TOP
|
特許
|
意匠
|
商標
特許ウォッチ
Twitter
他の特許を見る
10個以上の画像は省略されています。
公開番号
2025141607
公報種別
公開特許公報(A)
公開日
2025-09-29
出願番号
2024041621
出願日
2024-03-15
発明の名称
量子回路装置と制御方法
出願人
日本電気株式会社
代理人
個人
,
個人
主分類
H10N
60/10 20230101AFI20250919BHJP()
要約
【課題】複数の量子ビット間での多体相互作用を発現し得る結合器に関して、周波数調整のためのバイアスラインや入出力ラインを不要としながら、多体相互作用の強さを設定自在とした量子回路装置の提供。
【解決手段】線形素子で構成された結合器と、前記結合器を介して多体相互作用で結合する少なくとも3つ以上の量子ビットと、を含み、前記少なくとも3つ以上の量子ビットのうち少なくとも一つの量子ビットは、他の量子ビットと異なる非線形性を有する。
【選択図】図2
特許請求の範囲
【請求項1】
線形素子で構成された結合器と、
前記結合器を介して多体相互作用で結合する少なくとも3つ以上の量子ビットと、
を含み、
前記少なくとも3つ以上の量子ビットのうち少なくとも一つの量子ビットは、他の量子ビットと異なる非線形性を有する、量子回路装置。
続きを表示(約 1,600 文字)
【請求項2】
前記多体相互作用は、4つの量子ビットによる4体相互作用である、請求項1記載の量子回路装置。
【請求項3】
前記結合器は、前記線形素子として、キャパシタおよび/またはインダクタを含む、請求項1記載の量子回路装置。
【請求項4】
前記量子ビットは、ジョセフソン接合とキャパシタとを含む、請求項1記載の量子回路装置。
【請求項5】
前記量子ビットは、ループに複数のジョセフソン接合を含むSQUID(Superconducting Quantum Interference Device)と、キャパシタとを含む、請求項1記載の量子回路装置。
【請求項6】
前記量子ビットは、前記結合器に容量結合する、請求項3記載の量子回路装置。
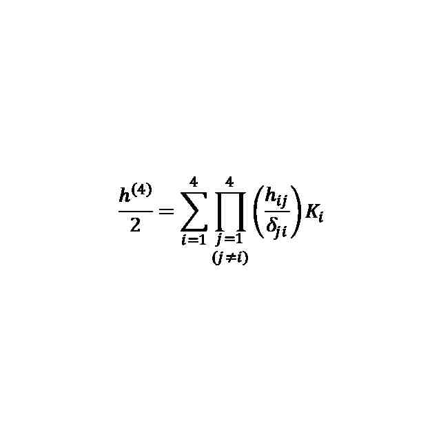
【請求項7】
前記4つの量子ビットによる4体相互作用の結合係数h
(4)
は、
TIFF
2025141607000051.tif
17
150
(ただし、h
ij
は、第iの量子ビットと第jの量子ビット(i,j=1,…,4 ただし、j≠i)間の結合の強さ、
δ
ji
は、第jの量子ビットと第iの量子ビット(i,j=1,…,4 ただし、j≠i)の共振角周波数ω
j
とω
i
の差ω
j
-ω
i
、
K
i
(i=1,…,4)は第iの量子ビットの非線形を表すパラメータ)で表される、請求項2記載の量子回路装置。
【請求項8】
前記4つの量子ビットのうち第1乃至第4の量子ビットの第1乃至第4の共振角周波数ω
1
、ω
2
、ω
3
、ω
4
に関する前記4体相互作用の条件
ω
1
+ω
l
=ω
m
+ω
n
(ただし、l、m、nは、
lが2のとき、mとnはそれぞれ3と4、
lが3のとき、mとnはそれぞれ2と4、
lが4のとき、mとnはそれぞれ2と3
のいずれか)について、前記4つの量子ビットによる4体相互作用の結合係数h
(4)
は、
前記4つの量子ビットのうち第1の量子ビットの非線形パラメータK
1
と第lの量子ビットの非線形パラメータK
l
の差と、第nの量子ビットの非線形パラメータK
n
と第mの量子ビットの非線形パラメータK
m
の差と、前記第1の量子ビットの共振角周波数ω
1
と前記第lの量子ビットの共振角周波数ω
l
の差δ
11
=ω
1
-ω
l
と、前記第nの量子ビットの共振角周波数ω
n
と前記第mの量子ビットの共振角周波数ω
n
の差δ
nm
=ω
n
-ω
m
のそれぞれの設定値に応じて定められる、請求項2記載の量子回路装置。
【請求項9】
前記少なくとも一つの量子ビットに含まれる、直列に接続されたジョセフソン接合の個数、および/またはSQUIDの個数が、前記他の量子ビットと相違している、請求項4記載の量子回路装置。
