TOP
|
特許
|
意匠
|
商標
特許ウォッチ
Twitter
他の特許を見る
10個以上の画像は省略されています。
公開番号
2025114164
公報種別
公開特許公報(A)
公開日
2025-08-05
出願番号
2024008677
出願日
2024-01-24
発明の名称
感光性組成物、硬化膜及びその製造方法、並びに表示装置
出願人
JSR株式会社
代理人
個人
,
個人
,
個人
主分類
G03F
7/023 20060101AFI20250729BHJP(写真;映画;光波以外の波を使用する類似技術;電子写真;ホログラフイ)
要約
【課題】高感度であって、耐熱性、ベンディング耐性及びリワーク性に優れた硬化膜を形成することができる感光性組成物を提供すること。
【解決手段】重合体成分と、キノンジアジド化合物とを含有する感光性組成物であって、重合体成分は、第1構造単位と第2構造単位とを有する重合体(A)を含み、第1構造単位は、環状エーテル構造と、当該環状エーテル構造を構成する炭素原子に結合するメチレン基とを主鎖に有し、第2構造単位は、マレイミドに由来する構造単位及び酸基を有する構造単位よりなる群から選択される少なくとも1種であり、重合体(A)を、重合体成分の全量に対して25質量%以上含有する感光性組成物とする。
【選択図】なし
特許請求の範囲
【請求項1】
重合体成分と、キノンジアジド化合物とを含有する感光性組成物であって、
前記重合体成分は、第1構造単位と第2構造単位とを有する重合体(A)を含み、
前記第1構造単位は、環状エーテル構造と、当該環状エーテル構造を構成する炭素原子に結合するメチレン基とを主鎖に有し、
前記第2構造単位は、マレイミドに由来する構造単位及び酸基を有する構造単位よりなる群から選択される少なくとも1種であり、
前記重合体(A)を、前記重合体成分の全量に対して25質量%以上含有する、感光性組成物。
続きを表示(約 950 文字)
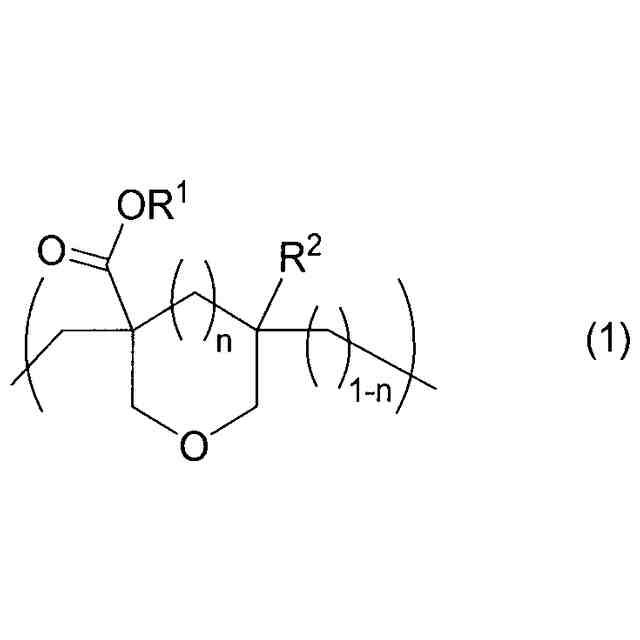
【請求項2】
前記第1構造単位は、下記式(1)で表される、請求項1に記載の感光性組成物。
TIFF
2025114164000011.tif
30
167
(式(1)中、R
1
は水素原子又は炭素数1~30の1価の炭化水素基である。R
2
は水素原子又は-COOR
3
である。R
3
は水素原子又は炭素数1~30の1価の炭化水素基である。nは0又は1である。)
【請求項3】
前記第2構造単位は、マレイミドに由来する構造単位、カルボキシ基を有する構造単位、スルホン酸基を有する構造単位及びフェノール性水酸基を有する構造単位よりなる群から選択される少なくとも1種である、請求項1に記載の感光性組成物。
【請求項4】
前記重合体(A)は、前記第2構造単位として、マレイミドに由来する構造単位、カルボキシ基を有する構造単位及びスルホン酸基を有する構造単位よりなる群から選択される少なくとも1種を有する、請求項3に記載の感光性組成物。
【請求項5】
前記重合体(A)は、前記第2構造単位として、フェノール性水酸基を有する構造単位を有する、請求項3に記載の感光性組成物。
【請求項6】
前記重合体(A)は、オキシラニル基又はオキセタニル基を有する第3構造単位を更に有する、請求項1に記載の感光性組成物。
【請求項7】
