TOP
|
特許
|
意匠
|
商標
特許ウォッチ
Twitter
他の特許を見る
公開番号
2025135274
公報種別
公開特許公報(A)
公開日
2025-09-18
出願番号
2024033036
出願日
2024-03-05
発明の名称
樹脂組成物及びその製造方法、3Dプリント用造形材料、並びに造形物
出願人
旭化成株式会社
代理人
個人
,
個人
,
個人
,
個人
,
個人
主分類
C08L
77/00 20060101AFI20250910BHJP(有機高分子化合物;その製造または化学的加工;それに基づく組成物)
要約
【課題】造形材料成形におけるプロセスウインドウの拡大と、造形物の積層痕低減による良好な外観とを高度に両立可能な樹脂組成物及びその製造方法、3Dプリント用造形材料、並びに造形物を提供する。
【解決手段】一態様において、セルロースナノファイバーと、ポリアミド系熱可塑性樹脂とを含む樹脂組成物であって、ポリアミド系熱可塑性樹脂が、非晶性ポリアミドと結晶性ポリアミドを含む、樹脂組成物が提供される。
【選択図】なし
特許請求の範囲
【請求項1】
セルロースナノファイバーと、ポリアミド系熱可塑性樹脂とを含む樹脂組成物であって、ポリアミド系熱可塑性樹脂が、非晶性ポリアミドと結晶性ポリアミドを含む、樹脂組成物。
続きを表示(約 780 文字)
【請求項2】
前記セルロースナノファイバーと前記非晶性ポリアミドの重量比(セルロースナノファイバー/非晶性ポリアミド)が0.001以上、0.45以下である、請求項1に記載の樹脂組成物。
【請求項3】
前記結晶性ポリアミドと前記非晶性ポリアミドの重量比(結晶性ポリアミド/非晶性ポリアミド)が0.1以上、10以下である、請求項1に記載の樹脂組成物。
【請求項4】
前記非晶性ポリアミドが半芳香族ポリアミドである、請求項1に記載の樹脂組成物。
【請求項5】
前記非晶性ポリアミドがジカルボン酸とジアミンとの共重合体である、請求項1に記載の樹脂組成物。
【請求項6】
前記ジカルボン酸がイソフタル酸である、請求項5に記載の樹脂組成物。
【請求項7】
前記結晶性ポリアミドの末端カルボキシ基比率と非晶性ポリアミドの末端カルボキシ基比率とが、各々0.5以上であり、又は各々0.5未満である、請求項1に記載の樹脂組成物。
【請求項8】
前記結晶性ポリアミドが、ポリアミド6、ポリアミド6/66、ポリアミド610、ポリアミド12、及びポリアミド66からなる群から選択される1種以上であり、前記非晶性ポリアミドが、ポリアミド6I、及びポリアミドMACM12からなる選択される1種以上である、請求項1に記載の樹脂組成物。
【請求項9】
前記結晶性ポリアミドがポリアミド6であり、前記非晶性ポリアミドがポリアミド6Iである、請求項8に記載の樹脂組成物。
【請求項10】
前記結晶性ポリアミドがポリアミド6であり、前記ポリアミド6の数平均分子量が10,000~40,000である、請求項8に記載の樹脂組成物。
(【請求項11】以降は省略されています)
発明の詳細な説明
【技術分野】
【0001】
本発明は、セルロースナノファイバーを含む樹脂組成物及びその製造方法、3Dプリント用造形材料、並びに造形物に関する。
続きを表示(約 3,500 文字)
【背景技術】
【0002】
樹脂材料は、軽く、加工特性に優れるため、自動車部材、電気・電子部材、事務機器ハウジング、精密部品等の多方面に広く使用されているが、樹脂単体では、機械特性、寸法安定性等が不十分である場合が多いことから、樹脂と各種フィラーとをコンポジットしたものが一般的に用いられている。近年、このようなフィラーとして、天然物由来材料であるセルロースナノファイバー(CNF)を使用することが検討されている。CNFは、優れた機械特性を有しながら環境への負荷が小さいという利点を有するが、その微細構造に起因して、乾燥状態では凝集し易いという性質があるため、安定分散が可能な分散液として製造される。例えば、セルロースナノファイバーを各種用途に適用する際には、上記分散液を樹脂と直接混合する場合と、当該分散液を一旦乾燥させた後、分散媒中に分散させ又は乾燥体のままで樹脂と混合する場合とがある。しかしセルロースナノファイバーにおいて、セルロース分子間の水素結合による凝集は極めて強固であることから、従来、セルロースナノファイバーの凝集を抑制するための手法が種々提案されている。
【0003】
