TOP
|
特許
|
意匠
|
商標
特許ウォッチ
Twitter
他の特許を見る
10個以上の画像は省略されています。
公開番号
2025142335
公報種別
公開特許公報(A)
公開日
2025-09-30
出願番号
2025127523,2024106647
出願日
2025-07-30,2021-06-08
発明の名称
マネージャ、制御方法、制御プログラム、及び車両
出願人
トヨタ自動車株式会社
代理人
弁理士法人小笠原特許事務所
主分類
B60W
50/00 20060101AFI20250919BHJP(車両一般)
要約
【課題】車両の横方向の運動を表す情報を生成するために必要な情報をADASアプリケーションに対して出力するマネージャなどを提供する。
【解決手段】車両に搭載されたマネージャであって、複数のADASアプリケーションから、車両の横方向の運動を表す情報である第1情報を含む複数の行動計画を受け付ける受付部と、複数の行動計画を調停する調停部と、調停部による調停結果に基づいて運動要求を算出する算出部と、運動要求を複数のアクチュエータシステムの少なくとも1つに分配する第1出力部と、第1情報を生成するために用いる第2情報を、複数のADASアプリケーションの少なくとも1つに出力する第2出力部と、第2情報を記憶する記憶部と、を備える。
【選択図】図1
特許請求の範囲
【請求項1】
車両に搭載されたマネージャであって、
複数のADASアプリケーションから、車両の横方向の運動を表す情報である第1情報を含む複数の行動計画を受け付ける受付部と、
前記複数の行動計画を調停する調停部と、
前記調停部による調停結果に基づく運動要求を、複数のアクチュエータシステムの少なくとも1つに分配する第1出力部と、
前記第1情報を生成するために用いる第2情報を、前記複数のADASアプリケーションの少なくとも1つに出力する第2出力部と、
前記第2情報を記憶する記憶部と、を備える、マネージャ。
続きを表示(約 1,000 文字)
【請求項2】
前記第2情報は、車両の重心点から前輪までの距離、車両の重心点から後輪までの距離、タイヤから発生するコーナリングスティフネス、車両の質量、速度、横すべり角、及びヨーレートの1つ以上を含む、請求項1に記載のマネージャ。
【請求項3】
前記横方向の運動を表す前記第1情報が、舵角であり、
前記第2出力部は、前記第2情報として、車両の重心点から前輪までの距離、車両の重心点から後輪までの距離、前輪タイヤから発生するコーナリングスティフネス、後輪タイヤから発生するコーナリングスティフネス、車両の質量、速度、横すべり角、及びヨーレートを出力する、請求項2に記載のマネージャ。
【請求項4】
前記横方向の運動を表す前記第1情報が、曲率又は曲率半径であり、
前記第2出力部は、前記第2情報として、速度、横すべり角、及びヨーレートを出力する、請求項2に記載のマネージャ。
【請求項5】
プロセッサと、メモリと、記憶装置とを備え、車両に搭載されたマネージャのコンピューターが実行する制御方法であって、
複数のADASアプリケーションから、車両の横方向の運動を表す情報である第1情報を含む複数の行動計画を受け付けるステップと、
前記複数の行動計画を調停するステップと、
前記調停の結果に基づく運動要求を、複数のアクチュエータシステムの少なくとも1つに分配するステップと、
