TOP
|
特許
|
意匠
|
商標
特許ウォッチ
Twitter
他の特許を見る
公開番号
2025138797
公報種別
公開特許公報(A)
公開日
2025-09-25
出願番号
2025110601,2023511016
出願日
2025-06-30,2022-03-22
発明の名称
重合体、組成物、硬化物、積層体及び電子部品
出願人
JSR株式会社
代理人
弁理士法人エスエス国際特許事務所
主分類
C08G
65/40 20060101AFI20250917BHJP(有機高分子化合物;その製造または化学的加工;それに基づく組成物)
要約
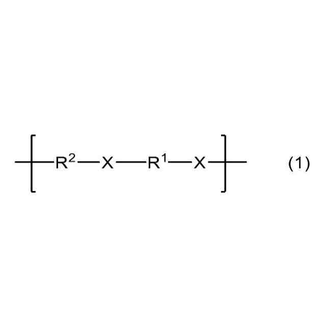
【課題】低誘電率・低誘電正接である重合体を提供し、低誘電率・低誘電正接であり、且つ、硬化性、接着性及び耐熱性にバランスよく優れる組成物及び積層体を提供すること。
【解決手段】式(1)で表される繰り返し構造単位を有し、式(a)で表される基Yを末端に有する重合体:
<com:Image com:imageContentCategory="Drawing"> <com:ImageFormatCategory>JPEG</com:ImageFormatCategory> <com:FileName>2025138797000053.jpg</com:FileName> <com:HeightMeasure com:measureUnitCode="Mm">18</com:HeightMeasure> <com:WidthMeasure com:measureUnitCode="Mm">161</com:WidthMeasure> </com:Image> Xはそれぞれ独立して、-O-、-S-又は-N(R
3
)-、R
3
は、水素原子、炭素数1~20の1価の炭化水素基、炭素数1~20の1価のハロゲン化炭化水素基、又は、これら炭化水素基若しくはハロゲン化炭化水素基における一部が酸素原子及び硫黄原子から選ばれる少なくとも1つで置換された基、R
1
は2価の有機基、R
2
は2価の非置換又は置換のピリミジン環;
<com:Image com:imageContentCategory="Drawing"> <com:ImageFormatCategory>TIFF</com:ImageFormatCategory> <com:FileName>2025138797000054.tif</com:FileName> <com:HeightMeasure com:measureUnitCode="Mm">7</com:HeightMeasure> <com:WidthMeasure com:measureUnitCode="Mm">127</com:WidthMeasure> </com:Image> Yは、炭素数3~50のエチレン性不飽和二重結合を含有する基。
【選択図】なし
特許請求の範囲
【請求項1】
下記式(1)で表される繰り返し構造単位を有し、
下記式(a)で表される基Yを末端に有する重合体:
JPEG
2025138797000050.jpg
18
161
式(1)中、Xはそれぞれ独立して、-O-、-S-又は-N(R
3
)-であり、R
3
は、水素原子、炭素数1~20の1価の炭化水素基、炭素数1~20の1価のハロゲン化炭化水素基、又は、これら炭化水素基若しくはハロゲン化炭化水素基における一部が酸素原子及び硫黄原子から選ばれる少なくとも1つで置換された基であり、R
1
は、2価の有機基であり、R
2
は、2価の非置換又は置換のピリミジン環である;
TIFF
2025138797000051.tif
7
127
式(a)中、Yは、炭素数3~50のエチレン性不飽和二重結合を含有する基である。
続きを表示(約 1,100 文字)
【請求項2】
前記式(1)におけるR
1
で表される2価の有機基が、下記式(2-1)で表される基を含有する、請求項1に記載の重合体:
