TOP
|
特許
|
意匠
|
商標
特許ウォッチ
Twitter
他の特許を見る
10個以上の画像は省略されています。
公開番号
2025158554
公報種別
公開特許公報(A)
公開日
2025-10-17
出願番号
2024061207
出願日
2024-04-05
発明の名称
アスコルビン酸誘導体又はその塩及びその化粧料
出願人
株式会社成和化成
代理人
主分類
C07H
17/04 20060101AFI20251009BHJP(有機化学)
要約
【課題】抗酸化効果、コラーゲン産生促進効果、保湿効果等のアスコルビン酸が元来有する優れた機能を有するとともに、長期間の保存でも安定で、変色、変臭、活性低下等が少ない、新規なアスコルビン酸誘導体又はその塩、並びにそれらを含有する化粧料を提供する。
【解決手段】グルコピラノシルアスコルビン酸又はリン酸型アスコルビン酸誘導体の水酸基の水素の少なくとも一つが、HO-C(CH
3
)
2
-CH
2
-、又はHO-CH
2
-C(CH
3
)
2
-で置換されているアスコルビン酸誘導体又はその塩、並びにそれらのアスコルビン酸誘導体を含有する化粧料。
【選択図】 なし
特許請求の範囲
【請求項1】
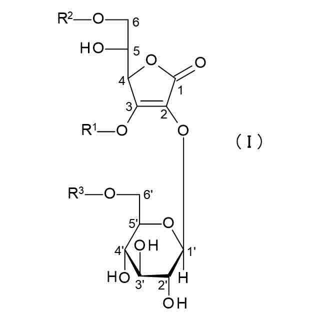
下記の一般式(I)又は(II)で表わされることを特徴とするアスコルビン酸誘導体又はその塩。
JPEG
2025158554000018.jpg
81
54
[式中、
R
1
はH、HO-C(CH
3
)
2
-CH
2
-又はHO-CH
2
-C(CH
3
)
2
-であり、
R
2
及びR
3
はH、炭素数1~22のアルキル基、炭素数2~22のアルケニル基、ベンジル基、R
4
-O-CH
2
-CH(OH)-CH
2
-、R
4
-O-CH
2
-CH(CH
2
OH)-、HO-C(CH
3
)
2
-CH
2
-、HO-CH
2
-C(CH
3
)
2
-、R
4
-CH(CH
2
OH)-、R
4
-CH(OH)-CH
2
-のいずれかであり、
R
4
は、H、炭素数1~22のアルキル基、炭素数2~22のアルケニル基、又はフェニル基である。
・
JPEG
2025158554000019.jpg
50
67
[式中、
R
5
はH、HO-C(CH
3
)
2
-CH
2
-又はHO-CH
2
-C(CH
3
)
2
-であり、
R
6
、R
7
及びR
8
はH、炭素数1~22のアルキル基、炭素数2~22のアルケニル基、ベンジル基、R
9
-O-CH
2
-CH(OH)-CH
2
-、R
9
-O-CH
2
続きを表示(約 120 文字)
【請求項2】
請求項1に記載のアスコルビン酸誘導体又はその塩を配合したことを特徴とする化粧料。
【請求項3】
請求項2に記載のアスコルビン酸誘導体又はその塩を、1から20重量%配合したことを特徴とする化粧料。
発明の詳細な説明
【技術分野】
【0001】
本発明は、化粧料の原料等として好適に用いられるアスコルビン酸誘導体又はその塩に関し、更に、前記アスコルビン酸誘導体又はその塩を配合した化粧料に関する。
続きを表示(約 1,500 文字)
【背景技術】
【0002】
アスコルビン酸は、安全かつ有用な抗酸化物質であり、優れた美白作用などを有する化合物として知られているが、一方、光、熱、酸化に対して不安定であり、化粧品分野での利用が妨げられていた。そこで、アスコルビン酸より経時安定性が向上したものとして、種々のアスコルビン酸誘導体又はその塩が提案されており、美白用の皮膚外用剤への配合(特許文献1、特許文献2)や、化粧料への配合(特許文献3)が提案されている。
【0003】
しかしながら、前記のアスコルビン酸誘導体及びその塩の多くは、経時により着色や臭いを発生する等の問題があり、その経時安定性はなお不十分であり、また生体内での活性の持続も短期的でありその改善が望まれている。
【0004】
本発明者らはこれらの課題を解決したアスコルビン酸誘導体を提案している(特許文献4)が、さらなる改善が望まれている。
【先行技術文献】
【特許文献】
【0005】
特開昭62-221611号公報
特開2005-060239号公報
特開平1-228978号公報
特許第4681670号公報
【発明の概要】
【発明が解決しようとする課題】