【請求項10】
少なくとも第1乃至第3の量子ビットが結合器を介して多体相互作用する結合の強さの制御方法であって、
前記結合器を線形素子で構成し、
前記第1乃至第3の量子ビットのうち少なくとも一つの量子ビットの非線形性を他の量子ビットの非線形性と異なるように設定する、制御方法。
発明の詳細な説明
【技術分野】
【0001】
本発明は、量子回路装置と制御方法に関する。
続きを表示(約 2,400 文字)
【背景技術】
【0002】
組合せ最適化問題を解く方法である量子アニーリングの方式の一つとして、LHZ(Lechner, Hauke, Zoller)方式が知られている(参考文献1)。非特許文献1には、LHZ方式(LHZ scheme)の物理的実装として、例えば図1に示すような、量子ビットと結合器の4体相互作用によるネットワ-クが開示されている。図1は、非特許文献1のFigure 4のaの図に基づく図である。図1の例では、量子ビットとして、例えばジョセフソンパラメトリック発振器(Josephson Parametric Oscillator, JPO)が用いられ、結合器として例えばジョセフソン接合(Josephson Junction, JJ)等の非線形素子が用いられている。
【先行技術文献】
【非特許文献】
【0003】
Puri, et. al., "Quantum annealing with all-to-all connected nonlinear oscillators", Nature Communications 8, 15785 (2017)
【発明の概要】
【発明が解決しようとする課題】
【0004】
量子アニ-リング動作にとって充分な大きさの4体相互作用を得るには、例えば、
・量子ビットの共振周波数と結合器の共振周波数の周波数差、
・結合器の非線形性等、に関して所定(所望)の条件に適合していることが求められる。図1のように、結合器としてジョセフソン接合等の非線形素子を用いた構成において、これらの条件をうまく満たすジョセフソン接合を備えた結合器の設計、製造等は、一般に、簡単ではない。また、周波数可変型の結合器の場合、その調整(較正等)には、時間、工数を要することになる。周波数可変型の結合器では、周波数の調整のためのバイアスラインや周波数を読み出すための入出力ラインが配設され、さらに、新たな測定機器や配線を用意しなければならない。
【0005】
本開示は、複数の量子ビット間での多体相互作用を発現し得る結合器に関して、周波数調整のためのバイアスラインや入出力ラインを不要としながら、多体相互作用の強さを所望の値に設定自在とした量子回路装置と制御方法を提供することを目的の一つとする。
【課題を解決するための手段】
【0006】
本開示によれば、量子回路装置は、線形素子で構成された結合器と、前記結合器を介して多体相互作用で結合する少なくとも3つ以上の量子ビットと、を含み、前記少なくとも3つ以上の量子ビットのうち少なくとも一つの量子ビットは、他の量子ビットと異なる非線形性を有する構成とされる。
【0007】
本開示によれば、少なくとも第1乃至第3の量子ビットが結合器を介して多体相互作用する結合の強さの制御方法であって、前記結合器を線形素子で構成し、前記第1乃至第3の量子ビットのうち少なくとも一つの量子ビットの非線形性を他の量子ビットの非線形性と異なるように設定する。
【発明の効果】
【0008】
本開示によれば、量子ビットを多体相互作用で結合する結合器に関して、周波数調整のためのバイアスラインや周波数を読み出すための入出力ラインを不要とし、多体相互作用の強さを所望の値に設定自在としている。
【図面の簡単な説明】
【0009】
比較例の一例を説明する図である。
本開示の構成の一例を説明する図である。
本開示の構成の一例を説明する図である。
本開示の構成の別の一例を説明する図である。
本開示の構成を説明する図である。
(A)乃至(D)は本開示の構成を説明する図である。
(A)、(B)は本開示の量子ビットの例を説明する図である。
(A)、(B)は本開示のレイアウトの例を模式的に説明する図である。
