TOP
|
特許
|
意匠
|
商標
特許ウォッチ
Twitter
他の特許を見る
10個以上の画像は省略されています。
公開番号
2025135510
公報種別
公開特許公報(A)
公開日
2025-09-18
出願番号
2024033416
出願日
2024-03-05
発明の名称
研磨パッドおよび研磨装置
出願人
富士紡ホールディングス株式会社
代理人
弁理士法人フィールズ国際特許事務所
主分類
B24B
37/24 20120101AFI20250910BHJP(研削;研磨)
要約
【課題】pHが3~6のスラリーを用いて被研磨物の研磨する際に、スラリーの種類によらず高い研磨性能を発揮できる研磨パッドおよび研磨装置を提供する。
【解決手段】
本発明の一の態様によれば、研磨層11を備える研磨パッド10であって、研磨層11が、樹脂11Bを含み、pHが3、4、5、6の4種類の電解液を用いて測定した研磨層11の研磨面11Aにおけるゼータ電位の絶対値がそれぞれ15mV以下であり、かつ前記ゼータ電位の標準偏差が10mV以下である、研磨パッド10が提供される。
【選択図】図1
特許請求の範囲
【請求項1】
研磨層を備える研磨パッドであって、
前記研磨層が、樹脂を含み、
pHが3、4、5、6の4種類の電解液を用いて測定した前記研磨層の研磨面におけるゼータ電位の絶対値がそれぞれ15mV以下であり、かつ前記ゼータ電位の標準偏差が10mV以下である、研磨パッド。
続きを表示(約 650 文字)
【請求項2】
研磨層を備える研磨パッドであって、
前記研磨層が、樹脂を含み、
pHが3、4、5、6の4種類の電解液を用いて測定した前記研磨層の研磨面におけるゼータ電位の絶対値がそれぞれ15mV以下であり、かつ前記ゼータ電位の最大値と最小値の差の絶対値が30mV以下である、研磨パッド。
【請求項3】
前記樹脂が、ポリウレタン樹脂を含む、請求項1または2に記載の研磨パッド。
【請求項4】
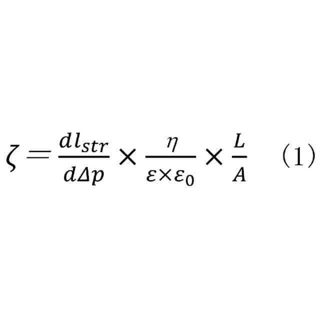
前記樹脂が、ポリイソシアネートに由来する構成単位およびポリオールに由来する構成単位を含むイソシアネート基末端ウレタンプレポリマーと、多量体のポリアミンとを含む硬化性樹脂組成物の硬化物であり、前記ポリオールに由来する構成単位が、エステル結合を含まず、かつ下記式(1)に示される構成単位を有する、請求項3に記載の研磨パッド。
JPEG
2025135510000008.jpg
18
153
(式(1)中、Rは置換されていてもよい炭素数3~12の直鎖状のアルキレン基を表し、mは4以上の整数を表す。
【請求項5】
前記ポリアミンが、三量体および四量体の少なくともいずれかを含む、請求項4に記載の研磨パッド。
【請求項6】
前記研磨層が、中空粒子をさらに含む、請求項1または2に記載の研磨パッド。
【請求項7】
請求項1または2に記載の研磨パッドを備える、研磨装置。
発明の詳細な説明
【技術分野】
【0001】
本発明は、研磨パッドおよび研磨装置に関する。
続きを表示(約 1,700 文字)
【背景技術】
【0002】
従来から、半導体ウエハ等の被研磨物の研磨には、非常に精密な平坦性が要求されるため、スラリーと研磨パッドを用いた化学的機械研磨法(CMP)が用いられている。CMPは、回転する研磨パッドの研磨面に、スラリーを供給しながら、半導体ウエハ等の被研磨物を圧接して回転させながら被研磨物の表面を研磨する方法である。現在、研磨パッドとしては、ポリウレタン樹脂等の合成樹脂から形成されているものが用いられている。
【0003】
近年、半導体基板上に形成される回路の高集積化に伴い、研磨パッドには高い平坦化性能が求められている。CMPで用いられるスラリーは、電気的特性を有する組成物であるため、被研磨物と研磨パッドの間で静電的引力および静電的反発力が発生する。このため、現在、スラリーとの親和性に着目した検討がなされている。例えば、pHが2~12の範囲に亘って正のゼータ電位を示す研磨パッド(例えば、特許文献1参照)、pH3~5の範囲に亘って+0.1mV~+30mVの正のゼータ電位を示す研磨パッド(例えば、特許文献2参照)、または中性領域において-50mV以上0mV未満の負のゼータ電位を示す研磨パッドが知られている。
【先行技術文献】
【特許文献】
【0004】
