TOP
|
特許
|
意匠
|
商標
特許ウォッチ
Twitter
他の特許を見る
公開番号
2025141377
公報種別
公開特許公報(A)
公開日
2025-09-29
出願番号
2024041276
出願日
2024-03-15
発明の名称
β(1→5)グルコシルフラノシド環状二量体およびβ(1→5)グルコシルフラノシド環状二量体の製造方法
出願人
学校法人東京農業大学
代理人
個人
,
個人
,
個人
主分類
C07H
3/10 20060101AFI20250919BHJP(有機化学)
要約
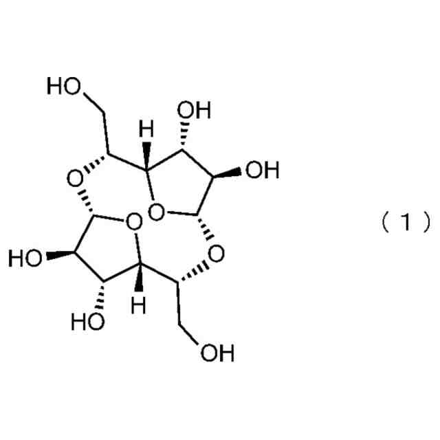
【課題】β(1→5)グルコシルフラノシド環状二量体、およびその製造方法を提供する。
【解決手段】本発明のβ(1→5)グルコシルフラノシド環状二量体は、下記式(1)で示されることを特徴とする。
<com:Image com:imageContentCategory="Drawing"> <com:ImageFormatCategory>JPEG</com:ImageFormatCategory> <com:FileName>2025141377000039.jpg</com:FileName> <com:HeightMeasure com:measureUnitCode="Mm">64</com:HeightMeasure> <com:WidthMeasure com:measureUnitCode="Mm">170</com:WidthMeasure> </com:Image>
【選択図】なし
特許請求の範囲
【請求項1】
下記式(1)で示されることを特徴とするβ(1→5)グルコシルフラノシド環状二量体。
JPEG
2025141377000033.jpg
64
170
続きを表示(約 1,600 文字)
【請求項2】
下記式(2)で示されることを特徴とするβ(1→5)グルコシルフラノシド環状二量体。
JPEG
2025141377000034.jpg
80
170
(式中、R
1
は、架橋基を示す。)
【請求項3】
下記式(3)で示されることを特徴とするβ(1→5)グルコシルフラノシド環状二量体。
JPEG
2025141377000035.jpg
80
170
(式中、R
1
は、架橋基を示し、R
2
は、水酸基の保護基を示す。)
【請求項4】
カチオン開環重合により、下記式(4)で示される1,4-無水糖を反応させ、下記式(3)で示されるβ(1→5)グルコシルフラノシド環状二量体を得るカチオン開環重合工程を有することを特徴とするβ(1→5)グルコシルフラノシド環状二量体の製造方法。
JPEG
2025141377000036.jpg
41
100
(式中、R
1
は、架橋基を示し、R
2
は、水酸基の保護基を示す。)
JPEG
2025141377000037.jpg
80
170
(式中、R
1
は、架橋基を示し、R
2
は、水酸基の保護基を示す。)
【請求項5】
前記R
2
が、アリル基、アセチル基、ベンジル基またはベンジルオキシメチル基である請求項4に記載のβ(1→5)グルコシルフラノシド環状二量体の製造方法。
【請求項6】
前記カチオン開環重合工程の後に、前記R
2
を除去する工程をさらに有する請求項4または5に記載のβ(1→5)グルコシルフラノシド環状二量体の製造方法。
【請求項7】
前記R
1
が、下記式(5)で表されるものである請求項4または5に記載のβ(1→5)グルコシルフラノシド環状二量体の製造方法。
-Ar
1
-L-Ar
2
- (5)
(式中、Ar
1
、Ar
2
は、それぞれ独立して、芳香族性の原子団を示し、Lは、2価の置換基または単結合を示す。)
【請求項8】
前記R
1
が、下記式(6)で表されるものである請求項7に記載のβ(1→5)グルコシルフラノシド環状二量体の製造方法。
JPEG
2025141377000038.jpg
40
100
(式中、p個のR
4
、q個のR
5
は、それぞれ独立して、水素原子、ハロゲン原子、ハロ置換もしくは非置換の低級炭化水素基、低級アルコキシ基、ニトロ基またはジ(低級アルキル)アミノ基を示し、Lは、2価の置換基または単結合を示す。pおよびqは、それぞれ独立して、0以上4以下の整数を示す。p個のR
4
のうち、隣り合うR
4
は、互いに結合してベンゼン環を形成してもよく、q個のR
5
のうち、隣り合うR
5
は、互いに結合してベンゼン環を形成してもよい。)
【請求項9】
前記カチオン開環重合工程よりも後に、前記R
1
を除去する工程をさらに有する請求項4または5に記載のβ(1→5)グルコシルフラノシド環状二量体の製造方法。
【請求項10】
前記カチオン開環重合工程において、シリル系の活性化剤を用いる請求項4または5に記載のβ(1→5)グルコシルフラノシド環状二量体の製造方法。
(【請求項11】以降は省略されています)
発明の詳細な説明
【技術分野】
【0001】
本発明は、β(1→5)グルコシルフラノシド環状二量体およびβ(1→5)グルコシルフラノシド環状二量体の製造方法に関する。
続きを表示(約 1,400 文字)
【背景技術】
【0002】
