TOP
|
特許
|
意匠
|
商標
特許ウォッチ
Twitter
他の特許を見る
10個以上の画像は省略されています。
公開番号
2025147946
公報種別
公開特許公報(A)
公開日
2025-10-07
出願番号
2024048471
出願日
2024-03-25
発明の名称
ソーナー装置、通信方法、プログラム
出願人
日本電気株式会社
代理人
個人
,
個人
主分類
G01S
15/60 20060101AFI20250930BHJP(測定;試験)
要約
【課題】例えばLFM波形の中心周波数および/または掃引方向を切り替えることで1シンボル分のデジタル信号を表現する変調方式の通信を行うシステムにおいて、復調処理の際にドップラ補正を可能とする。
【解決手段】ソーナー装置は、送信するデジタル信号のビットコードに対応させて、LFM(linear frequency modulation:線形周波数変調)の中心周波数と掃引方向の少なくとも一方を切り替えて送信される送信信号または前記送信信号が反射した信号を受信する受信手段と、複数の互いに異なるドップラ速力でそれぞれドップラ変調した複数のシンボル波形を生成し、前記受信手段で受信した受信信号と前記複数のシンボル波形との相互相関処理を行い、前記相互相関処理の結果に基づき、ドップラ速力を推定するドップラ速力推定手段と、を備える。
【選択図】図3
特許請求の範囲
【請求項1】
送信するデジタル信号のビットコードに対応させて、LFM(linear frequency modulation:線形周波数変調)の中心周波数と掃引方向の少なくとも一方を切り替えて送信される送信信号または前記送信信号が反射した信号を受信する受信手段と、
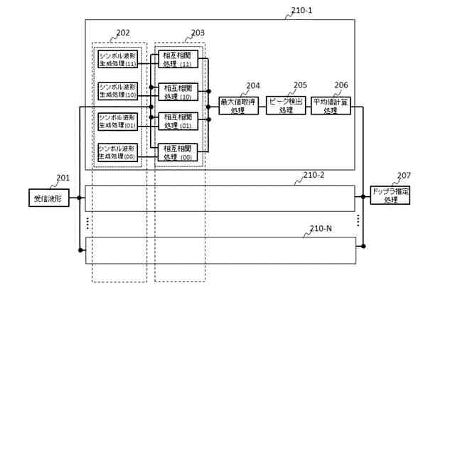
複数の互いに異なるドップラ速力でそれぞれドップラ変調した複数のシンボル波形を生成し、前記受信手段で受信した受信信号と前記複数のシンボル波形との相互相関処理を行い、前記相互相関処理の結果に基づき、ドップラ速力を推定するドップラ速力推定手段と、
を備えたソーナー装置。
続きを表示(約 3,000 文字)
【請求項2】
前記ドップラ速力推定手段は、
予め設定したドップラ速力の上限と下限の範囲を複数に分割した各ドップラ速力に対して、シンボルを構成するビットコードの組み合わせのそれぞれに対応させて、前記ドップラ速力でドップラ変調したシンボル波形を生成する複数のシンボル生成手段と、
前記受信信号と、前記複数のシンボル生成手段でそれぞれ生成された複数の前記シンボル波形との相互相関をそれぞれ計算する複数の相互相関計算手段と、
の組を、前記予め設定したドップラ速力の上限と下限の範囲を複数に分割した各ドップラ速力毎に備えた、請求項1記載のソーナー装置。
【請求項3】
前記ドップラ速力推定手段は、
前記予め設定したドップラ速力の上限と下限の範囲を複数に分割した各ドップラ速力毎に、
2ビットデータ"00"、"01"、"10"、"11"のそれぞれに対して、前記各ドップラ速力でドップラ変調したシンボル波形をそれぞれ生成する第1乃至第4のシンボル生成手段と、
前記第1乃至第4のシンボル生成手段でそれぞれ生成された前記シンボル波形と、前記受信信号の相互相関をそれぞれ計算する第1乃至第4の相互相関計算手段と、
の組を備えた、請求項1記載のソーナー装置。
【請求項4】
前記ドップラ速力推定手段は、
前記予め設定したドップラ速力の上限と下限の範囲を複数に分割した各ドップラ速力毎に、
前記第1乃至第4の相互相関計算手段でそれぞれ計算された前記相互相関の最大値を所定時間毎に検出する最大値検出手段と、
前記相互相関の最大値のピークを検出するピーク検出手段と、
前記相互相関の最大値の前記ピークの平均値を計算する平均値計算手段と、
の組を備え、
