TOP
|
特許
|
意匠
|
商標
特許ウォッチ
Twitter
他の特許を見る
10個以上の画像は省略されています。
公開番号
2025123174
公報種別
公開特許公報(A)
公開日
2025-08-22
出願番号
2024216987
出願日
2024-12-11
発明の名称
感放射線性組成物、レジストパターン形成方法、重合体及び化合物
出願人
JSR株式会社
代理人
個人
,
個人
,
個人
主分類
G03F
7/004 20060101AFI20250815BHJP(写真;映画;光波以外の波を使用する類似技術;電子写真;ホログラフイ)
要約
【課題】高感度であって、CDU性能に優れ、かつ現像欠陥の発生を抑制できる感放射線性組成物を提供すること。
【解決手段】式(1)で表される部分構造を有する重合体と、感放射線性酸発生体とを含有し、要件1、要件2及び要件3の1つ以上を満たす感放射線性組成物とする。要件1:式(1)で表される部分構造がヨウ素原子を2個以上有する。要件2:感放射線性酸発生体が、ヨウ素原子を2個以上有するオニウム塩を含む。要件3:式(1)で表される部分構造がヨウ素原子を有し、かつ感放射線性酸発生体がヨウ素原子を有するオニウム塩を含む。式(1)中、Y
1
は、芳香環を有する特定の2価の基である。R
1
は2価の炭化水素基である。M
+
は、スルホニウムカチオン又はヨードニウムカチオンである。
<com:Image com:imageContentCategory="Drawing"> <com:ImageFormatCategory>TIFF</com:ImageFormatCategory> <com:FileName>2025123174000063.tif</com:FileName> <com:HeightMeasure com:measureUnitCode="Mm">12</com:HeightMeasure> <com:WidthMeasure com:measureUnitCode="Mm">162</com:WidthMeasure> </com:Image> 【選択図】なし
特許請求の範囲
【請求項1】
下記式(1):
TIFF
2025123174000054.tif
12
139
[式(1)中、Y
1
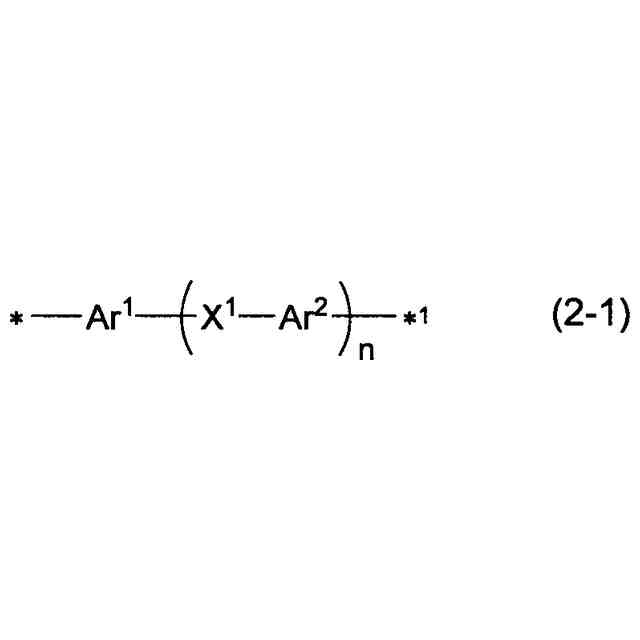
は、下記式(2-1)又は式(2-2):
TIFF
2025123174000055.tif
24
139
(式(2-1)及び式(2-2)中、Ar
1
は2価の芳香環基である。Ar
2
は、単結合又は2価の芳香環基である。Ar
3
は1価の芳香環基である。X
1
及びX
2
は、互いに独立して2価の連結基である。nは0又は1である。「*
1
」は、式(1)中のカルボニル基との結合手を表す。「*」は結合手を表す。)
で表される2価の基である。R
1
は2価の炭化水素基である。M
+
は、スルホニウムカチオン又はヨードニウムカチオンである。「*」は結合手を表す。]
で表される部分構造を有する重合体と、
感放射線性酸発生体と、
を含有し、
下記の要件1、要件2及び要件3の1つ以上を満たす、感放射線性組成物。
要件1:上記式(1)で表される部分構造がヨウ素原子を2個以上有する。
要件2:前記感放射線性酸発生体が、ヨウ素原子を2個以上有するオニウム塩を含む。
要件3:上記式(1)で表される部分構造がヨウ素原子を有し、かつ前記感放射線性酸発生体がヨウ素原子を有するオニウム塩を含む。
続きを表示(約 1,600 文字)
【請求項2】
前記重合体は、上記式(1)で表される部分構造を有する構造単位(I)を含む、請求項1に記載の感放射線性組成物。
【請求項3】
前記構造単位(I)は下記式(3)で表される、請求項2に記載の感放射線性組成物。
TIFF
2025123174000056.tif
64
139
(式(3)中、R
2
は、水素原子、フッ素原子、メチル基又はトリフルオロメチル基である。A
1
は、単結合又は*
2
-CO-O-(「*
2
」は主鎖との結合手を表す)である。Y
1
、R
1
及びM
+
は上記式(1)と同義である。)
【請求項4】
上記式(1)で表される部分構造及び前記感放射線性酸発生体よりなる群から選択される少なくとも1種が有するヨウ素原子が芳香環に結合している、請求項1に記載の感放射線性組成物。
【請求項5】
前記重合体は、芳香環と当該芳香環に結合する水酸基とを有する構造単位を更に含む、請求項1に記載の感放射線性組成物。
【請求項6】
前記重合体は、酸解離性基を有する構造単位を更に含む、請求項1に記載の感放射線性組成物。
【請求項7】
前記感放射線性酸発生体として光崩壊性塩基を含む、請求項1に記載の感放射線性組成物。