前記重合体(A)は、前記第3構造単位として、脂環式エポキシ基を有する構造単位を有する、請求項6に記載の感光性組成物。
【請求項8】
熱架橋剤を更に含有する、請求項1に記載の感光性組成物。
【請求項9】
前記熱架橋剤が、-CH
2
-OR
4
(ただし、R
4
は水素原子、炭素数1~3のアルキル基又は熱脱離性基である。)で表される基を有する化合物を含む、請求項8に記載の感光性組成物。
【請求項10】
熱酸発生剤を更に含有する、請求項1に記載の感光性組成物。
(【請求項11】以降は省略されています)
発明の詳細な説明
【技術分野】
【0001】
本発明は、感光性組成物、硬化膜及びその製造方法、並びに表示装置に関する。
続きを表示(約 1,600 文字)
【背景技術】
【0002】
有機エレクトロルミネッセンス素子(有機EL素子)や液晶表示素子を備える各種表示装置には、平坦化膜や層間絶縁膜、バンク材(隔壁ともいう。)等の絶縁性の硬化膜が設けられている。近年では、これらの硬化膜を、重合体成分と感光性化合物とを含む感光性組成物を用いて形成することが行われている。例えば、感光性組成物により形成された塗膜に対し、パターンを有するマスクを介して放射線照射を行った後に現像処理を施し、続いて加熱処理を行い熱硬化させることにより、パターン形成された硬化膜を得ることができる(例えば、特許文献1参照)。
【0003】
特許文献1には、アルカリ可溶性樹脂としてのポリイミド前駆体と、キノンジアジド化合物とを含有する感光性樹脂組成物により、有機EL表示装置の硬化膜を形成することが開示されている。
【先行技術文献】
【特許文献】
【0004】
特開2021-157173号公報
【発明の概要】
【発明が解決しようとする課題】
【0005】
ポリイミド前駆体又はポリイミドをベース樹脂とする感光性組成物により形成される硬化膜は、耐熱性に優れる一方で感度が十分でなく、更なる改善の余地がある。
【0006】
また、硬化膜の製造工程では、基板上に形成した膜にピンホールや塗膜ムラ等の欠陥が生じることがある。このため、一旦形成した硬化膜を基板から剥離して基板を再利用(リワーク)することがしばしば行われる。このようなリワークの際には、膜と溶媒とを接触させることによって基板から膜を容易に剥離可能である(すなわち、リワーク性が良好である)ことが求められる。しかしながら、ポリイミドは一般に溶解性が低く、リワーク性に劣る。
【0007】
近年では、有機ELディスプレイ(OLED)を搭載するスマートフォン等のデバイスにおいて、樹脂フィルム等の柔軟性のある基材を用いることで、湾曲させたり折り返したりするなど様々な形状に変形可能なフレキシブルディスプレイを適用することが検討されている。そこで、表示装置用の硬化膜には、フレキシブルディスプレイに対応可能な耐折り曲げ性(以下、「ベンディング耐性」ともいう。)を有することが要求されることがある。
【0008】
本発明は上記課題に鑑みなされたものであり、高感度であって、耐熱性、ベンディング耐性及びリワーク性に優れた硬化膜を形成することができる感光性組成物を提供することを主たる目的とする。
【課題を解決するための手段】
【0009】
本発明によれば、以下の感光性組成物、硬化膜及びその製造方法、並びに表示装置が提供される。
【0010】