予め設定したドップラ速力の上限と下限の範囲を複数に分割した複数のドップラ速力のごとの前記相互相関の最大値の前記ピークの平均値から、ドップラ速力を推定する手段を備えた請求項3記載のソーナー装置。
【請求項5】
前記ドップラ速力推定手段で推定されたドップラ速力の推定結果を受ける復調処理手段を備え、
前記復調処理手段は、
前記推定されたドップラ速力を用いて、2ビットデータのそれぞれに対して、ドップラ変調したシンボル波形をそれぞれ生成する第1乃至第4のシンボル生成手段と、
前記受信信号と、前記推定されたドップラ速力に基づき前記第1乃至第4のシンボル生成手段でそれぞれ生成されたシンボル波形との相互相関をそれぞれ計算する第1乃至第4の相互相関計算手段と、
前記第1乃至第4の相互相関計算手段でそれぞれ計算された相互相関の所定時間ごとの最大値を検出する前記第1乃至第4の最大値検出手段と、
前記第1乃至第4の最大値検出手段での最大値を比較することで、前記中心周波数と前記掃引方向の少なくとも一方を検出する検出手段と、
前記検出手段での検出に基づき、デジタル信号を復調する復調手段を備えた、請求項4に記載のソーナー装置。
【請求項6】
ソーナーの通信方法であって、
送信するデジタル信号のビットコードに対応させて、LFM(linear frequency modulation:線形周波数変調)の中心周波数と掃引方向の少なくとも一方を切り替えて送信される送信信号または前記送信信号が反射した信号を受信し、
複数の互いに異なるドップラ速力でそれぞれドップラ変調した複数のシンボル波形を生成し、前記受信手段で受信した受信信号と前記複数のシンボル波形との相互相関処理を行い、前記相互相関処理の結果に基づき、ドップラ速力を推定する、通信方法。
【請求項7】
予め設定したドップラ速力の上限と下限の範囲を複数に分割した各ドップラ速力に対して、シンボルを構成するビットコードの組み合わせのそれぞれに対応させて、前記ドップラ速力でドップラ変調したシンボル波形を生成する複数のシンボル生成処理を、前記各ドップラ速力毎に、並列に行い、
前記受信信号と、前記複数のシンボル生成手段でそれぞれ生成された複数の前記シンボル波形との相互相関をそれぞれ計算する複数の相互相関処理を、前記各ドップラ速力毎に、並列に行う、請求項6記載の通信方法。
【請求項8】
前記予め設定したドップラ速力の上限と下限の範囲を複数に分割した各ドップラ速力毎に、
2ビットデータ"00"、"01"、"10"、"11"のそれぞれに対して、前記各ドップラ速力でドップラ変調したシンボル波形をそれぞれ生成する第1乃至第4のシンボル生成処理と、
前記第1乃至第4のシンボル生成処理でそれぞれ生成された前記シンボル波形と、前記受信信号の相互相関をそれぞれ計算する第1乃至第4の相互相関計算処理と、
前記第1乃至第4の相互相関計算処理でそれぞれ計算された相互相関の所定時間ごとの最大値を検出する処理と、
前記相互相関の最大値のピークを検出する処理と、
前記相互相関の最大値の前記ピークの平均値を計算する処理と、
の組を、前記予め設定したドップラ速力の上限と下限の範囲を複数に分割した各ドップラ速力毎に実行し、
前記予め設定したドップラ速力の上限と下限の範囲を複数に分割した各ドップラ速力ごとの前記相互相関の最大値の前記ピークの平均値から、前記ドップラ速力を推定する、請求項7記載の通信方法。
【請求項9】
前記ドップラ速力の推定結果を受け、
前記推定されたドップラ速力に基づき、2ビットデータ"00"、"01"、"10"、"11"のそれぞれに対して、ドップラ変調したシンボル波形を生成する第1乃至第4のシンボル生成処理と、
前記推定されたドップラ速力に基づき前記第1乃至第4のシンボル生成処理でそれぞれ生成された前記シンボル波形と、前記受信信号の相互相関をそれぞれ計算する第1乃至第4の相互相関計算処理と、
前記第1乃至第4の相互相関計算処理でそれぞれ計算された相互相関の所定時間ごとの最大値を検出する前記第1乃至第4の最大値検出処理と、
