TOP
|
特許
|
意匠
|
商標
特許ウォッチ
Twitter
他の特許を見る
10個以上の画像は省略されています。
公開番号
2025140340
公報種別
公開特許公報(A)
公開日
2025-09-29
出願番号
2024039682
出願日
2024-03-14
発明の名称
予備品保有数量算出装置、予備品保有数量算出方法及びプログラム
出願人
三菱重工業株式会社
代理人
個人
,
個人
,
個人
,
個人
,
個人
主分類
G06Q
10/20 20230101AFI20250919BHJP(計算;計数)
要約
【課題】部品の故障回数の確率分布特性を考慮して、予備品の保有数を評価する技術を提供する。
【解決手段】予備品保有数量算出装置は、評価対象システムを構成する部品について、前記部品の時系列の故障・保全の実績データに基づいて、評価対象期間における部品の故障回数とその故障回数の故障が発生する確率を示す故障回数別の故障確率を算出する手段と、前記故障回数別の故障確率に基づいて、故障時に前記部品が欠品しない確率の目標値を達成することができる前記部品の予備品保有数量を算出する手段と、を有する。
【選択図】図1
特許請求の範囲
【請求項1】
評価対象システムを構成する部品について、前記部品の時系列の故障・保全の実績データに基づいて、評価対象期間における部品の故障回数とその故障回数の故障が発生する確率を示す故障回数別の故障確率を算出する手段と、
前記故障回数別の故障確率に基づいて、故障時に前記部品が欠品しない確率の目標値を達成することができる前記部品の予備品保有数量を算出する手段と、
を有する予備品保有数量算出装置。
続きを表示(約 1,700 文字)
【請求項2】
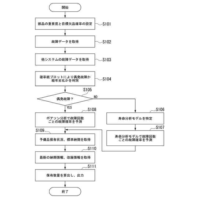
前記部品が偶発故障によって故障するか、又は、経年劣化によって故障するかを判別する手段、
をさらに有し、
前記故障回数別の故障確率を算出する手段は、偶発故障によって故障する前記部品については、前記部品の故障がポアソン分布に従って発生すると仮定して、前記故障回数別の故障確率を算出する、
請求項1に記載の予備品保有数量算出装置。
【請求項3】
前記故障回数別の故障確率を算出する手段は、経年劣化によって故障する前記部品については、前記部品の稼働時間と故障回数の関係が、ワイブル分布、正規分布、対数正規分布の寿命分布のうちの何れかに従うかを、ワイブル確率紙、正規分布確率紙、対数正規分布確率紙に基づいて決定し、決定した前記寿命分布に基づいて、前記故障回数別の故障確率を算出する、
請求項2に記載の予備品保有数量算出装置。
【請求項4】
前記判別する手段は、前記部品の稼働時間と故障回数の関係を、ワイブル確率紙にプロットした場合に、プロットした点の近似曲線の傾きが1より大きければ、前記部品は経年劣化によって故障すると判別し、前記傾きが1を基準とする所定の範囲内であれば、前記部品は偶発故障によって故障すると判別する、
請求項2に記載の予備品保有数量算出装置。
【請求項5】
前記部品の改廃情報を取得する手段、をさらに有し、
前記故障回数別の故障確率を算出する手段は、前記改廃情報が前記部品の製造の停止を示す場合、製造停止となる時期までの前記故障回数別の故障確率を算出し、
前記予備品保有数量を算出する手段は、前記部品が製造停止となるまでの前記故障回数別の故障確率に基づいて、前記予備品保有数量を算出する、
請求項1又は請求項2に記載の予備品保有数量算出装置。
【請求項6】
前記部品の重要度を設定する手段、をさらに有し、
前記予備品保有数量を算出する手段は、前記重要度に応じて、前記予備品保有数量を調整する、
請求項1又は請求項2に記載の予備品保有数量算出装置。
【請求項7】
前記評価対象システム以外の他システムから前記部品の前記実績データを取得する手段、をさらに備え、
