TOP
|
特許
|
意匠
|
商標
特許ウォッチ
Twitter
他の特許を見る
公開番号
2025136861
公報種別
公開特許公報(A)
公開日
2025-09-19
出願番号
2024035766
出願日
2024-03-08
発明の名称
電極、電池及び電極の製造方法
出願人
FDK株式会社
代理人
弁理士法人鷲田国際特許事務所
主分類
H01M
4/06 20060101AFI20250911BHJP(基本的電気素子)
要約
【課題】バインダとしてフッ素樹脂を用いなくても、高いエネルギー密度を維持可能な電池を構成する電極を提供する。
【解決手段】電極は、二酸化マンガンを含む電極活物質と、アラミド繊維とを含む電極合剤層を含む。電極合剤層における前記アラミド繊維の含有量は、前記電極合剤層に対して0.01質量%以上0.3質量%以下である。
【選択図】図1
特許請求の範囲
【請求項1】
電極であって、
二酸化マンガンを含む電極活物質と、アラミド繊維とを含む電極合剤層を含み、
前記電極合剤層における前記アラミド繊維の含有量は、前記電極合剤層に対して0.01質量%以上0.3質量%以下である、
電極。
続きを表示(約 550 文字)
【請求項2】
前記電極合剤層は、側鎖にアリール基を有するポリアルキレンオキサイド系重合体をさらに含む、
請求項1に記載の電極。
【請求項3】
前記ポリアルキレンオキサイド系重合体は、エチレンオキサイド、プロピレンオキサイド及びフェニルグリシジルエーテルの共重合体である、
請求項2に記載の電極。
【請求項4】
請求項1~3のいずれか一項に記載の電極を含む、
電池。
【請求項5】
前記電池は、リチウム一次電池である、
請求項4に記載の電池。
【請求項6】
アラミド繊維と、分散剤と、水とを含む水分散液を準備する工程と、
前記水分散液と、二酸化マンガンを含む電極活物質とを混合して、電極合剤を得る工程と、
前記電極合剤中の溶媒を除去して、電極合剤層を形成する工程と、
を含み、
前記分散剤は、側鎖にアリール基を有するポリアルキレンオキサイド系重合体を含む、
電極の製造方法。
【請求項7】
前記電極合剤層における前記アラミド繊維の含有量は、前記電極合剤層に対して0.01質量%以上0.3質量%以下である、
請求項6に記載の電極の製造方法。
発明の詳細な説明
【技術分野】
【0001】
本発明は、電極、電池及び電極の製造方法に関する。
続きを表示(約 1,900 文字)
【背景技術】
【0002】
負極に金属リチウム、正極に二酸化マンガンやフッ化黒鉛等を用いたリチウム一次電池は、3V系高エネルギー密度電池として、小型電子機器の主電源や長期バックアップ用電源として広く用いられている。中でも、二酸化マンガンを用いたリチウム一次電池は、安価で、幅広い温度での出力特性にも優れることから、広く用いられている。
【0003】
二酸化マンガンを用いた正極は、二酸化マンガンと、導電助剤と、バインダとを混練した後、成形することにより作製される。バインダとしては、耐熱性や耐薬品性が高いことから、例えばPTFE(ポリテトラフルオロエチレン)やPVdF(ポリフッ化ビニリデン)等のフッ素樹脂が用いられている(例えば、特許文献1及び2参照)。
【先行技術文献】
【特許文献】
【0004】
国際公開第2019/044771号
特開2012-33373号公報
【発明の概要】
【発明が解決しようとする課題】
【0005】
しかしながら、近年では、環境負荷を低減する観点から、PFAS(パーフルオロアルキル化合物及びポリフルオロアルキル化合物)が規制対象とされており、上記したフッ素樹脂も規制対象とされている。そのため、バインダとして、従来のフッ素樹脂に代わる材料を使用できることが求められている。
【0006】
本発明は、上記課題に鑑みてなされたものであり、バインダとしてフッ素樹脂を用いなくても、高いエネルギー密度を維持可能な電池を構成する電極、電池及び電極の製造方法を提供することを目的とする。
【課題を解決するための手段】
【0007】
[1] 電極であって、二酸化マンガンを含む電極活物質と、アラミド繊維とを含む電極合剤層を含み、前記電極合剤層における前記アラミド繊維の含有量は、前記電極合剤層に対して0.01質量%以上0.3質量%以下である、電極。
