TOP
|
特許
|
意匠
|
商標
特許ウォッチ
Twitter
他の特許を見る
10個以上の画像は省略されています。
公開番号
2025130570
公報種別
公開特許公報(A)
公開日
2025-09-08
出願番号
2024027825
出願日
2024-02-27
発明の名称
量子計算制御プログラム、量子計算制御方法、および情報処理装置
出願人
富士通株式会社
,
東京エレクトロン株式会社
代理人
弁理士法人扶桑国際特許事務所
主分類
G06N
10/60 20220101AFI20250901BHJP(計算;計数)
要約
【課題】分子の基底状態のエネルギー期待値の計算時間を短縮する。
【解決手段】情報処理装置10は、第1の量子ビットと第2の量子ビットとを組み合わせた複数の量子ビットペアを作成する。第1の量子ビットは、初期配置において電子が存在する第1の軌道に対応する。第2の量子ビットは、初期配置において電子が存在しない第2の軌道に対応する。情報処理装置10は、2量子ビットゲート4a~4jを、複数の量子ビットペアのうちの少なくとも一部に作用させる量子回路3を生成する。2量子ビットゲート4a~4jは、第1の量子ビットと第2の量子ビットとの状態を入れ替えない第1の状態と入れ替えられた第2の状態とのパラメータの値に応じた重ね合わせ状態を生じさせる量子ゲートである。量子回路3を量子コンピュータ1に繰り返し実行させることで、分子の基底状態でのエネルギー期待値を取得する。
【選択図】図1
特許請求の範囲
【請求項1】
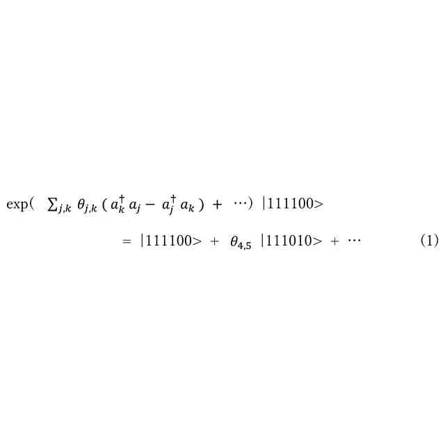
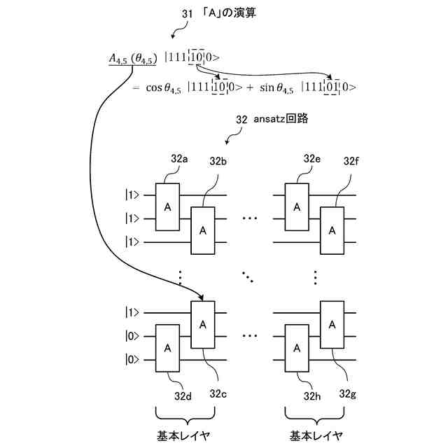
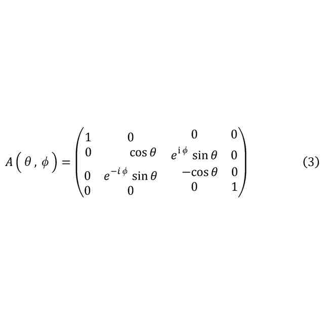
分子の複数の軌道それぞれを占有する電子の有無を示す複数の量子ビットのうちの、初期配置において電子が存在する第1の軌道に対応する第1の量子ビットと、前記初期配置において電子が存在しない第2の軌道に対応する第2の量子ビットとを組み合わせた複数の量子ビットペアを作成し、
前記第1の量子ビットと前記第2の量子ビットの状態を入れ替えない第1の状態と前記状態が入れ替えられた第2の状態とのパラメータの値に応じた重ね合わせ状態を生じさせる2量子ビットゲートを、前記複数の量子ビットペアのうちの少なくとも一部に作用させる量子回路を生成し、
前記2量子ビットゲートの前記パラメータの値を更新しながら前記量子回路を量子コンピュータに繰り返し実行させることで、前記分子の基底状態でのエネルギー期待値を取得する、
処理をコンピュータに実行させる量子計算制御プログラム。
続きを表示(約 1,600 文字)
【請求項2】
前記量子回路を生成する処理では、前記複数の量子ビットペアそれぞれについて、前記2量子ビットゲートを作用させることによる前記分子のエネルギー期待値を低下させる効果に関する評価値を計算し、前記評価値に基づいて、前記2量子ビットゲートを作用させる前記量子ビットペアを決定する、
請求項1記載の量子計算制御プログラム。
【請求項3】
前記量子回路を生成する処理では、前記複数の量子ビットペアそれぞれを評価対象として、評価対象の量子ビットペアに対して前記2量子ビットゲートを作用させ、評価対象外の量子ビットペアに対して前記2量子ビットゲートを作用させない評価用量子回路を生成し、前記2量子ビットゲートの前記パラメータの値を更新しながら前記評価用量子回路を前記量子コンピュータに繰り返し実行させることで得られるエネルギー期待値を前記評価値とする、
請求項2記載の量子計算制御プログラム。
【請求項4】