特開2020-75355号公報
特開2005-294661号公報
特許4326587号公報
【発明の概要】
【発明が解決しようとする課題】
【0005】
しかしながら、特許文献1~3においては、研磨面のゼータ電位が正負のいずれかのみを示すことが開示されているので、pHが3~6のスラリーを用いて被研磨物の研磨する際にスラリーの種類によっては、研磨面とスラリーの静電的引力が強すぎることにより研磨パッドの研磨面上でスラリーに含まれる砥粒の凝集等が生じ、また逆に研磨面とスラリーの静電的反発力が強すぎることにより研磨面とスラリーとの馴染みが悪くなり、研磨効率が低下してしまうことがある。したがって、スラリーの種類によっては、高い研磨性能を示さない場合がある。
【0006】
本発明は、上記問題を解決するためになされたものである。すなわち、pHが3~6のスラリーを用いて被研磨物の研磨する際に、スラリーの種類によらず高い研磨性能を発揮できる研磨パッドおよび研磨装置を提供することを目的とする。
【課題を解決するための手段】
【0007】
[1]研磨層を備える研磨パッドであって、前記研磨層が、樹脂を含み、pHが3、4、5、6の4種類の電解液を用いて測定した前記研磨層の研磨面におけるゼータ電位の絶対値がそれぞれ15mV以下であり、かつ前記ゼータ電位の標準偏差が10mV以下である、研磨パッド。
【0008】
[2]研磨層を備える研磨パッドであって、前記研磨層が、樹脂を含み、pHが3、4、5、6の4種類の電解液を用いて測定した前記研磨層の研磨面におけるゼータ電位の絶対値がそれぞれ15mV以下であり、かつ前記ゼータ電位の最大値と最小値の差の絶対値が30mV以下である、研磨パッド。
【0009】
[3]前記樹脂が、ポリウレタン樹脂を含む、上記[1]または[2]に記載の研磨パッド。
【0010】
[4]前記樹脂が、ポリイソシアネートに由来する構成単位およびポリオールに由来する構成単位を含むイソシアネート基末端ウレタンプレポリマーと、多量体のポリアミンとを含む硬化性樹脂組成物の硬化物であり、前記ポリオールに由来する構成単位が、エステル結合を含まず、かつ下記式(1)に示される構成単位を有する、上記[3]に記載の研磨パッド。
JPEG
2025135510000002.jpg
18
153
(式(1)中、Rは置換されていてもよい炭素数3~12の直鎖状のアルキレン基を表し、mは4以上の整数を表す。)
(【0011】以降は省略されています)
この特許をJ-PlatPat(特許庁公式サイト)で参照する
関連特許
個人
包丁研ぎ器具
2か月前
個人
研磨体
3か月前
株式会社クボタ
管研削装置
2か月前
株式会社村田製作所
切削装置
3か月前
株式会社ディスコ
被加工物の加工方法
14日前
株式会社ニッチュー
ブラスト装置
2か月前
不二空機株式会社
可搬型動力工具
3か月前
シンクス株式会社
ボード切断装置
4か月前
株式会社ディスコ
砥石
3か月前
トヨタ自動車株式会社
回転砥石の製造方法
2か月前
オークマ株式会社
円筒研削盤
3か月前
秀和工業株式会社
処理装置および処理方法
16日前
株式会社アイドゥス企画
受動変形内面研磨ホイール
1か月前
株式会社東京精密
研削装置
1か月前
株式会社ディスコ
加工方法
4か月前
中村留精密工業株式会社
レンズ保持装置
4か月前
嘉澤端子工業股分有限公司
グラインダー
4か月前
旭化成株式会社
研磨パッド
1か月前
Mipox株式会社
研磨部材の製造方法
1か月前
Mipox株式会社
研磨部材の製造方法
1か月前
Mipox株式会社
研磨部材の製造方法
1か月前
株式会社ディスコ
加工装置
23日前
株式会社ディスコ
研削装置
2か月前
セイコーインスツル株式会社
研削盤
4か月前
株式会社不二越
スルーフィード式の加工装置
4か月前
株式会社IHI
加工方法
4か月前
株式会社ディスコ
処理装置
2か月前
株式会社東京精密
スラリー供給装置
15日前
株式会社ディスコ
処理装置
3か月前
株式会社ディスコ
研削装置
1か月前
株式会社ディスコ
切削装置
2か月前
株式会社東京精密
加工装置
14日前
株式会社東京精密
加工装置
14日前
株式会社ディスコ
加工装置
16日前
株式会社ディスコ
切削装置
14日前
信越半導体株式会社
ウェーハの加工方法
2日前
続きを見る
他の特許を見る