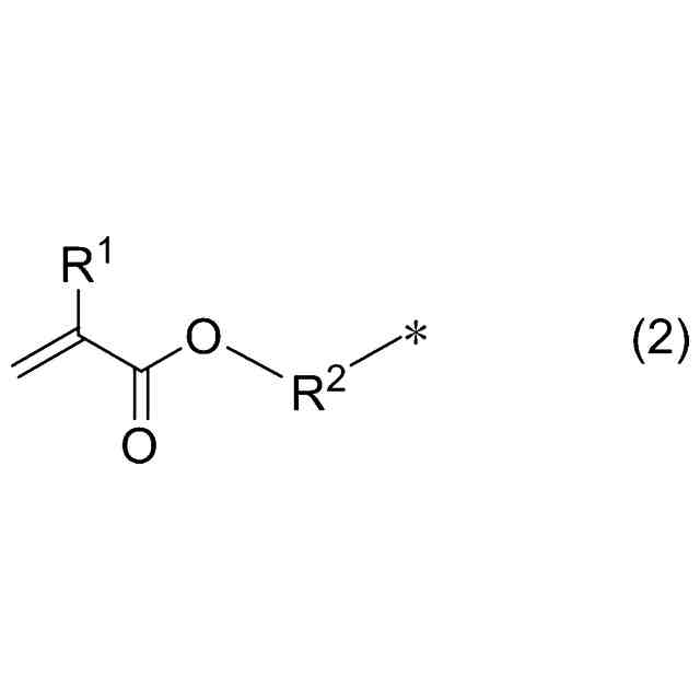
(上記式(1)中、Xは、下記式(2)で表される基である。
TIFF
2025139570000002.tif
26
150
(上記式(2)中、R
1
は、それぞれ独立して、水素原子又はメチル基である。R
2
は、それぞれ独立して、炭素数2~10のアルカンジイル基である。))
【0009】
本発明は、別の実施形態において、
上記感光性着色組成物を硬化させた硬化物、当該硬化物をカラーフィルターのカラーパターンとして備える画像表示パネル、当該画像表示パネルを備える画像表示装置、当該硬化物をブラックマトリクスとして備えるカラーフィルター、当該カラーフィルターを備える画像表示パネル、当該画像表示パネルを備える画像表示装置、当該硬化物を遮光隔壁材として備える画像表示装置に関する。
【0010】
本発明は、別の実施形態において、
前記感光性着色組成物を基材上に塗布して塗膜を形成する工程と、
前記塗膜を位置選択的に露光する工程と、
露光された上記塗膜を現像する工程と、
現像後のパターン化された塗膜を加熱する工程と、
を含むパターン化された硬化物の製造方法に関する。
【発明の効果】
(【0011】以降は省略されています)
この特許をJ-PlatPat(特許庁公式サイト)で参照する
関連特許
JSR株式会社
液晶配向剤、液晶配向膜、液晶素子、重合体及び化合物
6日前
JSR株式会社
液晶配向剤、液晶配向膜、液晶素子、重合体及び化合物
10日前
JSR株式会社
硬化性組成物、硬化膜、有機EL装置、及び硬化樹脂層の形成方法
1か月前
JSR株式会社
感放射線性樹脂組成物及びパターン形成方法
28日前
JSR株式会社
重合体、組成物、硬化物、積層体及び電子部品
14日前
JSR株式会社
レジストパターンの形成方法及び感放射線性樹脂組成物
2日前
JSR株式会社
感光性着色組成物、硬化物、画像表示パネル、カラーフィルター、画像表示装置、及び硬化物の製造方法
13日前
JSR株式会社
硬化性組成物、硬化膜、有機EL装置、及び硬化樹脂層の形成方法
1か月前
JSR株式会社
組成物、組成物の製造方法、光学フィルム、光学フィルムの製造方法、層、層の製造方法、光学フィルター、光学素子、固体撮像装置、およびカメラモジュール
2日前
日東電工株式会社
多層断熱材及び多層断熱材の製造方法
1か月前
株式会社シグマ
絞りユニット
21日前
キヤノン株式会社
撮像装置
20日前
キヤノン株式会社
撮像装置
14日前
キヤノン株式会社
撮像装置
1か月前
日本精機株式会社
車両用投射装置
今日
平和精機工業株式会社
雲台
1か月前
株式会社リコー
画像形成装置
10日前
株式会社リコー
画像形成装置
1か月前
株式会社リコー
画像形成装置
3か月前
株式会社リコー
画像形成装置
28日前
株式会社リコー
画像形成装置
3か月前
株式会社リコー
画像形成装置
1か月前
株式会社リコー
画像形成装置
1か月前
株式会社リコー
画像形成装置
2か月前
キヤノン株式会社
トナー
3か月前
トヨタ自動車株式会社
撮像方法
3か月前
株式会社オプトル
プロジェクタ
13日前
キヤノン株式会社
トナー
1日前
株式会社オプトル
プロジェクタ
1か月前
キヤノン株式会社
画像形成装置
1か月前
キヤノン株式会社
トナー
1か月前
キヤノン株式会社
画像形成装置
1か月前
シャープ株式会社
画像形成装置
1か月前
ブラザー工業株式会社
再生方法
1か月前
キヤノン株式会社
画像形成装置
2か月前
キヤノン株式会社
画像形成装置
2か月前
続きを見る
他の特許を見る