前記第1乃至第4の最大値検出処理での最大値を比較することで、前記中心周波数と前記掃引方向の少なくとも一方を検出する検出処理と、
前記検出処理での検出に基づき、デジタル信号を復調する復調処理を実行する、請求項8に記載の通信方法。
【請求項10】
送信するデジタル信号のビットコードに対応させて、LFM(linear frequency modulation:線形周波数変調)の中心周波数と掃引方向の少なくとも一方を切り替えて送信される送信信号または前記送信信号が反射した信号を受信する受信手段を備えたソーナー装置を構成するコンピュータに、
複数の互いに異なるドップラ速力でそれぞれドップラ変調した複数のシンボル波形を生成する処理と、
前記受信手段で受信した受信信号と前記複数のシンボル波形との相互相関処理を行い、前記相互相関処理の結果に基づき、ドップラ速力を推定する処理と、
を実行させるプログラム。
発明の詳細な説明
【技術分野】
【0001】
本発明は、ソーナー装置、通信方法、プログラムに関する。
続きを表示(約 1,900 文字)
【背景技術】
【0002】
音の伝搬を利用して水中にある物体を探すソーナー(sound navigation and ranging:sonar:ソナーともいう)システムは、大きく分けてパッシブ(passive)ソーナーとアクティブ(active)ソーナーの二つの種類がある。パッシブソーナーは水中の物体が発生する音を受信することで物体の位置を特定する。アクティブソーナーは、ソーナーから音を送信しその反射波から物体の位置を特定する。音の送信と受信には、電気信号と音響信号を変換する複数の送受波素子を組み合わせた送受波アレイなどが用いられる。一般的にアクティブソーナーは、音の送信と反射波の受信を同一の送受波アレイで行う。このようなソーナーをモノスタティックアクティブソーナーと呼ぶ。
【0003】
送信と受信を別のアレイで行うマルチスタティックアクティブソーナーも用いられている。マルチスタティックアクティブソーナーでは、受信した反射音から物体の位置を特定する際に、送信側と受信側で時刻同期が必要になる。時刻同期には、一般的に無線通信を用いるが、水中のビークルと、時刻同期を取る場合など、無線通信を利用することができない場合もある。
【0004】
このような状況でマルチスタティックアクティブソーナーによる物体捜索(「マルチスタティック捜索」という)を行う手法として、水中通信を利用する方法が知られている。水中通信は、デジタル信号を変調し音波として送信し、受信した音波をデジタル信号に復調することで、情報の伝達を行う。変調方式として、例えばPSK(phase shift keying)やFSK(frequency shift keying)、OFDM(Orthogonal Frequency Division Multiplexing)などがあるが、マルチスタティック捜索の時刻同期に利用する場合、以下のような特徴を持つ変調方式が適している。
【0005】
マルチスタティック捜索では、送信点と受信点とが、例えば数千メートル程度離れている場合もある。音波は海面・海底反射等を繰り返しながら伝搬する。このため、長距離伝搬によって信号レベルが減衰しても通信可能な雑音耐性と、反射による位相のズレに強いという特性が求められる。
【0006】
特許文献1は、LFM(linear frequency modulation:線形周波数変調)やLPM(Linear Period Modulation:線形周期変調)波形の中心周波数と掃引方向を切り替えることで1シンボル分のデジタル信号を表現する変調処理と、受信信号とシンボル波形の相互相関処理を行うことで、LFM波形の中心周波数と掃引方向を判別する復調処理を行う水中通信装置が開示されている。特許文献1では、相互相関処理の信号利得により高い雑音耐性が期待できる。
