TOP
|
特許
|
意匠
|
商標
特許ウォッチ
Twitter
他の特許を見る
10個以上の画像は省略されています。
公開番号
2025139728
公報種別
公開特許公報(A)
公開日
2025-09-29
出願番号
2024038718
出願日
2024-03-13
発明の名称
測定システム、測定装置および測定方法
出願人
ローム株式会社
代理人
個人
,
個人
主分類
G01K
7/01 20060101AFI20250919BHJP(測定;試験)
要約
【課題】簡便な構成で温度または経路抵抗を測定できる技術を提供する。
【解決手段】測定システム1は、ダイオード方程式にしたがって動作するセンサ素子D1と、センサ素子D1および経路抵抗R
p1
を含む経路P1に、大きさの異なる3つ以上の電流を供給する電流源10と、電流源10から3つ以上の電流のそれぞれが経路P1に供給されるときに経路P1の電圧を測定し、経路P1の電圧の3つ以上の測定結果を取得する電圧測定器20と、3つ以上の測定結果に基づいて、センサ素子D1の温度または経路抵抗R
p1
を算出する演算装置と、を備える。
【選択図】図1
特許請求の範囲
【請求項1】
ダイオード方程式にしたがって動作するセンサ素子と、
前記センサ素子および経路抵抗を含む経路に、大きさの異なる3つ以上の電流を供給する電流源と、
前記電流源から前記3つ以上の電流のそれぞれが前記経路に供給されるときに前記経路の電圧を測定し、前記経路の電圧の3つ以上の測定結果を取得する電圧測定器と、
前記3つ以上の測定結果に基づいて、前記センサ素子の温度または前記経路抵抗を算出する演算装置と、を備える、
測定システム。
続きを表示(約 1,600 文字)
【請求項2】
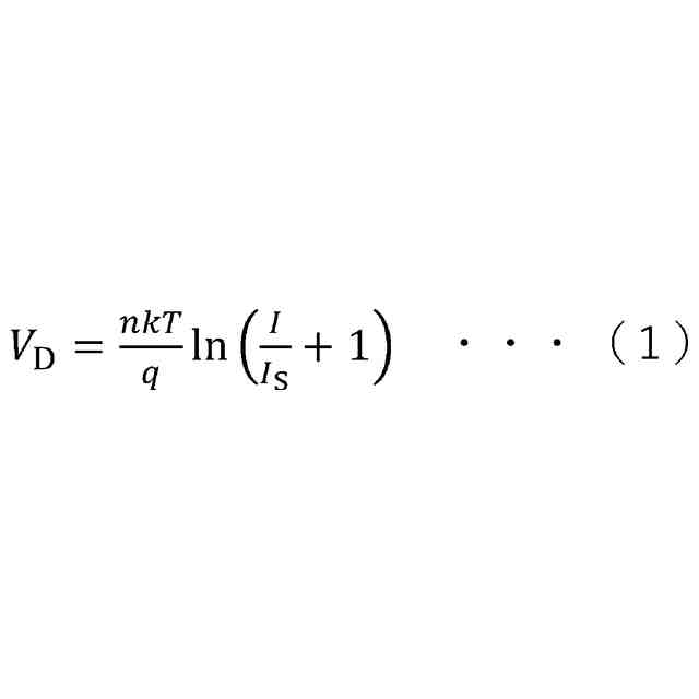
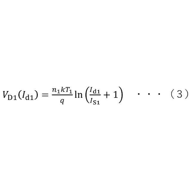
前記ダイオード方程式は、次の式(1)で表され、
TIFF
2025139728000025.tif
22
170
前記式(1)中において、V
D
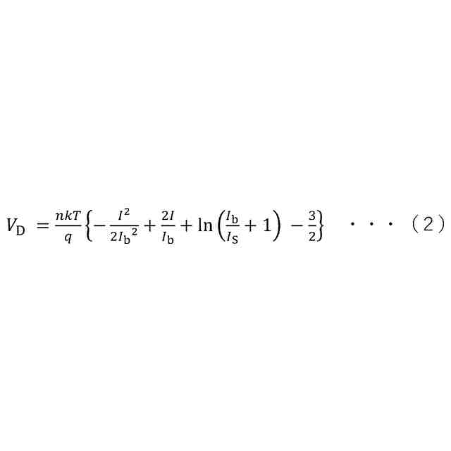
は前記センサ素子の順方向電圧であり、Iは前記センサ素子に流れる電流であり、Isは前記センサ素子の逆方向飽和電流であり、Tは前記センサ素子の温度であり、nは前記センサ素子のダイオード係数であり、kはボルツマン定数であり、qは電気素量であり、
前記式(1)は、電流I
b
でI
b
>>I
S
の条件下で二次近似すると、次の式(2)で表され、
TIFF
2025139728000026.tif
22
170
前記経路の電圧V
A
は、前記経路抵抗をR
p
として、
V
A
=R
p
I+V
D
・・・(3)
で表され、
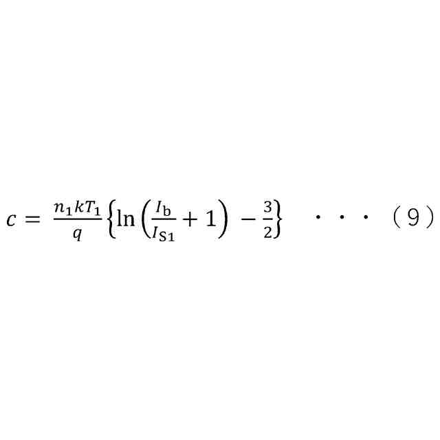
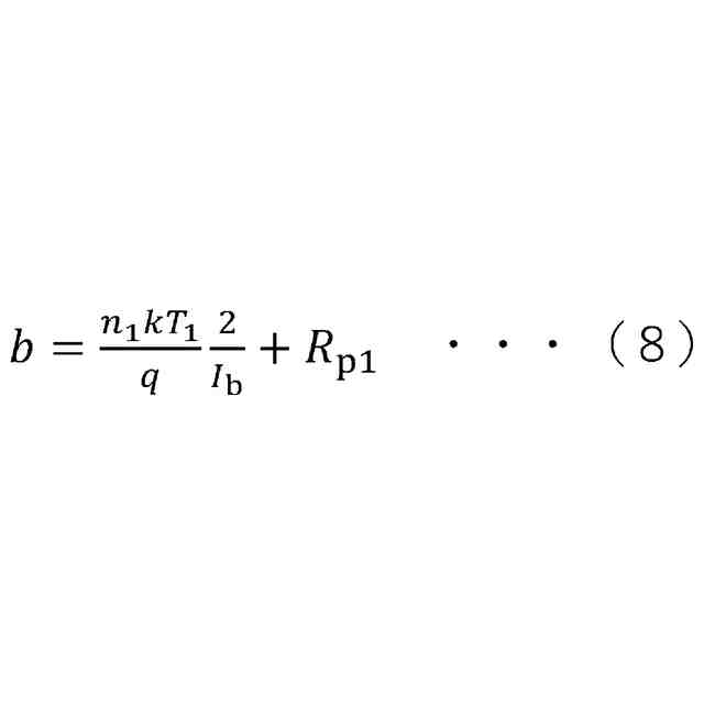