前記記憶装置に予め記憶されている前記第1情報を生成するために用いる第2情報を、前記複数のADASアプリケーションの少なくとも1つに出力するステップと、を含む、制御方法。
【請求項6】
プロセッサと、メモリと、記憶装置とを備え、車両に搭載されたマネージャのコンピューターに実行させる制御プログラムであって、
複数のADASアプリケーションから、車両の横方向の運動を表す情報である第1情報を含む複数の行動計画を受け付けるステップと、
前記複数の行動計画を調停するステップと、
前記調停の結果に基づく運動要求を、複数のアクチュエータシステムの少なくとも1つに分配するステップと、
前記記憶装置に予め記憶されている前記第1情報を生成するために用いる第2情報を、前記複数のADASアプリケーションの少なくとも1つに出力するステップと、を含む、制御プログラム。
【請求項7】
請求項1乃至4のいずれか1項に記載のマネージャを搭載した、車両。
発明の詳細な説明
【技術分野】
【0001】
本開示は、車両に搭載されるマネージャなどに関する。
続きを表示(約 1,500 文字)
【背景技術】
【0002】
近年、運転支援機能(自動運転、自動駐車、先進運転支援など)の機能を実現する複数のアプリケーションが車両に実装されている。複数のアプリケーションを実装する場合、車両に搭載された1つのアクチュエータシステム(例えばステアリング装置)に対して複数の要求が発生する場合がある。
【0003】
特許文献1や特許文献2には、複数のアプリケーションからアクチュエータシステムに対して出力される複数の要求を受け付けて、この受け付けた複数の要求を調停し、その調停結果に基づいてアクチュエータシステムを駆動するための要求を出力する、制御装置(マネージャ)が開示されている。
【先行技術文献】
【特許文献】
【0004】
特開2020-032894号公報
特開2020-032893号公報
【発明の概要】
【発明が解決しようとする課題】
【0005】
先進運転支援の機能を実現するADAS(Advanced Driver Assistance System)アプリケーションがマネージャに対して出力する車両の運動を制御するための要求には、車両の横方向の運動を表す情報が含まれる。しかしながら、ADASアプリケーションにおいて車両の横方向の運動を表す情報をどのように生成するかについては、具体的に検討されていなかった。
【0006】
本開示は、上記課題を鑑みてなされたものであり、車両の横方向の運動を表す情報を生成するために必要な情報をADASアプリケーションに対して出力するマネージャなどを提供することを目的とする。
【課題を解決するための手段】
【0007】
上記課題を解決するために、本開示技術の一態様は、車両に搭載されたマネージャであって、複数のADASアプリケーションから、車両の横方向の運動を表す情報である第1情報を含む複数の行動計画を受け付ける受付部と、複数の行動計画を調停する調停部と、調停部による調停結果に基づいて運動要求を算出する算出部と、運動要求を複数のアクチュエータシステムの少なくとも1つに分配する第1出力部と、第1情報を生成するために用いる第2情報を、複数のADASアプリケーションの少なくとも1つに出力する第2出力部と、第2情報を記憶する記憶部と、を備える、マネージャである。