[2] 前記電極合剤層は、側鎖にアリール基を有するポリアルキレンオキサイド系重合体をさらに含む、[1]に記載の電極。
[3] 前記ポリアルキレンオキサイド系重合体は、エチレンオキサイド、プロピレンオキサイド及びフェニルグリシジルエーテルの共重合体である、[2]に記載の電極。
[4] [1]~[3]のいずれかに記載の電極を含む、電池。
[5] 前記電池は、リチウム一次電池である、[4]に記載の電池。
[6] アラミド繊維と、分散剤と、水とを含む水分散液を準備する工程と、前記水分散液と、二酸化マンガンを含む電極活物質とを混合して、電極合剤を得る工程と、前記電極合剤中の溶媒を除去して、電極合剤層を形成する工程と、を含み、前記分散剤は、側鎖にアリール基を有するポリアルキレンオキサイド系重合体を含む、電極の製造方法。
[7] 前記電極合剤層における前記アラミド繊維の含有量は、前記電極合剤層に対して0.01質量%以上0.3質量%以下である、[6]に記載の電極の製造方法。
【発明の効果】
【0008】
本発明によれば、バインダとしてフッ素樹脂を用いなくても、高いエネルギー密度を維持可能な電池を構成する電極、電池及び電極の製造方法を提供することができる。
【図面の簡単な説明】
【0009】
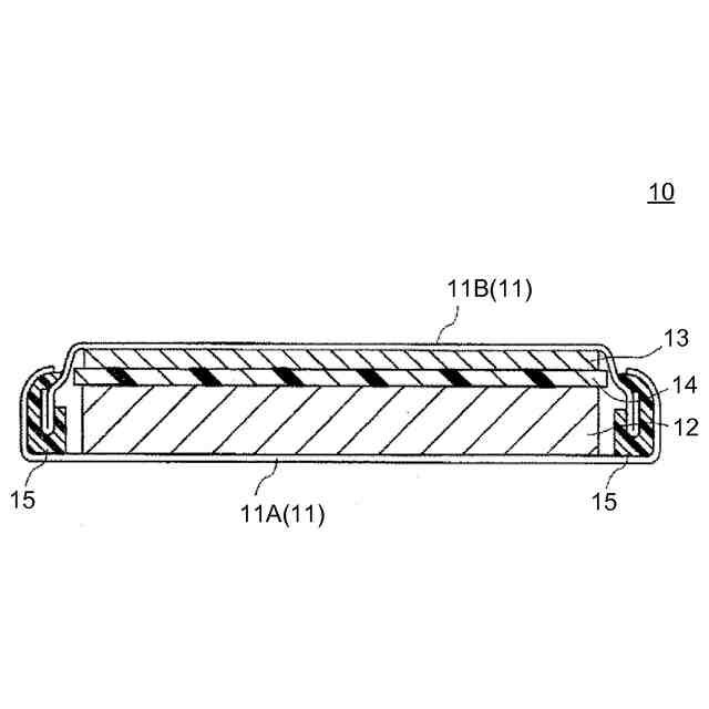
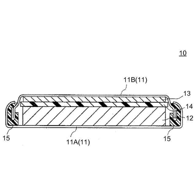
図1は、本発明の一実施形態に係る電池の構成の一例を示す模式的な断面図である。
図2は、実施例で使用したアラミド繊維の電子顕微鏡画像である。
図3は、正極ペレットの吸液試験の結果を示す写真である。
図4A~図4Gは、電池のインピーダンスの測定結果を示すグラフである。
図5A及び図5Bは、電池の放電試験の結果を示すグラフである。
【発明を実施するための形態】
【0010】
本発明者らは、鋭意検討した結果、二酸化マンガンを用いた電極のバインダとして、アラミド繊維(好ましくはミクロフィブリル化したアラミド繊維)を用いることにより、繊維化したアラミドが電極中で網目状構造を形成しうること、それにより、少量でも電極活物質や導電助剤を良好に結着させることができることを見出した。それにより、従来のフッ素樹脂を用いなくても、従来と同等以上の高いエネルギー密度を有する電池が得られることを見出した。
(【0011】以降は省略されています)
この特許をJ-PlatPat(特許庁公式サイト)で参照する
関連特許
FDK株式会社
基板
3日前
FDK株式会社
圧着端子
2日前
FDK株式会社
駆動装置
16日前
FDK株式会社
捲回型電池
1か月前
FDK株式会社
アルカリ電池
4日前
FDK株式会社
アルカリ電池
6日前
FDK株式会社
アルカリ電池
2か月前
FDK株式会社
リチウム電池
1か月前
FDK株式会社
リチウム電池
2日前
FDK株式会社
リチウムイオン電池
25日前
FDK株式会社
リチウムイオン電池
1か月前
FDK株式会社
リチウムイオン電池
1か月前
FDK株式会社
挿入実装部品用台座
1か月前
FDK株式会社
固体電解質及び固体電池
1か月前
FDK株式会社
電池および電池の製造方法
2か月前
FDK株式会社
全固体電池及びその製造方法
16日前
FDK株式会社
電極、電池及び電極の製造方法
16日前
FDK株式会社
無線通信ユニットおよび蓄電デバイス
2か月前
FDK株式会社
ニッケル水素電池及びニッケル水素電池の製造方法
25日前
個人
安全なNAS電池
1か月前
個人
フリー型プラグ安全カバー
1か月前
日本発條株式会社
積層体
6日前
東レ株式会社
多孔質炭素シート
25日前
ローム株式会社
半導体装置
4日前
キヤノン株式会社
電子機器
25日前
ローム株式会社
半導体装置
25日前
ローム株式会社
半導体装置
2日前
エイブリック株式会社
半導体装置
27日前
エイブリック株式会社
半導体装置
27日前
ローム株式会社
半導体装置
4日前
ローム株式会社
半導体装置
4日前
個人
防雪防塵カバー
6日前
株式会社ホロン
冷陰極電子源
2日前
株式会社GSユアサ
蓄電装置
6日前
東レ株式会社
ガス拡散層の製造方法
25日前
株式会社GSユアサ
蓄電装置
2日前
続きを見る
他の特許を見る