例えば、特許文献1は、セルロースナノファイバーを凝集させること無く分散可能なセルロースナノファイバー用分散液として、(A)親水性セグメント及び疎水性セグメントを有し、数平均分子量が200~30000の水溶性ポリマーである表面処理剤、(B)ポリウレタン、及び水を含む分散液を記載する。
【先行技術文献】
【特許文献】
【0004】
特開2020-063408号公報
【発明の概要】
【発明が解決しようとする課題】
【0005】
近年特に、金型を作製することなく立体造形物を作製するための手段として、3Dプリンターによる造形が注目されている。3Dプリンターの造形方法には、熱溶解積層方式、光造形方式、材料噴射方式、粉末接着方式、粉末床溶融結合方式等が例示されるが、熱可塑性樹脂においては熱溶解積層方式及び粉末床溶融結合方式が採用されることが多い。これらの方式においては、熱可塑性樹脂を造形材料に成形する際の成形性や、造形材料を造形物に成形する際に積層痕を低減し良好な外観を保つことが課題となる。特許文献1に記載される技術は、特定の水溶性ポリマーとポリウレタンとを含む分散液によってセルロースナノファイバーの分散性を高めようとするものであるが、3Dプリント用造形材料に成形する際の成形性や、上記積層痕低減による良好な外観の維持においては未だ改善の余地があった。
【0006】
本発明の一態様は、上記の課題を解決し、造形材料成形におけるプロセスウインドウ(すなわち条件設計の自由度)の拡大と、造形物の積層痕低減による良好な外観とを高度に両立可能な樹脂組成物及びその製造方法、3Dプリント用造形材料、並びに造形物を提供することを目的とする。
【課題を解決するための手段】
【0007】
本開示は、以下の項目を包含する。
[1]
セルロースナノファイバーと、ポリアミド系熱可塑性樹脂とを含む樹脂組成物であって、ポリアミド系熱可塑性樹脂が、非晶性ポリアミドと結晶性ポリアミドを含む、樹脂組成物。
[2]
前記セルロースナノファイバーと前記非晶性ポリアミドの重量比(セルロースナノファイバー/非晶性ポリアミド)が0.001以上、0.45以下である、項目1に記載の樹脂組成物。
[3]
前記結晶性ポリアミドと前記非晶性ポリアミドの重量比(結晶性ポリアミド/非晶性ポリアミド)が0.1以上、10以下である、項目1又は2に記載の樹脂組成物。
[4]
前記非晶性ポリアミドが半芳香族ポリアミドである、項目1~3のいずれかに記載の樹脂組成物。
[5]
前記非晶性ポリアミドがジカルボン酸とジアミンとの共重合体である、項目1~4のいずれかに記載の樹脂組成物。
[6]
前記ジカルボン酸がイソフタル酸である、項目5に記載の樹脂組成物。
[7]
前記結晶性ポリアミドの末端カルボキシ基比率と非晶性ポリアミドの末端カルボキシ基比率とが、各々0.5以上であり、又は各々0.5未満である、項目1~6のいずれかに記載の樹脂組成物。
[8]
前記結晶性ポリアミドが、ポリアミド6、ポリアミド6/66、ポリアミド610、ポリアミド12、及びポリアミド66からなる群から選択される1種以上であり、前記非晶性ポリアミドが、ポリアミド6I、及びポリアミドMACM12からなる選択される1種以上である、項目1~7のいずれかに記載の樹脂組成物。
[9]
前記結晶性ポリアミドがポリアミド6であり、前記非晶性ポリアミドがポリアミド6Iである、項目8に記載の樹脂組成物。
[10]
前記結晶性ポリアミドがポリアミド6であり、前記ポリアミド6の数平均分子量が10,000~40,000である、項目8又は9に記載の樹脂組成物。
[11]
前記非晶性ポリアミドのガラス転移温度が100℃~200℃である、項目1~10のいずれかに記載の樹脂組成物。
[12]
さらに分散剤を含む、項目1~11のいずれかに記載の樹脂組成物。
[13]
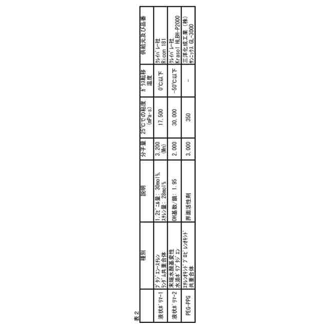
前記分散剤がポリエチレングリコールとポリプロピレングリコールとの共重合体を含む、項目12に記載の樹脂組成物。
[14]
前記セルロースナノファイバーの比表面積が2m
2
/g~400m
2
/gである、項目1~13のいずれかに記載の樹脂組成物。
[15]
前記セルロースナノファイバーがリンターパルプ由来である、項目1~14のいずれかに記載の樹脂組成物。
[16]
項目1~15のいずれかに記載の樹脂組成物からなる3Dプリント用造形材料。
[17]
フィラメントである、項目16に記載の3Dプリント用造形材料。
[18]