【発明の効果】
【0008】
本開示によれば、マネージャが、車両の横方向の運動を表す第1情報を生成するために必要な第2情報をADASアプリケーションに出力するので、ADASアプリケーションは、この第2情報に基づいて車両の横方向の運動を表す第1情報を容易に生成することができる。
【図面の簡単な説明】
【0009】
本開示の一実施形態に係るシステムの概略構成を示すブロック図
図1に示したマネージャの機能ブロック図
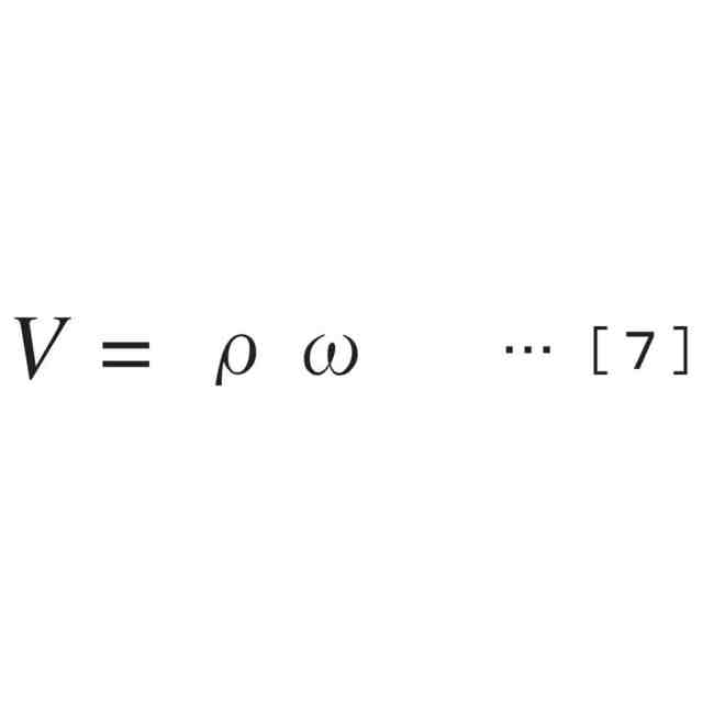
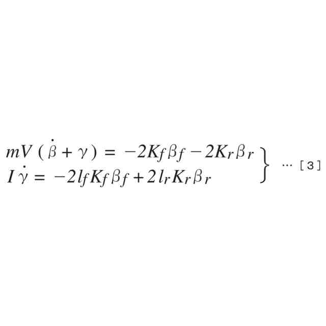
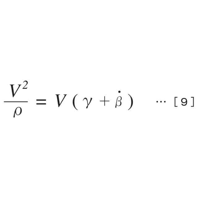
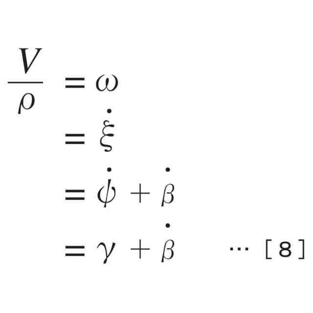
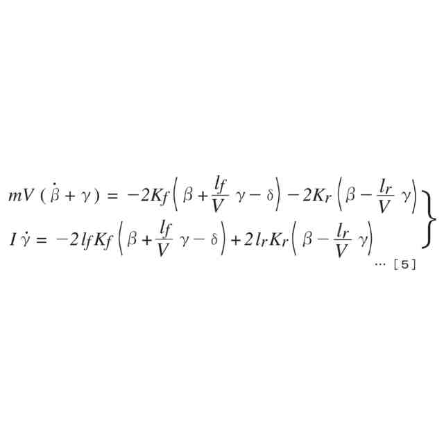
二輪車モデルの運動方程式を説明するための図
曲率と加速度との関係を説明するための図
【発明を実施するための形態】
【0010】
本開示の車両システムでは、マネージャが、車両の横方向の運動を表す舵角や曲率などを生成するために必要な情報をADASアプリケーションに出力する。これにより、ADASアプリケーションは、マネージャから取得した情報に基づいて車両の横方向の運動を表す舵角や曲率などを容易に生成することができる。
以下、本開示の一実施形態について、図面を参照しながら詳細に説明する。
(【0011】以降は省略されています)
この特許をJ-PlatPat(特許庁公式サイト)で参照する
関連特許
トヨタ自動車株式会社
車両
5日前
トヨタ自動車株式会社
電池
1日前
トヨタ自動車株式会社
電池
9日前
トヨタ自動車株式会社
車両
9日前
トヨタ自動車株式会社
車両
5日前
トヨタ自動車株式会社
回転子
5日前
トヨタ自動車株式会社
電動車
5日前
トヨタ自動車株式会社
ロータ
7日前
トヨタ自動車株式会社
電動車
5日前
トヨタ自動車株式会社
電動車
5日前
トヨタ自動車株式会社
電動車
7日前
トヨタ自動車株式会社
サーバ
13日前
トヨタ自動車株式会社
電解液
5日前
トヨタ自動車株式会社
電動車
1日前
トヨタ自動車株式会社
蓄電装置
9日前
トヨタ自動車株式会社
切断装置
5日前
トヨタ自動車株式会社
駆動装置
5日前
トヨタ自動車株式会社
蓄電セル
5日前
トヨタ自動車株式会社
蓄電装置
9日前
トヨタ自動車株式会社
蓄電装置
9日前
トヨタ自動車株式会社
蓄電装置
9日前
トヨタ自動車株式会社
蓄電装置
5日前
トヨタ自動車株式会社
電源装置
5日前
トヨタ自動車株式会社
制御装置
5日前
トヨタ自動車株式会社
制御装置
9日前
トヨタ自動車株式会社
電動車両
5日前
トヨタ自動車株式会社
制御装置
9日前
トヨタ自動車株式会社
蓄電装置
9日前
トヨタ自動車株式会社
制御装置
9日前
トヨタ自動車株式会社
二次電池
9日前
トヨタ自動車株式会社
蓄電セル
7日前
トヨタ自動車株式会社
蓄電装置
6日前
トヨタ自動車株式会社
検査装置
9日前
トヨタ自動車株式会社
塗布装置
7日前
トヨタ自動車株式会社
蓄電装置
6日前
トヨタ自動車株式会社
冷却構造
12日前
続きを見る
他の特許を見る