TOP
|
特許
|
意匠
|
商標
特許ウォッチ
Twitter
他の特許を見る
10個以上の画像は省略されています。
公開番号
2025141833
公報種別
公開特許公報(A)
公開日
2025-09-29
出願番号
2025031077
出願日
2025-02-28
発明の名称
(メタ)アクリル酸エステルの製造方法、(メタ)アクリル酸エステル組成物および(メタ)アクリル系重合体
出願人
三菱ケミカル株式会社
代理人
個人
,
個人
,
個人
主分類
C07C
67/56 20060101AFI20250919BHJP(有機化学)
要約
【課題】本発明は、主として、簡便な手法で着色が低減された(メタ)アクリル酸エステルを提供する。
【解決手段】本発明の(メタ)アクリル酸エステルの製造方法は、メチル(メタ)アクリレートとアルコールとを触媒の存在下でエステル交換反応させることで(メタ)アクリル酸エステルを含有する反応液を得ることと、酸化アルミニウムおよび二酸化ケイ素を同一粒子内に含有する吸着剤と、前記反応液とを接触させることとを含む。一例において、ハーゼン色数の値であるAPHAは100以下であってもよい。
【選択図】なし
特許請求の範囲
【請求項1】
(メタ)アクリル酸エステルの製造方法であって、
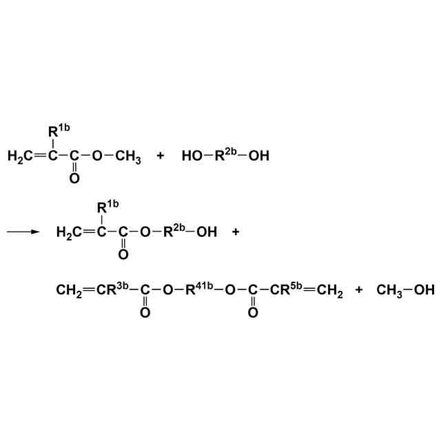
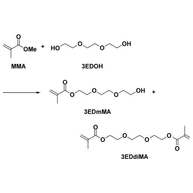
メチル(メタ)アクリレートとアルコールとを触媒の存在下でエステル交換反応させることで(メタ)アクリル酸エステルを含有する反応液を得ることと、
酸化アルミニウムおよび二酸化ケイ素を同一粒子内に含有する吸着剤と、前記反応液とを接触させることと、
を含む、製造方法。
続きを表示(約 880 文字)
【請求項2】
チタン触媒の存在下でエステル交換反応させる、請求項1に記載の製造方法。
【請求項3】
前記吸着剤の使用量が、前記吸着剤と接触させる時に前記反応液に含まれるチタン触媒含有量1molに対して0.35~5.00kgである、請求項2に記載の製造方法。
【請求項4】
前記反応液と前記吸着剤とを接触させる際の前記反応液の温度が、40~100℃である、請求項1に記載の製造方法。
【請求項5】
前記アルコールが、エーテル性酸素原子を有してもよいジオールを含む、請求項1に記載の製造方法。
【請求項6】
前記メチル(メタ)アクリレートと前記ジオールとをエステル交換反応させることで、モノ(メタ)アクリル酸エステルおよびジ(メタ)アクリル酸エステルからなる群から選ばれる少なくとも1種が生成し、
前記モノ(メタ)アクリル酸エステルの割合が、前記ジオールと前記モノ(メタ)アクリル酸エステルと前記ジ(メタ)アクリル酸エステルとの総量の20質量%以下となった時点で、前記反応液と前記吸着剤とを接触させる、請求項5に記載の製造方法。
【請求項7】
前記吸着剤としてシリカアルミナを用いる、請求項1に記載の製造方法。
【請求項8】
請求項1~7のいずれか一項に記載の製造方法で得られた(メタ)アクリル酸エステルを含有する、(メタ)アクリル酸エステル組成物。
【請求項9】
請求項5または6に記載の製造方法で得られたモノ(メタ)アクリル酸エステルと、
請求項5または6に記載の製造方法で得られたジ(メタ)アクリル酸エステルと、
を、含有する、(メタ)アクリル酸エステル組成物。
【請求項10】
前記モノ(メタ)アクリル酸エステルの含有割合が、前記(メタ)アクリル酸エステル組成物の総量の0.1~20質量%である、請求項9に記載の(メタ)アクリル酸エステル組成物。
(【請求項11】以降は省略されています)
発明の詳細な説明
【技術分野】
【0001】
本発明は、(メタ)アクリル酸エステルの製造方法、(メタ)アクリル酸エステル組成物および(メタ)アクリル系重合体に関する。
続きを表示(約 2,400 文字)
【背景技術】