前記量子回路を生成する処理では、前記複数の量子ビットペアそれぞれを評価対象として、評価対象の量子ビットペアに対して前記2量子ビットゲートを作用させ、評価対象外の量子ビットペアに対して前記2量子ビットゲートを作用させない評価用量子回路を生成し、前記評価用量子回路を前記量子コンピュータに実行させることで、前記2量子ビットゲートの前記パラメータが所定値の場合におけるエネルギー期待値の微分係数を取得し、取得した前記微分係数を前記評価値とする、
請求項2記載の量子計算制御プログラム。
【請求項5】
前記複数の量子ビットペアを作成する処理では、αスピンの電子を配置できる前記第1の軌道に対応する前記第1の量子ビットと、βスピンの電子を配置できる前記第2の軌道に対応する前記第2の量子ビットとの前記量子ビットペアの作成を抑止し、βスピンの電子を配置できる前記第1の軌道に対応する前記第1の量子ビットと、αスピンの電子を配置できる前記第2の軌道に対応する前記第2の量子ビットとの前記量子ビットペアの作成を抑止する、
請求項1記載の量子計算制御プログラム。
【請求項6】
分子の複数の軌道それぞれを占有する電子の有無を示す複数の量子ビットのうちの、初期配置において電子が存在する第1の軌道に対応する第1の量子ビットと、前記初期配置において電子が存在しない第2の軌道に対応する第2の量子ビットとを組み合わせた複数の量子ビットペアを作成し、
前記第1の量子ビットと前記第2の量子ビットの状態を入れ替えない第1の状態と前記状態が入れ替えられた第2の状態とのパラメータの値に応じた重ね合わせ状態を生じさせる2量子ビットゲートを、前記複数の量子ビットペアのうちの少なくとも一部に作用させる量子回路を生成し、
前記2量子ビットゲートの前記パラメータの値を更新しながら前記量子回路を量子コンピュータに繰り返し実行させることで、前記分子の基底状態でのエネルギー期待値を取得する、
処理をコンピュータが実行する量子計算制御方法。
【請求項7】
分子の複数の軌道それぞれを占有する電子の有無を示す複数の量子ビットのうちの、初期配置において電子が存在する第1の軌道に対応する第1の量子ビットと、前記初期配置において電子が存在しない第2の軌道に対応する第2の量子ビットとを組み合わせた複数の量子ビットペアを作成し、前記第1の量子ビットと前記第2の量子ビットの状態を入れ替えない第1の状態と前記状態が入れ替えられた第2の状態とのパラメータの値に応じた重ね合わせ状態を生じさせる2量子ビットゲートを、前記複数の量子ビットペアのうちの少なくとも一部に作用させる量子回路を生成し、前記2量子ビットゲートの前記パラメータの値を更新しながら前記量子回路を量子コンピュータに繰り返し実行させることで、前記分子の基底状態でのエネルギー期待値を取得する処理部、
を有する情報処理装置。
発明の詳細な説明
【技術分野】
【0001】
本発明は、量子計算制御プログラム、量子計算制御方法、および情報処理装置に関する。
続きを表示(約 2,200 文字)
【背景技術】
【0002】
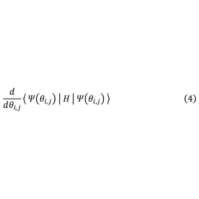
量子コンピュータを使用した量子化学計算の1つに変分量子固有値ソルバー法(VQE:Variational Quantum Eigensolver)と呼ばれる計算手法がある。VQEは、量子力学の多電子系における物理量の固有値(例えばエネルギーの最小固有値)および固有状態を計算する手法である。VQEでは、例えば以下の手順で、分子の基底状態のエネルギー期待値(エネルギーの最小固有値)が計算される。
1.古典コンピュータからの制御により、量子コンピュータ内に量子力学の多電子系における試行状態|ψ(θ)>を生成する(θは実数のパラメータ)。