【0006】
本発明は、美白作用、保湿作用などのアスコルビン酸が元来有する優れた作用を有するとともに、経時による変色、変臭、活性低下等が少ないとの高い安定性に加え、さらに優れた生理活性効果を有するアスコルビン酸誘導体又はその塩、及びこれらを配合した化粧料を提供することを課題とする。
【課題を解決するための手段】
【0007】
本発明者らは、上記実情に鑑みて鋭意検討した結果、下記式(I)又は(II)で示される新規なアスコルビン酸誘導体又はその塩は、抗酸化作用や美白作用、保湿作用などの作用に優れるとともに、安定で経時による変色、変臭、活性低下などが少ないことを見出した。本発明は、これらの知見に基づき完成されたものである。
【0008】
本発明は、下記の一般式(I)又は(II)で表わされることを特徴とするアスコルビン酸誘導体又はその塩を提供する(請求項1)。
【0009】
JPEG
2025158554000001.jpg
81
54
【0010】
[式中、
R
1
はH、HO-C(CH
3
)
2
-CH
2
-又はHO-CH
2
-C(CH
3
)
2
-であり、
R
2
及びR
3
はH、炭素数1~22のアルキル基、炭素数2~22のアルケニル基、ベンジル基、R
4
-O-CH
2
-CH(OH)-CH
2
-、R
4
-O-CH
2
-CH(CH
2
OH)-、HO-C(CH
3
)
2
-CH
2
-、HO-CH
2
-C(CH
3
)
2
-、R
4
-CH(CH
2
OH)-、R
4
-CH(OH)-CH
2
-のいずれかであり、
R
4
は、H、炭素数1~22のアルキル基、炭素数2~22のアルケニル基、又はフェニル基である。]
(【0011】以降は省略されています)
この特許をJ-PlatPat(特許庁公式サイト)で参照する
関連特許
株式会社成和化成
アスコルビン酸誘導体又はその塩及びその化粧料
3日前
株式会社成和化成
アミノ酸誘導体組成物及びそれらを配合した化粧料
2か月前
株式会社成和化成
加水分解タンパク若しくはアミノ酸誘導体又はそれらの塩、及び化粧料
12日前
東ソー株式会社
タンパク質の発現方法
1か月前
東ソー株式会社
炭素-窒素結合形成方法
3か月前
株式会社トクヤマ
四塩化炭素の製造方法
3か月前
株式会社トクヤマ
シロキサン類の回収方法
3か月前
株式会社半導体エネルギー研究所
有機化合物
2か月前
株式会社トクヤマ
ビオチン誘導体の製造方法
3か月前
栗田工業株式会社
ギ酸の回収方法
13日前
東ソー株式会社
イソシアネート化合物の製造方法
1か月前
株式会社トクヤマ
ベンザゼピン化合物の製造方法
2か月前
株式会社トクヤマ
チオラクトン誘導体の製造方法
21日前
株式会社トクヤマ
ホルムアミド化合物の製造方法
2か月前
株式会社コスモス
液状炭化水素の増産方法
2か月前
株式会社コスモス
液状炭化水素の増産方法
2か月前
artience株式会社
四塩基酸無水物の製造方法
3か月前
信越化学工業株式会社
新規化合物
3か月前
日産化学株式会社
ピラゾール化合物及び有害生物防除剤
3か月前
日産化学株式会社
ピラゾール化合物及び有害生物防除剤
2か月前
株式会社トクヤマ
サフィナミド若しくはその塩の製造方法
3か月前
三菱ケミカル株式会社
アルコールの製造方法
1か月前
国立大学法人東京農工大学
深共晶溶媒
2か月前
大阪瓦斯株式会社
メタン製造システム
17日前
本田技研工業株式会社
CO2変換方法
17日前
JNC株式会社
有機ケイ素化合物およびこれを用いた重合体
1か月前
旭化成株式会社
トリオキサンの製造方法
3か月前
JNC株式会社
有機ケイ素化合物およびこれを用いた重合体
2か月前
東ソー株式会社
免疫グロブリン結合性タンパク質の製造方法
1か月前
キヤノン株式会社
有機化合物及び有機発光素子
21日前
東ソー株式会社
免疫グロブリン結合性タンパク質の保存溶液
3か月前
株式会社トクヤマ
アシル化ベンゼン誘導体の酸塩の製造方法
2か月前
キヤノン株式会社
有機金属錯体及び有機発光素子
17日前
個人
IL-17産生誘導能を有する化合物及びその用途
18日前
株式会社半導体エネルギー研究所
有機金属錯体、発光デバイス
2か月前
デンカ株式会社
有機酸又はその塩の製造方法
1か月前
続きを見る
他の特許を見る