TOP
|
特許
|
意匠
|
商標
特許ウォッチ
Twitter
他の特許を見る
10個以上の画像は省略されています。
公開番号
2025145693
公報種別
公開特許公報(A)
公開日
2025-10-03
出願番号
2024046010
出願日
2024-03-22
発明の名称
感光性樹脂組成物、硬化膜、および表示装置
出願人
東レ株式会社
代理人
主分類
G03F
7/023 20060101AFI20250926BHJP(写真;映画;光波以外の波を使用する類似技術;電子写真;ホログラフイ)
要約
【課題】基板密着性に優れ、デバイスの製造工程で使用するレジスト剥離液に浸漬後も高い基板密着性を維持する硬化膜を提供すること。加えて、良好な発光特性を示し、信頼性に優れる表示装置を提供すること。
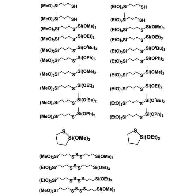
【解決手段】(a)シロキサン樹脂、(b)感光剤、(c)硫黄原子を含有するシラン化合物、および(d)エポキシ基を含有する化合物、を含む感光性樹脂組成物であって、前記(c)硫黄原子を含有するシラン化合物が下記一般式(1)で表される構造の官能基を持つ、感光性樹脂組成物。
<com:Image com:imageContentCategory="Drawing"> <com:ImageFormatCategory>TIFF</com:ImageFormatCategory> <com:FileName>2025145693000019.tif</com:FileName> <com:HeightMeasure com:measureUnitCode="Mm">17</com:HeightMeasure> <com:WidthMeasure com:measureUnitCode="Mm">170</com:WidthMeasure> </com:Image>
(Xは水素、または炭素数1~18の有機基である。*は結合手を示す。)
【選択図】なし
特許請求の範囲
【請求項1】
(a)シロキサン樹脂、(b)感光剤、(c)硫黄原子を含有するシラン化合物、および(d)エポキシ基を含有する化合物、を含む感光性樹脂組成物であって、前記(c)硫黄原子を含有するシラン化合物が下記一般式(1)で表される構造の官能基を持つ化合物である、感光性樹脂組成物。
TIFF
2025145693000016.tif
16
170
(Xは水素、または炭素数1~18の有機基である。*は結合手を示す。)
続きを表示(約 930 文字)
【請求項2】
前記(a)シロキサン樹脂が重合性の炭素-炭素二重結合を有する請求項1に記載の感光性樹脂組成物。
【請求項3】
前記重合性の炭素-炭素二重結合が、下記一般式(2)の構造で表される官能基である、請求項2に記載の感光性樹脂組成物。
TIFF
2025145693000017.tif
38
170
(一般式(2)中、R
I
は単結合もしくは炭素数1~10の炭化水素基。R
II
、R
III
、R
IV
は、それぞれ水素、もしくは炭素数1~10の炭化水素基。なお、R
I
、R
II
、R
III
、R
IV
のうち2つ以上が結合し、環を形成していてもよい。*はSi原子との結合手を示す。)
【請求項4】
前記(b)感光剤がナフトキノンジアジド化合物である、請求項1に記載の感光性樹脂組成物。
【請求項5】
前記一般式(1)におけるXが下記一般式(3)で表される基である、請求項1に記載の感光性樹脂組成物
TIFF
2025145693000018.tif
37
170
(R
V
、R
VI
、R
VII
はそれぞれ炭素数1~6のアルキル基またはアルコキシ基。*は硫黄原子との結合手を示す。)
【請求項6】
さらに、(e)メジアン径100~400nmの粒子を含有する請求項1に記載の感光性樹脂組成物。
【請求項7】
前記(e)メジアン径100~400nmの粒子が、酸化チタン、酸化亜鉛、酸化ジルコニウムから選ばれた1種以上を含有する請求項6に記載の感光性樹脂組成物。
【請求項8】
請求項1~7いずれかに記載の感光性樹脂組成物を硬化させてなる硬化膜。
【請求項9】
請求項8に記載の硬化膜を有する表示装置。
【請求項10】
請求項9に記載の表示装置を有する情報端末。
発明の詳細な説明
【技術分野】
【0001】
本発明は、感光性樹脂組成物、硬化膜およびそれを具備する表示装置に関する。
続きを表示(約 1,300 文字)
【背景技術】
【0002】
近年、TV、スマートフォン、スマートウォッチ、AR/VR端末などの薄型ディスプレイにおいて、有機エレクトロルミネッセンス(以下、「有機EL」)ディスプレイ、量子ドットディスプレイ、またはマイクロ発光ダイオード(以下、「LED」)ディスプレイに関する技術が盛んに研究されている。