粉体である、項目16に記載の3Dプリント用造形材料。
[19]
項目1~15のいずれかに記載の樹脂組成物の製造方法であって、
セルロースナノファイバーと、ポリアミド系熱可塑性樹脂とを含む混合物を加熱混練することを含む、方法。
[20]
項目16~18のいずれかに記載の3Dプリント用造形材料を3Dプリンターにより造形してなる、造形物。
【発明の効果】
【0008】
本発明の一態様によれば、造形材料成形におけるプロセスウインドウの拡大と、造形物の積層痕低減による良好な外観とを高度に両立可能な樹脂組成物及びその製造方法、3Dプリント用造形材料、並びに造形物が提供され得る。
【発明を実施するための形態】
【0009】
本発明の例示の態様(以下、本実施形態ともいう。)について以下具体的に説明するが、本発明はこれらの態様に限定されるものではない。なお本開示の特性値は、特記がない限り、本開示の[実施例]の項に記載される方法又はこれと同等であることが当業者に理解される方法で測定される値である。
【0010】
≪樹脂組成物、3Dプリント用造形材料≫
本発明の一態様に係る樹脂組成物、又は当該樹脂組成物からなる3Dプリント用造形材料は、セルロースナノファイバーと、ポリアミド系熱可塑性樹脂を含み、当該ポリアミド系熱可塑性樹脂は非晶性ポリアミドと結晶性ポリアミドとを含む。セルロースナノファイバーと、ポリアミド系熱可塑性樹脂とを含む樹脂組成物に非晶性ポリアミドを含有させることは、熱可塑性樹脂中でのセルロースナノファイバー及び非晶性ポリアミドの相互作用による樹脂溶融特性制御及び結晶性制御に寄与する。本実施形態の樹脂組成物は、非晶性樹脂による低成形収縮といった特徴に加えて、セルロースナノファイバーの添加による意図しない結晶核剤効果を抑制し、造形材料成形時及び造形時のフィラメント割れを防ぐこと(したがって、造形材料成形における条件設計の自由度(プロセスウインドウ)を拡大すること)ができる点や、造形時の積層痕低減ができる点で有利で有り得る。
(【0011】以降は省略されています)
この特許をJ-PlatPat(特許庁公式サイト)で参照する
関連特許
旭化成株式会社
収納箱
1か月前
旭化成株式会社
検査装置
今日
旭化成株式会社
ゴム組成物
27日前
旭化成株式会社
研磨パッド
1か月前
旭化成株式会社
青果物輸送方法
1か月前
旭化成株式会社
紫外線照射装置
7日前
旭化成株式会社
積層体の製造方法
1か月前
旭化成株式会社
レーザダイオード
1か月前
旭化成株式会社
紫外線照射システム
2か月前
旭化成株式会社
積層体及び光学部材
3日前
旭化成株式会社
ポリアミドの製造方法
1か月前
旭化成株式会社
再生ABS系樹脂組成物
1か月前
旭化成株式会社
ポリアセタール樹脂組成物
1か月前
旭化成株式会社
硬化性組成物及び合成皮革
1か月前
旭化成株式会社
硬化性組成物及び合成皮革
1か月前
旭化成株式会社
検査装置および検査システム
13日前
旭化成株式会社
樹脂製偏光ビームスプリッタ
1か月前
旭化成株式会社
硬化性組成物、及びその硬化物
27日前
旭化成株式会社
イソシアネート化合物の製造方法
今日
旭化成株式会社
車両用シートとその振動低減方法
1か月前
旭化成株式会社
ホルムアルデヒドガスの製造方法
1か月前
旭化成株式会社
イソシアネート化合物の製造方法
今日
旭化成株式会社
水素製造システム及び水素製造方法
3日前
旭化成株式会社
塗料組成物、及び樹脂膜の製造方法
1か月前
旭化成株式会社
解析装置、システムおよびプログラム
6日前
旭化成株式会社
CNSLを用いたフェノールの製造方法
29日前
旭化成株式会社
設計支援プログラムおよび設計支援装置
1か月前
旭化成株式会社
予測システム、プログラム、及び予測方法
27日前
旭化成株式会社
ポリアセタール樹脂組成物及びその成形品
3日前
旭化成株式会社
フィルム、成形体、及びフィルムの貼替方法
13日前
旭化成株式会社
ポリアセタール樹脂組成物及び医療器具部品
3日前
旭化成株式会社
セルロース微細繊維ウェットケークの梱包体
3日前
旭化成株式会社
ポリアミド樹脂組成物、成形体および摺動部材
1か月前
旭化成株式会社
半導体デバイスの製造方法及び半導体デバイス
1か月前
旭化成株式会社
ホルムアルデヒド及びポリアセタールの製造方法
6日前
旭化成株式会社
ガラスクロス、プリプレグ、及びプリント配線板
3日前
続きを見る
他の特許を見る