JPEG
2025138797000052.jpg
27
162
式(2-1)中、Ar
1
及びAr
2
はそれぞれ独立して、非置換若しくは置換の芳香族炭化水素基であり、Lは、単結合、-O-、-S-、-N(R
8
)-、-C(O)-、-C(O)-O-、-C(O)-NH-、-S(O)-、-S(O)
2
-、-P(O)-又は2価の有機基であり、R
8
は、水素原子、炭素数1~20の1価の炭化水素基又は炭素数1~20の1価のハロゲン化炭化水素基であり、yは、0~5の整数であり、yが2以上の場合、複数のAr
1
及びLは、それぞれ同一であっても異なっていてもよく、R
6
及びR
7
はそれぞれ独立して、単結合、メチレン基又は炭素数2~4のアルキレン基である。
【請求項3】
前記式(2-1)におけるAr
1
及びAr
2
はそれぞれ独立して、アリル基を有する芳香族炭化水素基である、請求項2に記載の重合体。
【請求項4】
ポリスチレン換算の重量平均分子量が1,000~500,000である、請求項1~3のいずれか一項に記載の重合体。
【請求項5】
請求項1~4のいずれか一項に記載の重合体と、
該重合体以外の硬化性化合物(B)とを含有する組成物。
【請求項6】
前記硬化性化合物(B)が、ビニル化合物、マレイミド化合物、アリル化合物、アクリル化合物、メタクリル化合物、チオール化合物、オキサジン化合物、シアネート化合物、エポキシ化合物、オキセタン化合物、メチロール化合物、ベンゾシクロブテン化合物、プロパギル化合物及びシラン化合物からなる群より選ばれる少なくとも1種を含む、請求項5に記載の組成物。
【請求項7】
酸化防止剤を更に含有する、請求項5又は6に記載の組成物。
【請求項8】
請求項5~7のいずれか一項に記載の組成物の硬化体である硬化物。
【請求項9】
基板と、
請求項5~7のいずれか一項に記載の組成物を用いて形成された硬化物層とを有する積層体。
【請求項10】
請求項8に記載の硬化物又は請求項9に記載の積層体を有する電子部品。
発明の詳細な説明
【技術分野】
【0001】
本発明の一実施形態は、重合体、組成物、硬化物、積層体又は電子部品に関する。
続きを表示(約 1,500 文字)
【背景技術】
【0002】
近年の情報通信分野では、高速・大容量伝送を目的として、情報通信機器の信号帯域の高周波化が進んでいる。この高周波化に対応するため、プリント配線板や半導体パッケージに用いる絶縁体にも低誘電・低誘電正接材料に対する要求が高まっている。
【0003】
この高周波化に対応する材料として、ポリオレフィン樹脂、スチレン樹脂、フッ素樹脂、ポリフェニレンエーテル樹脂、ビニルベンジルエーテル樹脂、又は、ポリフェニレンエーテル樹脂を用いた組成物などが提案されている(特許文献1~6)。
【先行技術文献】
【特許文献】
【0004】
特開平7-188362号公報
特開2004-83680号公報
特許第3414556号公報
特開2003-306591号公報
特許第5649773号公報
特開2017-200997号公報
【発明の概要】
【発明が解決しようとする課題】
【0005】
しかしながら、前記特許文献1~6に記載されている組成物等の従来の材料は、低誘電・低誘電正接にはある程度優れるものの、耐熱性、耐薬品性、接着性など電子材料に必要な特性について、必ずしもすべての要求を満たしているわけではなかった。
例えば、ポリフェニレンエーテル樹脂を用いた組成物やフッ素樹脂は、低誘電・低誘電正接や耐熱性に優れるが、低粗化銅箔への接着性が十分ではなく、また、特許文献6に記載の組成物は、耐薬品性や低誘電特性の点で改良の余地があった。
【0006】
本発明の一実施形態は、低誘電率・低誘電正接である重合体を提供し、低誘電率・低誘電正接であり、且つ、硬化性、接着性及び耐熱性にバランスよく優れる組成物及び積層体を提供する。
【課題を解決するための手段】
【0007】