【先行技術文献】
【特許文献】
【0007】
特開2023-141678号公報
【発明の概要】
【発明が解決しようとする課題】
【0008】
ソーナーが水上または水中を移動するビークルに搭載されている場合、該ソーナーから送信された音波は、該ビークルの移動により、ドップラ変調される。受信信号がドップラ変調されると、例えば信号利得が低下し、復調時の誤り確率が高くなる。
【0009】
本開示は、例えばLFM波形の中心周波数および/または掃引方向を切り替えることで1シンボル分のデジタル信号を表現する変調方式の通信を行うシステムにおいて、復調処理の際にドップラ補正を可能としたソーナー装置、通信方法、プログラムを提供することを目的とする。
【課題を解決するための手段】
【0010】
本開示の1つの側面によれば、ソーナー装置は、送信するデジタル信号のビットコードに対応させて、LFM(linear frequency modulation:線形周波数変調)の中心周波数と掃引方向の少なくとも一方を切り替えて送信される送信信号または前記送信信号が反射した信号を受信する受信手段と、複数の互いに異なるドップラ速力でそれぞれドップラ変調した複数のシンボル波形を生成し、前記受信手段で受信した受信信号と前記複数のシンボル波形との相互相関処理を行い、前記相互相関処理の結果に基づき、ドップラ速力を推定するドップラ速力推定手段と、を備える。
(【0011】以降は省略されています)
この特許をJ-PlatPat(特許庁公式サイト)で参照する
関連特許
日本電気株式会社
学習装置
1か月前
日本電気株式会社
学習装置
1か月前
日本電気株式会社
分析装置
10日前
日本電気株式会社
原子発振器
1か月前
日本電気株式会社
超伝導量子回路
1か月前
日本電気株式会社
マルチバンドバラン
28日前
日本電気株式会社
受信器および通信装置
1日前
日本電気株式会社
量子回路装置と制御方法
10日前
日本電気株式会社
送信装置および通信装置
6日前
日本電気株式会社
検知装置および検知方法
10日前
日本電気株式会社
量子回路装置と制御方法
10日前
日本電気株式会社
通信装置および通信方法
6日前
日本電気株式会社
光伝送システムおよび方法
2日前
日本電気株式会社
分析方法および分析システム
7日前
日本電気株式会社
端末装置および無線通信方法
21日前
日本電気株式会社
機器冷却装置及びその冷却方法
22日前
日本電気株式会社
演算処理装置および演算処理方法
2日前
日本電気株式会社
共振器及びそれを備えた導波回路
8日前
日本電気株式会社
プログラム、算出装置、及び方法
22日前
日本電気株式会社
処理装置、方法、及びプログラム
1か月前
日本電気株式会社
TS合成装置および放送システム
1か月前
日本電気株式会社
兆候検知装置および兆候検知方法
2日前
日本電気株式会社
推定装置、推定方法及びプログラム
13日前
日本電気株式会社
リング共振器、およびその製造方法
1か月前
日本電気株式会社
システム及びマイグレーション方法
10日前
日本電気株式会社
ピーク抑圧装置及びピーク抑圧方法
20日前
日本電気株式会社
放送用システムおよび字幕作成方法
2日前
日本電気株式会社
リング共振器、およびその製造方法
1か月前
日本電気株式会社
推定装置、推定方法及びプログラム
13日前
日本電気株式会社
波長可変レーザ装置及びその構成方法
6日前
日本電気株式会社
処理装置、処理方法、及びプログラム
10日前
日本電気株式会社
処理装置、処理方法、及びプログラム
1か月前
日本電気株式会社
画像管理システムおよび画像管理方法
8日前
日本電気株式会社
ソーナー装置、通信方法、プログラム
2日前
日本電気株式会社
推定装置、推定方法、及び、記録媒体
7日前
日本電気株式会社
通信装置、通信方法及び通信プログラム
7日前
続きを見る
他の特許を見る