〔1〕 重合体成分と、キノンジアジド化合物とを含有する感光性組成物であって、前記重合体成分は、第1構造単位と第2構造単位とを有する重合体(A)を含み、前記第1構造単位は、環状エーテル構造と、当該環状エーテル構造を構成する炭素原子に結合するメチレン基とを主鎖に有し、前記第2構造単位は、マレイミドに由来する構造単位及び酸基を有する構造単位よりなる群から選択される少なくとも1種であり、前記重合体(A)を、前記重合体成分の全量に対して25質量%以上含有する、感光性組成物。
〔2〕 上記〔1〕に記載の感光性組成物より形成された硬化膜。
〔3〕 上記〔1〕に記載の感光性組成物を用いて塗膜を形成する膜形成工程と、前記塗膜の少なくとも一部を露光する露光工程と、露光後の塗膜を現像する現像工程と、現像された前記塗膜を加熱する加熱工程と、を含む、硬化膜の製造方法。
〔4〕 上記〔2〕に記載の硬化膜を備える、表示装置。
【発明の効果】
(【0011】以降は省略されています)
この特許をJ-PlatPat(特許庁公式サイト)で参照する
関連特許
JSR株式会社
液晶配向剤、液晶配向膜、液晶素子、重合体及び化合物
12日前
JSR株式会社
液晶配向剤、液晶配向膜、液晶素子、重合体及び化合物
16日前
JSR株式会社
硬化性組成物、硬化膜、有機EL装置、及び硬化樹脂層の形成方法
1か月前
JSR株式会社
感放射線性組成物、レジストパターン形成方法、重合体及び化合物
1か月前
JSR株式会社
クロマトグラフィー用担体の製造方法及びクロマトグラフィー用担体
1日前
JSR株式会社
液晶素子、弱アンカリング膜形成用液晶配向剤及び液晶素子の製造方法
1か月前
JSR株式会社
感放射線性樹脂組成物及びパターン形成方法
1か月前
JSR株式会社
重合体、組成物、硬化物、積層体及び電子部品
20日前
JSR株式会社
レジストパターンの形成方法及び感放射線性樹脂組成物
8日前
JSR株式会社
感光性着色組成物、硬化物、画像表示パネル、カラーフィルター、画像表示装置、及び硬化物の製造方法
19日前
JSR株式会社
硬化性組成物、硬化膜、有機EL装置、及び硬化樹脂層の形成方法
1か月前
JSR株式会社
組成物、組成物の製造方法、光学フィルム、光学フィルムの製造方法、層、層の製造方法、光学フィルター、光学素子、固体撮像装置、およびカメラモジュール
8日前
日東電工株式会社
多層断熱材及び多層断熱材の製造方法
1か月前
個人
表示装置
今日
株式会社シグマ
絞りユニット
27日前
日本精機株式会社
車両用投射装置
6日前
キヤノン株式会社
撮像装置
20日前
キヤノン株式会社
撮像装置
1か月前
平和精機工業株式会社
雲台
1か月前
キヤノン株式会社
撮像装置
26日前
株式会社リコー
画像形成装置
1か月前
株式会社リコー
画像形成装置
1か月前
株式会社リコー
画像形成装置
2か月前
株式会社リコー
画像形成装置
2か月前
株式会社リコー
画像形成装置
2か月前
株式会社リコー
画像形成装置
16日前
キヤノン株式会社
画像形成装置
2か月前
株式会社オプトル
プロジェクタ
1か月前
キヤノン株式会社
画像形成装置
2か月前
キヤノン株式会社
トナー
7日前
キヤノン株式会社
画像形成装置
1か月前
キヤノン株式会社
画像形成装置
2か月前
キヤノン株式会社
画像形成装置
1日前
キヤノン株式会社
画像形成装置
1か月前
ブラザー工業株式会社
再生方法
2か月前
キヤノン株式会社
トナー
12日前
続きを見る
他の特許を見る