【0002】
(メタ)アクリル酸エステルを用いて得られる(メタ)アクリル系重合体は、塗料、接着剤、樹脂改質剤、人工大理石、紙ラテックス等の様々な分野に用いられている。例えば、触媒であるTi(OR)
4
(Rはアルキル基である。)の存在下、原料の(メタ)アクリル酸アルキルエステルとアルキルアルコールとのエステル交換反応を利用することで、目的の(メタ)アクリル酸アルキルエステルを製造できる(特許文献1)。
【0003】
(メタ)アクリル酸エステルの用途には透明性が要求されることが多いため、着色性の不純物の除去が重要である(例えば、特許文献2、3)。
特許文献2には、ポリテトラメチレンエーテルグリコールジ(メタ)アクリレートを含む溶液を塩基性アルミナ、塩基性イオン交換樹脂および合成吸着剤からなる群から選ばれる少なくとも一種の吸着剤により処理することが開示されている。
特許文献3には、ポリテトラメチレンエーテルグリコールジ(メタ)アクリレートを含む反応液を、水の存在下において珪藻土および塩基性アルミナに同時に接触させることが開示されている。
【先行技術文献】
【特許文献】
【0004】
特開2009-274986号公報
特開2012-12551号公報
特開2013-189415号公報
【発明の概要】
【発明が解決しようとする課題】
【0005】
しかし、特許文献2の実施例では、塩基性アルミナによる処理の前に10%水酸化ナトリウム水溶液で洗浄しているように、着色を低減するための処理が煩雑である。また、特許文献3の実施例ではチタン酸テトラ-n-ブチルの添加前に水分量を低減した後に、着色低減処理のために水を加えている。そのため、着色を低減するための処理が煩雑である。
【0006】
本発明は、主として、簡便な手法で着色が低減された(メタ)アクリル酸エステルが得られる製造方法を提供する。
【課題を解決するための手段】
【0007】
本発明は、下記の態様を有する。
[1](メタ)アクリル酸エステルの製造方法であって、
メチル(メタ)アクリレートとアルコールとを触媒の存在下でエステル交換反応させることで(メタ)アクリル酸エステルを含有する反応液を得ることと、
酸化アルミニウムおよび二酸化ケイ素を同一粒子内に含有する吸着剤と、前記反応液とを接触させることと、
を含む、製造方法。
[2]チタン触媒の存在下でエステル交換反応させる、[1]に記載の製造方法。
[3]前記吸着剤の使用量が、前記吸着剤と接触させる時に前記反応液に含まれるチタン触媒含有量1molに対して0.35~5.00kgである、[2]に記載の製造方法。
[4]前記反応液と前記吸着剤とを接触させる際の前記反応液の温度が、40~100℃である、[1]~[3]のいずれかに記載の製造方法。
[5]前記アルコールが、エーテル性酸素原子を有してもよいジオールを含む、[1]~[4]のいずれかに記載の製造方法。
[6]前記メチル(メタ)アクリレートと前記ジオールとをエステル交換反応させることで、モノ(メタ)アクリル酸エステルおよびジ(メタ)アクリル酸エステルからなる群から選ばれる少なくとも1種が生成し、
前記モノ(メタ)アクリル酸エステルの割合が、前記ジオールと前記モノ(メタ)アクリル酸エステルと前記ジ(メタ)アクリル酸エステルとの総量の20質量%以下となった時点で、前記反応液と前記吸着剤とを接触させる、[5]に記載の製造方法。
[7]前記吸着剤としてシリカアルミナを用いる、[1]~[6]のいずれかに記載の製造方法。
【0008】
[8][1]~[7]のいずれかに記載の製造方法で得られた(メタ)アクリル酸エステルを含有する、(メタ)アクリル酸エステル組成物。
[9][5]または[6]に記載の製造方法で得られたモノ(メタ)アクリル酸エステルと、
[5]または[6]に記載の製造方法で得られたジ(メタ)アクリル酸エステルと、
を、含有する、(メタ)アクリル酸エステル組成物。