2.量子コンピュータが試行状態のエネルギーの期待値「<ψ(θ)|H|ψ(θ)>」を計算する(Hはハミルトニアン)。
3.古典コンピュータは、エネルギーの期待値の計算結果をもとに、その期待値「<ψ(θ)|H|ψ(θ)>」を小さくするようにパラメータθの値を更新する。
【0003】
古典コンピュータと量子コンピュータとの連係動作により、エネルギーの期待値「<ψ(θ)|H|ψ(θ)>」の値が収束するまで上記の処理が繰り返される。これにより、近似的なエネルギー最小値およびその状態が求まる。
【0004】
試行状態|ψ(θ)>の関数形は、量子コンピュータでの計算効率がよいものが選択される。試行状態としては、UCC(Unitary Coupled-Cluster)ansatz、Symmetry Preserving Ansatzなどがある。
【0005】
VQEに関連する技術としては、例えば状態準備および測定反復の数を低減して、量子アルゴリズムまたは古典-量子アルゴリズム内の演算子平均化を実施する量子力学的オブザーバブルの期待値を推定するための方法が提案されている。また量子コンピューティング・マシンのための高ハードウェア効率VQEを実現するためのシステムも提案されている。さらに複数の演算子のうちの各演算子の測定値を決定するためのコンピュータ実装方法も提案されている。
【先行技術文献】
【特許文献】
【0006】
特開2023-99003号公報
特表2020-534607号公報
特表2022-544926号公報
【非特許文献】
【0007】
Bryan T. Gard, Linghua Zhu, George S. Barron, Nicholas J. Mayhall, Sophia E. Economou & Edwin Barnes, "Efficient symmetry-preserving state preparation circuits for the variational quantum eigensolver algorithm", npj Quantum Information volume 6, Article number: 10 (2020), 28 January 2020
【発明の概要】
【発明が解決しようとする課題】
【0008】
Symmetry Preserving Ansatzは、UCCansatzに比べて、Hartree-Fock状態と励起状態との重ね合わせの状態を簡易な量子ゲートで実現できる。しかし、Symmetry Preserving Ansatzでは、隣接する量子ビットの組に対してのみゲート操作を行うため、精度のよい結果を得るには、隣接する量子ビットの組に対するゲート操作を繰り返し行うこととなる。そのため、ansatzの回路長が深くなると共に、パラメータ数も増加する。回路長が深いとエネルギー期待値の1回あたりの計算に時間がかかる。またパラメータ数が多いと、エネルギーの期待値が収束するまでの計算の繰返し回数が多くなり、VQE全体の計算に時間がかかる。このように従来技術では、VQEにより分子の基底状態のエネルギー期待値を高精度に計算するには、計算に時間がかかる。
【0009】
1つの側面では、本件は、分子の基底状態のエネルギー期待値の計算時間を短縮することを目的とする。
【課題を解決するための手段】
【0010】
1つの案では、以下の処理をコンピュータに実行させる量子計算制御プログラムが提供される。