本発明者は、前記課題を解決すべく鋭意検討した結果、下記構成例によれば前記課題を解決できることを見出した。
本発明の構成例は以下の通りである。
【0008】
[1] 下記式(1)で表される繰り返し構造単位を有し、
下記式(a)で表される基Yを末端に有する重合体。
【0009】
JPEG
2025138797000001.jpg
18
161
〔式(1)中、Xはそれぞれ独立して、-O-、-S-又は-N(R
3
)-であり、R
3
は、水素原子、炭素数1~20の1価の炭化水素基、炭素数1~20の1価のハロゲン化炭化水素基、又は、これら炭化水素基若しくはハロゲン化炭化水素基における一部が酸素原子及び硫黄原子から選ばれる少なくとも1つで置換された基であり、R
1
は、2価の有機基であり、R
2
は、2価の非置換又は置換の含窒素複素芳香族環である。〕
【0010】
TIFF
2025138797000002.tif
7
127
〔式(a)中、Yは、炭素数3~50のエチレン性不飽和二重結合を含有する基、炭素数6~50の非置換若しくは置換の芳香族炭化水素基、炭素数6~50の非置換若しくは置換の脂肪族炭化水素基、又は、非置換含窒素複素芳香族環であり、前記芳香族炭化水素基又は脂肪族炭化水素基が置換基を有する場合、該置換基はヒドロキシ基以外の基である。〕
(【0011】以降は省略されています)
この特許をJ-PlatPat(特許庁公式サイト)で参照する
関連特許
JSR株式会社
三次元構造体の製造方法
3か月前
JSR株式会社
化学機械研磨用組成物及び研磨方法
3か月前
JSR株式会社
化学機械研磨用組成物及び研磨方法
2か月前
JSR株式会社
液晶配向剤、液晶配向膜及び液晶素子
1か月前
JSR株式会社
液晶配向剤、液晶配向膜、液晶素子、重合体及び化合物
6日前
JSR株式会社
液晶配向剤、液晶配向膜、液晶素子、重合体及び化合物
2日前
JSR株式会社
感光性組成物、硬化膜及びその製造方法、並びに表示装置
2か月前
JSR株式会社
感放射線性組成物、硬化膜、表示素子、及び硬化膜の製造方法
2か月前
JSR株式会社
硬化性組成物、硬化膜、有機EL装置、及び硬化樹脂層の形成方法
1か月前
JSR株式会社
感放射線性組成物、レジストパターン形成方法、重合体及び化合物
1か月前
JSR株式会社
オニウム塩化合物
2か月前
公益財団法人相模中央化学研究所
化合物の製造方法及び触媒組成物
1か月前
JSR株式会社
液晶素子、弱アンカリング膜形成用液晶配向剤及び液晶素子の製造方法
1か月前
JSR株式会社
感放射線性樹脂組成物及びパターン形成方法
24日前
JSR株式会社
感放射線性樹脂組成物及びパターン形成方法
2か月前
JSR株式会社
重合体、組成物、硬化物、積層体及び電子部品
10日前
JSR株式会社
感放射線性樹脂組成物及びレジストパターン形成方法
2か月前
JSR株式会社
感光性着色組成物、硬化物、画像表示パネル、カラーフィルター、画像表示装置、及び硬化物の製造方法
9日前
JSR株式会社
硬化性組成物、硬化膜、有機EL装置、及び硬化樹脂層の形成方法
1か月前
日東電工株式会社
多層断熱材及び多層断熱材の製造方法
1か月前
東ソー株式会社
摺動部材
4か月前
東ソー株式会社
ゴム組成物
4か月前
株式会社カネカ
硬化性組成物
2か月前
ユニチカ株式会社
透明シート
1か月前
ユニチカ株式会社
透明シート
6日前
株式会社コバヤシ
成形体
3日前
ユニチカ株式会社
ビスマレイミド
4か月前
東レ株式会社
熱硬化性樹脂組成物
1か月前
東レ株式会社
引抜成形品の製造方法
1か月前
東レ株式会社
ポリエステルフィルム
10日前
東レ株式会社
ポリエステルフィルム
3か月前
丸住製紙株式会社
変性パルプ
6日前
住友精化株式会社
吸水剤の製造方法
16日前
東ソー株式会社
樹脂組成物および蓋材
24日前
東レ株式会社
ポリプロピレンフィルム
2日前
東レ株式会社
ポリオレフィン微多孔膜
2か月前
続きを見る
他の特許を見る