【請求項8】
請求項1~7のいずれか一項に記載の感放射線性組成物を用いて、基板上にレジスト膜を形成する工程と、
前記レジスト膜を露光する工程と、
露光された前記レジスト膜を現像する工程と、
を含む、レジストパターン形成方法。
【請求項9】
下記式(1):
TIFF
2025123174000057.tif
13
139
[式(1)中、Y
1
は、下記式(2-1):
TIFF
2025123174000058.tif
12
139
(式(2-1)中、Ar
1
は2価の芳香環基である。Ar
2
は、単結合又は2価の芳香環基である。X
1
は2価の連結基である。nは0又は1である。「*
1
」は、式(1)中のカルボニル基との結合手を表す。「*」は結合手を表す。)
で表される2価の基である。R
1
は2価の炭化水素基である。M
+
は、スルホニウムカチオン又はヨードニウムカチオンである。「*」は結合手を表す。]
で表される部分構造を有し、かつ上記式(1)で表される部分構造がヨウ素原子を2個以上有する、重合体。
【請求項10】
下記式(1):
TIFF
2025123174000059.tif
11
139
[式(1)中、Y
1
は、下記式(2-2):
TIFF
2025123174000060.tif
15
139
(式(2-2)中、Ar
3
は1価の芳香環基である。X
2
は2価の連結基である。「*
1
」は、式(1)中のカルボニル基との結合手を表す。「*」は結合手を表す。)
で表される2価の基である。R
1
は2価の炭化水素基である。M
+
は、スルホニウムカチオン又はヨードニウムカチオンである。「*」は結合手を表す。]
で表される部分構造を有する、重合体。
(【請求項11】以降は省略されています)
発明の詳細な説明
【技術分野】
【0001】
本発明は、感放射線性組成物、レジストパターン形成方法、重合体及び化合物に関する。
続きを表示(約 2,700 文字)
【背景技術】
【0002】
半導体デバイス、液晶デバイス等の各種電子デバイスの製造工程において用いられているリソグラフィー技術では、感放射線性組成物に対し、遠紫外線(ArFエキシマレーザー等)、極端紫外線(EUV)、電子線等を照射することにより露光部に酸を発生させ、この酸が関与する化学反応により露光部と未露光部との現像液に対する溶解速度に差を生じさせることにより、基板上にレジストパターンを形成している。
【0003】
各種電子デバイス構造の微細化に伴い、リソグラフィー工程におけるレジストパターンの更なる微細化が要求されている。また、レジストパターンの更なる微細化の要求に伴い、リソグラフィーによる微細加工に用いられる感放射線性組成物の解像性やレジストパターンの形状等を改善することが種々検討されている(例えば、特許文献1参照)。特許文献1には、スルホン酸のα位にフッ素原子を有するスルホニウム塩構造を有する繰り返し単位を含む高分子化合物を感放射線性組成物のベース樹脂として用いることが開示されている。
【先行技術文献】
【特許文献】
【0004】
特開2010-116550号公報
【発明の概要】
【発明が解決しようとする課題】
【0005】
フォトリソグラフィー技術では、ArFエキシマレーザー等の短波長の放射線を利用したり、露光装置のレンズとレジスト膜との間の空間を液状媒体で満たした状態で露光を行う液浸露光法(リキッドイマージョンリソグラフィー)を用いたりすることによりパターンの微細化が進められている。また、次世代技術として、電子線やX線、極端紫外線(EUV)等といった、より短波長の放射線を用いたリソグラフィーの開発も進められている。こうした次世代技術への取り組みの中で、放射線感度や、レジストパターンの品質を表す指標の1つであるCDU性能(Critical Dimension Uniformity:パターン寸法均一性)、現像欠陥の抑制効果を更に向上させることが要求されている。
【0006】
本発明は上記課題に鑑みなされたものであり、主たる目的は、高感度であって、CDU性能に優れ、かつ現像欠陥の発生を抑制できる感放射線性組成物、及び当該感放射線性組成物を用いたレジストパターン形成方法を提供することにある。
【課題を解決するための手段】
【0007】
本発明によれば、1つの態様において、下記式(1):
TIFF
2025123174000001.tif
13
154
[式(1)中、Y
1
は、下記式(2-1)又は式(2-2):
TIFF
2025123174000002.tif
24
154
(式(2-1)及び式(2-2)中、Ar
1
は2価の芳香環基である。Ar
2
は、単結合又は2価の芳香環基である。Ar
3
は1価の芳香環基である。X
1
及びX
2