前記故障回数別の故障確率を算出する手段は、前記他システムの前記部品の前記実績データに基づいて前記故障回数別の故障確率を算出し、
前記予備品保有数量を算出する手段は、当該故障回数別の故障確率に基づいて、前記予備品保有数量を算出する、
請求項1又は請求項2に記載の予備品保有数量算出装置。
【請求項8】
前記評価対象システム以外の他システムから前記部品の前記実績データを取得する手段は、前記他システムの前記部品の名称を前記評価対象システムにおける前記部品の名称に変換するための共通辞書を有する、
請求項7に記載の予備品保有数量算出装置。
【請求項9】
コンピュータによって実行される予備品保有数量算出方法であって、
評価対象システムを構成する部品について、前記部品の時系列の故障・保全の実績データに基づいて、評価対象期間における部品の故障回数とその故障回数の故障が発生する確率を示す故障回数別の故障確率を算出するステップと、
前記故障回数別の故障確率に基づいて、故障時に前記部品が欠品しない確率の目標値を達成することができる前記部品の予備品保有数量を算出するステップと、
を有する予備品保有数量算出方法。
【請求項10】
コンピュータに、
評価対象システムを構成する部品について、前記部品の時系列の故障・保全の実績データに基づいて、評価対象期間における部品の故障回数とその故障回数の故障が発生する確率を示す故障回数別の故障確率を算出するステップと、
前記故障回数別の故障確率に基づいて、故障時に前記部品が欠品しない確率の目標値を達成することができる前記部品の予備品保有数量を算出するステップと、
を実行させるプログラム。
発明の詳細な説明
【技術分野】
【0001】
本開示は、予備品保有数量算出装置、予備品保有数量算出方法及びプログラムに関する。
続きを表示(約 1,600 文字)
【背景技術】
【0002】
特許文献1には、システムを構成する部品の最適な予備品数量を評価する方法が開示されている。この評価方法では、部品の平均故障間動作時間(MTBF)、故障時の部品交換に必要な作業停止時間、部品を調達するための新品調達時間、欠品停止時間の上下限範囲などに基づいて、部品欠品時のシステム停止時間の平均値(平均欠品停止時間)を算出し、部品の予備品数と平均欠品停止時間に基づいて予備品の最適数を評価する。この評価方法では、部品の故障発生回数に関する確率分布特性が考慮されていない。
【先行技術文献】
【特許文献】
【0003】
特許第5999460号公報
【発明の概要】
【発明が解決しようとする課題】
【0004】
システムに装着されている部品の故障回数の確率分布特性を考慮して、予備品の適正保有数を評価する方法を提供する。
【0005】
本開示は、上記課題を解決することができる予備品保有数量算出装置、予備品保有数量算出方法及びプログラムを提供する。
【課題を解決するための手段】
【0006】
本開示に係る予備品保有数量算出装置は、評価対象システムを構成する部品について、前記部品の時系列の故障・保全の実績データに基づいて、評価対象期間における部品の故障回数とその故障回数の故障が発生する確率を示す故障回数別の故障確率を算出する手段と、前記故障回数別の故障確率に基づいて、故障時に前記部品が欠品しない確率の目標値を達成することができる前記部品の予備品保有数量を算出する手段と、を有する。
【0007】
本開示に係る予備品保有数量算出方法は、評価対象システムを構成する部品について、前記部品の時系列の故障・保全の実績データに基づいて、評価対象期間における部品の故障回数とその故障回数の故障が発生する確率を示す故障回数別の故障確率を算出するステップと、前記故障回数別の故障確率に基づいて、故障時に前記部品が欠品しない確率の目標値を達成することができる前記部品の予備品保有数量を算出するステップと、を有する。