コンピュータは、分子の複数の軌道それぞれを占有する電子の有無を示す複数の量子ビットのうちの、初期配置において電子が存在する第1の軌道に対応する第1の量子ビットと、初期配置において電子が存在しない第2の軌道に対応する第2の量子ビットとを組み合わせた複数の量子ビットペアを作成する。コンピュータは、第1の量子ビットと第2の量子ビットの状態を入れ替えない第1の状態と状態が入れ替えられた第2の状態とのパラメータの値に応じた重ね合わせ状態を生じさせる2量子ビットゲートを、複数の量子ビットペアのうちの少なくとも一部に作用させる量子回路を生成する。そしてコンピュータは、2量子ビットゲートのパラメータの値を更新しながら量子回路を量子コンピュータに繰り返し実行させることで、分子の基底状態でのエネルギー期待値を取得する。
【発明の効果】
(【0011】以降は省略されています)
この特許をJ-PlatPat(特許庁公式サイト)で参照する
関連特許
富士通株式会社
行列演算回路
7日前
富士通株式会社
周波数変換器
10日前
富士通株式会社
冷却装置及び電子機器
7日前
富士通株式会社
演算処理装置及び演算処理方法
18日前
富士通株式会社
通信制御装置及び移動中継装置
4日前
富士通株式会社
動的多次元メディアコンテンツ投影
17日前
富士通株式会社
異常予測方法および異常予測プログラム
17日前
富士通株式会社
生成人工知能を使用したデータセット符号化
28日前
富士通株式会社
演算システムおよび演算システムの制御方法
25日前
富士通株式会社
管理装置、管理方法、および管理プログラム
5日前
富士通株式会社
交通シミュレーションのための方法および装置
17日前
富士通株式会社
プログラム、情報処理方法および情報処理装置
3日前
富士通株式会社
シストリック型の演算アレイ装置及び制御方法
19日前
富士通株式会社
予測プログラム、予測方法および情報処理装置
19日前
富士通株式会社
演算装置、情報処理装置及び演算装置の制御方法
19日前
富士通株式会社
制御プログラム、制御方法、および情報処理装置
5日前
富士通株式会社
情報処理プログラム、情報処理装置及び情報処理方法
25日前
富士通株式会社
異常検出プログラム、異常検出方法及び情報処理装置
17日前
富士通株式会社
レース内容再現方法およびレース内容再現プログラム
27日前
富士通株式会社
光送信機アナログ特性の監視装置と方法及び光送信機
28日前
富士通株式会社
情報処理プログラム,情報処理方法および情報処理装置
26日前
富士通株式会社
施策特定プログラム、施策特定方法および情報処理装置
17日前
富士通株式会社
施策特定プログラム、施策特定方法および情報処理装置
3日前
富士通株式会社
機械学習プログラム、機械学習方法および情報処理装置
3日前
富士通株式会社
情報処理プログラム、情報処理方法、および情報処理装置
3日前
富士通株式会社
情報処理プログラム、情報処理方法、および情報処理装置
10日前
富士通株式会社
情報処理プログラム、情報処理方法、および情報処理装置
10日前
富士通株式会社
データ生成プログラム、データ生成装置、及びデータ生成方法
5日前
富士通株式会社
量子計算制御プログラム、量子計算制御方法、および情報処理装置
28日前
富士通株式会社
量子回路軽量化プログラム、情報処理装置及び量子回路軽量化方法
18日前
富士通株式会社
量子計算支援プログラム、量子計算支援方法、および情報処理装置
4日前
富士通株式会社
情報処理装置、情報処理方法及びコンピュータ読み取り可能な記憶媒体
7日前
NTT株式会社
情報処理システム、情報処理装置および情報処理方法
4日前
富士通株式会社
アルゴリズム選択プログラム、アルゴリズム選択方法および情報処理装置
27日前
富士通株式会社
衝突リスク予測プログラム、衝突リスク予測方法及び衝突リスク予測装置
19日前
富士通株式会社
シミュレーションプログラム、シミュレーション方法および情報処理装置
17日前
続きを見る
他の特許を見る