本開示の構成の別の例を説明する図である。
本開示の構成の別の例を説明する図である。
本開示の構成の別の例を説明する図である。
本開示の構成の別の例を説明する図である。
本開示の構成の別の例を説明する図である。
本開示の構成の別の例を説明する図である。
本開示の量子計算機を説明する図である。
【発明を実施するための形態】
【0010】
本開示の実施形態について説明する。はじめに、上記した課題に関連して、図1の開示に関する本願発明者によるさらなる分析を以下に与える。なお、図1では、非特許文献1のJPA(Josephson Parametric Amplifier)はパラメトリック発振器として機能することから、JPOと表記している。4つの量子ビット(JPO1~JPO4)において、ループにジョセフソン接合(JJ)を複数含むSQUID(superconducting quantum interference device)を備え、不図示の磁場印加部からの磁束で駆動される。量子ビット(JPO1~JPO4)において、SQUIDを介して対向するコプレーナ導波路(Coplanar waveguide, CPW)は電極/伝送路である。各量子ビットにおいて、ポンプ信号の角周波数ω
p,i
(i=1,2,3,4)は、量子ビットの共振角周波数ω
i
の2倍の角周波数:2ω
i
近くとされる。ポンプ信号の強さが閾値を超えると、量子ビットは発振を起こし共振角周波数ω
i
のシグナルを出力する(「パラメトリック発振」という)。
(【0011】以降は省略されています)
この特許をJ-PlatPat(特許庁公式サイト)で参照する
関連特許
日本電気株式会社
分析装置
9日前
日本電気株式会社
受信器および通信装置
今日
日本電気株式会社
検知装置および検知方法
9日前
日本電気株式会社
量子回路装置と制御方法
9日前
日本電気株式会社
量子回路装置と制御方法
9日前
日本電気株式会社
送信装置および通信装置
5日前
日本電気株式会社
通信装置および通信方法
5日前
日本電気株式会社
光伝送システムおよび方法
1日前
日本電気株式会社
分析方法および分析システム
6日前
日本電気株式会社
端末装置および無線通信方法
20日前
日本電気株式会社
兆候検知装置および兆候検知方法
1日前
日本電気株式会社
共振器及びそれを備えた導波回路
7日前
日本電気株式会社
演算処理装置および演算処理方法
1日前
日本電気株式会社
システム及びマイグレーション方法
9日前
日本電気株式会社
放送用システムおよび字幕作成方法
1日前
日本電気株式会社
推定装置、推定方法及びプログラム
12日前
日本電気株式会社
推定装置、推定方法及びプログラム
12日前
日本電気株式会社
ピーク抑圧装置及びピーク抑圧方法
19日前
日本電気株式会社
ソーナー装置、通信方法、プログラム
1日前
日本電気株式会社
画像管理システムおよび画像管理方法
7日前
日本電気株式会社
推定装置、推定方法、及び、記録媒体
6日前
日本電気株式会社
処理装置、処理方法、及びプログラム
9日前
日本電気株式会社
波長可変レーザ装置及びその構成方法
5日前
日本電気株式会社
通信装置、通信方法及び通信プログラム
6日前
日本電気株式会社
予測システム、予測方法及びプログラム
12日前
日本電気株式会社
管理システム、管理方法及びプログラム
19日前
日本電気株式会社
注文端末、注文受付方法及びプログラム
5日前
日本電気株式会社
判別装置、判別方法、およびプログラム
1日前
日本電気株式会社
通信システム及びパケット順序補正方法
20日前
日本電気株式会社
映像伝送装置、映像伝送方法、プログラム
9日前
日本電気株式会社
管理装置、管理方法および管理プログラム
7日前
日本電気株式会社
画像選択装置、画像選択方法及び記憶媒体
7日前
日本電気株式会社
処理システム、処理方法およびプログラム
12日前
日本電気株式会社
情報処理システム、処理方法、プログラム
9日前
日本電気株式会社
性能監視装置、性能監視方法、プログラム
5日前
日本電気株式会社
動作認識装置、動作認識方法、プログラム
1日前
続きを見る
他の特許を見る