【0003】
例えば、有機ELディスプレイの画素分割層、マイクロLEDの隔壁層および平坦化層、各種ディスプレイの薄膜トランジスタ(以下「TFT」)の平坦化層や、その他周辺部材の絶縁膜などは、フォトリソグラフィーによりパターニングされた感光性樹脂組成物の硬化膜により形成される。これらの硬化膜は、長時間の発光に晒されるため、優れた耐光性が求められている。高い耐光性を持つ硬化膜としてシロキサン樹脂を用いた樹脂組成物の硬化膜が知られている(例えば、特許文献1、2参照)。
【先行技術文献】
【特許文献】
【0004】
特開2006/178436号
国際公開第2023/054226号
【発明の概要】
【発明が解決しようとする課題】
【0005】
特許文献1または2に記載のシロキサン樹脂を用いた樹脂組成物の硬化膜は、デバイスを作製する工程において、レジスト剥離液に浸漬された後の基板密着性が低下するという課題があった。具体的には、硬化膜をレジスト剥離液に浸漬させると、アルミナ基板などの特定の基板に対する密着性が低下してしまう。硬化膜と、隣接する配線、発光素子などの部材との間で剥がれが生じると、配線のクラックや素子の破損によるディスプレイの発光不良を引き起こす。
【0006】
そこで本発明では基板密着性に優れ、デバイスの製造工程で使用するレジスト剥離液に浸漬後も高い基板密着性を維持する硬化膜を提供することを目的とする。また、良好な発光特性を示し、信頼性に優れた表示装置を提供することを目的とする。
【課題を解決するための手段】
【0007】
本発明は、以下の構成をとる。
[1](a)シロキサン樹脂、(b)感光剤、(c)硫黄原子を含有するシラン化合物、および(d)エポキシ基を含有する化合物、を含む感光性樹脂組成物であって、前記(c)硫黄原子を含有するシラン化合物が下記一般式(1)で表される構造の官能基を持つ化合物である、感光性樹脂組成物。
【0008】
TIFF
2025145693000001.tif
18
170
【0009】
Xは水素、または炭素数1~18の有機基である。*は結合手を示す。
[2]前記(a)シロキサン樹脂が重合性の炭素-炭素二重結合を有する請求項1に記載の感光性樹脂組成物。
[3]前記重合性の炭素-炭素二重結合が、下記一般式(2)の構造で表される官能基である、請求項2に記載の感光性樹脂組成物。
【0010】
TIFF
2025145693000002.tif
36
170
(【0011】以降は省略されています)
この特許をJ-PlatPat(特許庁公式サイト)で参照する
関連特許
東レ株式会社
防護服
今日
東レ株式会社
浄水器
18日前
東レ株式会社
複合半透膜
1か月前
東レ株式会社
風車ブレード
1か月前
東レ株式会社
積層フィルム
1か月前
東レ株式会社
加飾用フィルム
4日前
東レ株式会社
黒色樹脂組成物
4日前
東レ株式会社
多層積層フィルム
20日前
東レ株式会社
多孔質炭素シート
27日前
東レ株式会社
溶融紡糸口金パック
5日前
東レ株式会社
繊維断面の検査方法
5日前
東レ株式会社
サンドイッチ構造体
28日前
東レ株式会社
中空糸膜モジュール
4日前
東レ株式会社
熱硬化性樹脂組成物
1か月前
東レ株式会社
遮熱性アクリル繊維
5日前
東レ株式会社
複合成形体の製造方法
18日前
東レ株式会社
ガス拡散層の製造方法
27日前
東レ株式会社
引抜成形品の製造方法
1か月前
東レ株式会社
ポリエステルフィルム
12日前
東レ株式会社
霧化状活性液体供給装置
1か月前
東レ株式会社
プラスチック光ファイバ
28日前
東レ株式会社
ポリプロピレンフィルム
4日前
東レ株式会社
織物およびシート表皮材
27日前
東レ株式会社
ゴム補強用合成繊維コード
12日前
東レ株式会社
炭素繊維シートの製造方法
1か月前
東レ株式会社
透明ディスプレイシステム
1か月前
東レ株式会社
織物および織物プリプレグ
28日前
東レ株式会社
ゴム補強用合成繊維コード
12日前
東レ株式会社
繊維強化プラスチック構造体
1か月前
東レ株式会社
糸送り装置および糸送り方法
今日
東レ株式会社
着色樹脂組成物および着色膜
4日前
東レ株式会社
先端に凸面を有する光ファイバ
18日前
東レ株式会社
多孔繊維および液体処理カラム
27日前
東レ株式会社
一体化成形品及びその製造方法
1か月前
東レ株式会社
繊維強化樹脂成形品の製造方法
1か月前
東レ株式会社
繊維強化樹脂成形品の製造方法
1か月前
続きを見る
他の特許を見る