[10]前記モノ(メタ)アクリル酸エステルの含有割合が、前記(メタ)アクリル酸エステル組成物の総量の0.1~20質量%である、[9]に記載の(メタ)アクリル酸エステル組成物。
[11]ハーゼン色数の値であるAPHAが、100以下である、[8]~[10]のいずれかに記載の(メタ)アクリル酸エステル組成物。
[12][1]~[7]のいずれかに記載の製造方法で得られた(メタ)アクリル酸エステルを重合させて得られる、(メタ)アクリル系重合体。
[13][1]~[7]のいずれかに記載の製造方法で得られた(メタ)アクリル酸エステルと、前記(メタ)アクリル酸エステルと共重合可能な他の単量体とを共重合させて得られる、(メタ)アクリル系重合体。
【発明の効果】
【0009】
本発明によれば、主として、簡便な手法で着色が低減された(メタ)アクリル酸エステルが得られる製造方法が提供される。
【発明を実施するための形態】
【0010】
以下、本発明のいくつかの実施形態について詳細に説明する。以下の実施形態は、説明のための単なる例示であって、本発明をこの実施の形態にのみ限定するものではない。また、本発明は、その趣旨を逸脱しない限り、様々な態様で実施することが可能である。
(【0011】以降は省略されています)
この特許をJ-PlatPat(特許庁公式サイト)で参照する
関連特許
三菱ケミカル株式会社
積層体
3日前
三菱ケミカル株式会社
積層体
4日前
三菱ケミカル株式会社
積層体
2日前
三菱ケミカル株式会社
粘着剤組成物
4日前
三菱ケミカル株式会社
成形品の製造方法
1日前
三菱ケミカル株式会社
精製ガスの製造方法
1日前
三菱ケミカル株式会社
精製ガスの製造方法
1日前
三菱ケミカル株式会社
重合体及び樹脂組成物
2日前
三菱ケミカル株式会社
ポリエステル樹脂組成物
2日前
三菱ケミカル株式会社
オルガノポリシロキサン
2日前
三菱ケミカル株式会社
樹脂組成物、および成形品
1日前
三菱ケミカル株式会社
ポリウレタンエラストマー
3日前
三菱ケミカル株式会社
液晶組成物及び液晶調光素子
4日前
三菱ケミカル株式会社
プログラム、方法、情報処理装置
2日前
三菱ケミカル株式会社
ポリウレタン樹脂及びその成形品
3日前
三菱ケミカル株式会社
ケイ素及びヘテロ原子含有化合物
3日前
三菱ケミカル株式会社
ポリエステル系樹脂組成物、及び成形品
2日前
三菱ケミカル株式会社
槽の洗浄方法及びシリカ粒子の製造方法
2日前
三菱ケミカル株式会社
積層ポリエステルフィルム及びその応用
2日前
三菱ケミカル株式会社
コンポスト袋及び有機廃棄物の処理方法
4日前
三菱ケミカル株式会社
有機電界発光素子、表示装置、照明装置
1日前
三菱ケミカル株式会社
組成物及び生分解性物質を分解する方法
4日前
三菱ケミカル株式会社
樹脂組成物、ペレット、および、成形品
1日前
三菱ケミカル株式会社
有機電界発光素子、表示装置及び照明装置
2日前
三菱ケミカル株式会社
有機電界発光素子、表示装置及び照明装置
2日前
三菱ケミカル株式会社
有機電界発光素子、表示装置及び照明装置
2日前
三菱ケミカル株式会社
化合物、並びにその製造方法及びその使用
2日前
三菱ケミカル株式会社
プログラム、方法、情報処理装置、システム
2日前
三菱ケミカル株式会社
ポリウレタン又はそのコポリマーの製造方法
3日前
三菱ケミカル株式会社
建材用金属酸化物層被覆体、及びその製造方法
1日前
三菱ケミカル株式会社
多孔質支持体-ゼオライト膜複合体の製造方法
3日前
三菱ケミカル株式会社
離型フィルム、離型フィルムロール及び粘着体
1日前
三菱ケミカル株式会社
フィルムロールの製造装置及びフィルムロール
1日前
三菱ケミカル株式会社
離型フィルム、離型フィルムロール及び粘着体
1日前
三菱ケミカル株式会社
コロイド結晶層を含む積層体及びその製造方法
2日前
三菱ケミカル株式会社
プリプレグ、繊維強化複合材料およびその製造方法
3日前
続きを見る
他の特許を見る