環状オリゴ糖は、その分子中に空洞が存在し、ある種の化合物をその空間に取り込む性質(包接機能)を有する。この性質を利用することにより、揮発性物質の安定化、酸化物質または光分解物質の安定化、物性の改変等が可能になることから、現在、食品、医薬品、化粧品等を中心に、環状オリゴ糖の研究が精力的に行われている。
【0003】
具体的には、環状オリゴ糖の一種であるシクロデキストリンについて、応用研究および実用化が進んでいる。シクロデキストリンは、数分子のD-グルコースが、α(1→4)グリコシド結合によって結合した環状構造を有する環状オリゴ糖である。現在、環状六量体構造を有するα-シクロデキストリン、環状七量体構造を有するβ-シクロデキストリンおよび環状八量体構造を有するγ-シクロデキストリンが酵素的方法により製造され、市販されている(特許文献1~3参照)。
【0004】
また、環状三・四量体の「小さな環状オリゴ糖」については、化学合成に関する報告がなされている(特許文献4参照)。
【0005】
一方、「最小環状オリゴ糖」である環状二量体は、化学計算等による結果より、従来の環状オリゴ糖とは異なる特性を有する可能性が期待されている。しかしながら、従来の化学的方法および酵素的方法では、環状二量体を合成することができなかった。そのため、その特性に関する検証は、困難な状態にある。
【先行技術文献】
【特許文献】
【0006】
特開平5-292987号公報
特開2000-60590号公報
米国特許第3425910号
特許第6749644号公報
【発明の概要】
【発明が解決しようとする課題】
【0007】
かかる状況において、本発明が解決しようとする課題は、β(1→5)グルコシルフラノシド環状二量体を化学的に合成することができる方法、および、今まで合成できなかったβ(1→5)グルコシルフラノシド環状二量体を提供することにある。
【課題を解決するための手段】
【0008】
このような目的は、下記の本発明により達成される。
本発明のβ(1→5)グルコシルフラノシド環状二量体は、下記式(1)で示されることを特徴とする。
JPEG
2025141377000001.jpg
64
170
【0009】
また、本発明のβ(1→5)グルコシルフラノシド環状二量体は、下記式(2)で示されることを特徴とする。
JPEG
2025141377000002.jpg
80
170
(式中、R
1
は、架橋基を示す。)
【0010】
また、本発明のβ(1→5)グルコシルフラノシド環状二量体は、下記式(3)で示されることを特徴とする。
JPEG
2025141377000003.jpg
80
170
(式中、R
1
は、架橋基を示し、R
2
は、水酸基の保護基を示す。)
(【0011】以降は省略されています)
この特許をJ-PlatPat(特許庁公式サイト)で参照する
関連特許
学校法人東京農業大学
香気調整剤
1か月前
学校法人東京農業大学
メタンガスの製造方法
2か月前
個人
涙液分泌促進作用をもつ乳酸菌
1か月前
学校法人東京農業大学
オリゴ糖の製造方法、及びオリゴ糖製造システム
23日前
株式会社日本バリアフリー
養殖魚用飼料、飼育方法及び腸管上皮保護剤
4か月前
学校法人東京農業大学
β(1→5)グルコシルフラノシド環状二量体およびβ(1→5)グルコシルフラノシド環状二量体の製造方法
11日前
東ソー株式会社
タンパク質の発現方法
21日前
株式会社トクヤマ
四塩化炭素の製造方法
3か月前
東ソー株式会社
炭素-窒素結合形成方法
3か月前
株式会社トクヤマ
シロキサン類の回収方法
3か月前
株式会社トクヤマ
ビオチン誘導体の製造方法
2か月前
株式会社半導体エネルギー研究所
有機化合物
1か月前
栗田工業株式会社
ギ酸の回収方法
3日前
株式会社トクヤマ
ホルムアミド化合物の製造方法
1か月前
株式会社コスモス
液状炭化水素の増産方法
2か月前
東ソー株式会社
イソシアネート化合物の製造方法
1か月前
株式会社トクヤマ
ベンザゼピン化合物の製造方法
2か月前
株式会社コスモス
液状炭化水素の増産方法
2か月前
株式会社トクヤマ
チオラクトン誘導体の製造方法
11日前
信越化学工業株式会社
新規化合物
3か月前
artience株式会社
四塩基酸無水物の製造方法
3か月前
日産化学株式会社
ピラゾール化合物及び有害生物防除剤
3か月前
日産化学株式会社
ピラゾール化合物及び有害生物防除剤
2か月前
三菱ケミカル株式会社
アルコールの製造方法
29日前
株式会社トクヤマ
サフィナミド若しくはその塩の製造方法
3か月前
国立大学法人東京農工大学
深共晶溶媒
1か月前
本田技研工業株式会社
CO2変換方法
7日前
大阪瓦斯株式会社
メタン製造システム
7日前
東ソー株式会社
免疫グロブリン結合性タンパク質の保存溶液
3か月前
JNC株式会社
有機ケイ素化合物およびこれを用いた重合体
2か月前
株式会社トクヤマ
アシル化ベンゼン誘導体の酸塩の製造方法
1か月前
東ソー株式会社
免疫グロブリン結合性タンパク質の製造方法
21日前
キヤノン株式会社
有機化合物及び有機発光素子
11日前
旭化成株式会社
トリオキサンの製造方法
3か月前
JNC株式会社
有機ケイ素化合物およびこれを用いた重合体
1か月前
キヤノン株式会社
有機金属錯体及び有機発光素子
7日前
続きを見る
他の特許を見る