は、互いに独立して2価の連結基である。nは0又は1である。「*
1
」は、式(1)中のカルボニル基との結合手を表す。「*」は結合手を表す。)
で表される2価の基である。R
1
は2価の炭化水素基である。M
+
は、スルホニウムカチオン又はヨードニウムカチオンである。「*」は結合手を表す。]
で表される部分構造を有する重合体と、感放射線性酸発生体と、を含有し、下記の要件1、要件2及び要件3の1つ以上を満たす感放射線性組成物が提供される。
要件1:上記式(1)で表される部分構造がヨウ素原子を2個以上有する。
要件2:前記感放射線性酸発生体が、ヨウ素原子を2個以上有するオニウム塩を含む。
要件3:上記式(1)で表される部分構造がヨウ素原子を有し、かつ前記感放射線性酸発生体がヨウ素原子を有するオニウム塩を含む。
【0008】
本発明によれば、他の1つの態様において、上記の感放射線性組成物を用いて、基板上にレジスト膜を形成する工程と、前記レジスト膜を露光する工程と、露光された前記レジスト膜を現像する工程と、を含むレジストパターン形成方法が提供される。
【0009】
本発明によれば、他の1つの態様において、下記式(1):
TIFF
2025123174000003.tif
12
154
[式(1)中、Y
1
は、下記式(2-1):
TIFF
2025123174000004.tif
11
154
(式(2-1)中、Ar
1
は2価の芳香環基である。Ar
2
は、単結合又は2価の芳香環基である。X
1
は2価の連結基である。nは0又は1である。「*
1
」は、式(1)中のカルボニル基との結合手を表す。「*」は結合手を表す。)
で表される2価の基である。R
1
は2価の炭化水素基である。M
+
は、スルホニウムカチオン又はヨードニウムカチオンである。「*」は結合手を表す。]
で表される部分構造を有し、かつ上記式(1)で表される部分構造がヨウ素原子を2個以上有する重合体が提供される。
【0010】
本発明によれば、他の1つの態様において、下記式(1):
TIFF
2025123174000005.tif
13
154
[式(1)中、Y
1
は、下記式(2-2):
TIFF
2025123174000006.tif
15
154
(式(2-2)中、Ar
3
は1価の芳香環基である。X
2
は2価の連結基である。「*
1
」は、式(1)中のカルボニル基との結合手を表す。「*」は結合手を表す。)
で表される2価の基である。R
1
は2価の炭化水素基である。M
+
は、スルホニウムカチオン又はヨードニウムカチオンである。「*」は結合手を表す。]
で表される部分構造を有する重合体が提供される。
(【0011】以降は省略されています)
この特許をJ-PlatPat(特許庁公式サイト)で参照する
関連特許
JSR株式会社
液晶配向剤、液晶配向膜、液晶素子、重合体及び化合物
2日前
JSR株式会社
液晶配向剤、液晶配向膜、液晶素子、重合体及び化合物
6日前
JSR株式会社
感放射線性樹脂組成物及びパターン形成方法
24日前
JSR株式会社
重合体、組成物、硬化物、積層体及び電子部品
10日前
JSR株式会社
感光性着色組成物、硬化物、画像表示パネル、カラーフィルター、画像表示装置、及び硬化物の製造方法
9日前
株式会社シグマ
絞りユニット
17日前
平和精機工業株式会社
雲台
1か月前
キヤノン株式会社
撮像装置
10日前
キヤノン株式会社
撮像装置
16日前
キヤノン株式会社
撮像装置
1か月前
株式会社リコー
画像形成装置
24日前
株式会社リコー
画像形成装置
2か月前
株式会社リコー
画像形成装置
1か月前
株式会社リコー
画像形成装置
1か月前
株式会社リコー
画像形成装置
6日前
株式会社リコー
画像形成装置
1か月前
キヤノン株式会社
画像形成装置
1か月前
株式会社オプトル
プロジェクタ
1か月前
株式会社オプトル
プロジェクタ
9日前
キヤノン株式会社
画像形成装置
2か月前
キヤノン株式会社
画像形成装置
2か月前
キヤノン株式会社
画像形成装置
2か月前
キヤノン株式会社
画像形成装置
2か月前
キヤノン株式会社
画像形成装置
1か月前
キヤノン株式会社
トナー
2日前
シャープ株式会社
画像形成装置
1か月前
キヤノン株式会社
トナー
1か月前
ブラザー工業株式会社
再生方法
1か月前
キヤノン株式会社
画像形成装置
1か月前
株式会社シグマ
絞り機構及びレンズ鏡筒
1か月前
興和株式会社
マウント構造
2か月前
アイホン株式会社
機器の設置構造
1か月前
沖電気工業株式会社
画像形成装置
1か月前
アイホン株式会社
機器の設置構造
1か月前
株式会社リコー
画像形成装置
6日前
ブラザー工業株式会社
画像形成装置
24日前
続きを見る
他の特許を見る