【0008】
本開示に係るプログラムは、コンピュータに、評価対象システムを構成する部品について、前記部品の時系列の故障・保全の実績データに基づいて、評価対象期間における部品の故障回数とその故障回数の故障が発生する確率を示す故障回数別の故障確率を算出するステップと、前記故障回数別の故障確率に基づいて、故障時に前記部品が欠品しない確率の目標値を達成することができる前記部品の予備品保有数量を算出するステップと、を実行させる。
【発明の効果】
【0009】
本開示の予備品保有数量算出装置、予備品保有数量算出方法及びプログラムによれば、部品の故障回数の確率分布特性を考慮して、予備品の適正保有数を評価することができる。
【図面の簡単な説明】
【0010】
実施形態に係る予備品保有数量算出装置の一例を示すブロック図である。
実施形態に係る部品の重要度の一例を示す図である。
実施形態に係る予備品保有数量算出処理の一例を示すフローチャートである。
実施形態に係る故障・保全データの一例を示す図である。
実施形態に係るワイブル確率紙の一例を示す図である。
実施形態に係る正規確率紙の一例を示す図である。
実施形態に係る対数正規確率紙の一例を示す図である。
実施形態に係る時系列の故障回数と故障確率について説明する図である。
実施形態に係る故障確率の算出方法について説明する図である。
実施形態の予備品保有数量算出装置のハードウェア構成の一例を示す図である。
【発明を実施するための形態】
(【0011】以降は省略されています)
この特許をJ-PlatPat(特許庁公式サイト)で参照する
関連特許
三菱重工業株式会社
清掃装置
1日前
三菱重工業株式会社
フィルタ装置
今日
三菱重工業株式会社
容器解体装置
4日前
三菱重工業株式会社
風力発電装置
今日
三菱重工業株式会社
主蒸気管洗浄方法
今日
三菱重工業株式会社
軌道系交通システム
今日
三菱重工業株式会社
炉内構造物の解体方法
4日前
三菱重工業株式会社
造形プロセスの監視方法
8日前
三菱重工業株式会社
水素供給システムおよび方法
4日前
三菱重工業株式会社
ウエハステージ冷却システム
8日前
三菱重工業株式会社
内燃機関の制御装置および方法
今日
三菱重工業株式会社
蒸気タービン翼及び蒸気タービン
今日
三菱重工業株式会社
蒸気生成システム及び蒸気生成方法
1日前
三菱重工業株式会社
排気設備、及びこれを備えるガスタービン
2日前
三菱重工業株式会社
電力変換器、および電力変換器の製造方法
今日
三菱重工業株式会社
除去装置、除去装置の制御装置および除去方法
4日前
三菱重工業株式会社
液滴噴霧ユニット、および、蒸気タービンシステム
8日前
三菱重工業株式会社
フォークリフトの制御装置および方法並びにフォークリフト
今日
三菱重工業株式会社
スピレージホッパ及び粉砕機並びにスピレージホッパの運転方法
7日前
三菱重工業株式会社
予備品保有数量算出装置、予備品保有数量算出方法及びプログラム
4日前
三菱重工業株式会社
水電解システム、水電解システムにおける水電解セルの差圧調整方法
4日前
三菱重工業株式会社
故障診断システム、故障診断方法、及び故障診断プログラム並びに移動体
8日前
個人
フラワーコートA
1か月前
個人
工程設計支援装置
1か月前
個人
地球保全システム
2日前
個人
介護情報提供システム
2か月前
個人
為替ポイント伊達夢貯
29日前
個人
冷凍食品輸出支援構造
29日前
個人
携帯情報端末装置
1か月前
個人
表変換編集支援システム
22日前
個人
結婚相手紹介支援システム
1か月前
個人
知財出願支援AIシステム
29日前
個人
AIによる情報の売買の仲介
1か月前
個人
行動時間管理システム
24日前
個人
パスワード管理支援システム
22日前
個人
AIキャラクター制御システム
22日前
続きを見る
他の特許を見る