前記演算装置は、前記式(2)および前記式(3)に基づいて、前記温度または前記経路抵抗を算出する、
請求項1に記載の測定システム。
【請求項3】
前記電流源は、基準電流が流れる基準トランジスタと、前記基準トランジスタとカレントミラー対をそれぞれ構成する3つのトランジスタと、を有し、
前記3つのトランジスタは、それぞれ、前記基準電流に応じた同一の電流を生成するように構成される、
請求項1に記載の測定システム。
【請求項4】
前記電流源は、基準電流が流れる基準トランジスタと、前記基準トランジスタとカレントミラー対をそれぞれ構成する2つのトランジスタと、を有し、
前記2つのトランジスタは、それぞれ、前記基準電流に応じた異なる電流を生成するように構成される、
請求項1に記載の測定システム。
【請求項5】
前記センサ素子における異常の有無を検出する検出装置をさらに備え、
前記センサ素子は、LED(Light Emitting Diode)であり、
前記演算装置は、前記3つ以上の測定結果に基づいて前記経路抵抗を算出し、
前記検出装置は、前記演算装置によって算出された経路抵抗および前記電圧測定器が前記経路の電圧を測定した結果に基づいて、前記センサ素子における異常の有無を検出する、
請求項1から4のいずれか一項に記載の測定システム。
【請求項6】
ダイオード方程式にしたがって動作するセンサ素子および経路抵抗を含む経路に、大きさの異なる3つ以上の電流を供給する電流源と、
前記電流源から前記3つ以上の電流のそれぞれが前記経路に供給されるときに前記経路の電圧を測定し、前記経路の電圧の3つ以上の測定結果を取得する電圧測定器と、
前記3つ以上の測定結果に基づいて、前記センサ素子の温度または前記経路抵抗を算出する演算装置と、を備える、
測定装置。
【請求項7】
前記センサ素子は、被試験デバイスの入力端子または出力端子に接続された保護ダイオードである、
請求項6に記載の測定装置。
【請求項8】
請求項6または7に記載の測定装置を用いた測定方法であって、
前記電流源が、ダイオード方程式にしたがって動作するセンサ素子および経路抵抗を含む経路に、大きさの異なる3つ以上の電流を供給することと、
前記電圧測定器が、前記電流源から前記3つ以上の電流のそれぞれが前記経路に供給されるときに前記経路の電圧を測定し、前記経路の電圧の3つ以上の測定結果を取得することと、
前記演算装置が、前記3つ以上の測定結果に基づいて、前記センサ素子の温度または前記経路抵抗を算出することと、を含む、
測定方法。
発明の詳細な説明
【技術分野】
【0001】
本開示は、測定システム、測定装置および測定方法に関する。
続きを表示(約 1,700 文字)
【背景技術】
【0002】
従来、トランジスタまたはダイオードの電圧電流特性が温度によって変動することを利用して温度を検出する装置が利用されている。たとえば特許文献1には、センストランジスタに定電流を流したときのエミッタ・ベース間の電圧と、そのセンストランジスタに定電流のN倍の電流を流したときのエミッタ・ベース間の電圧との差を利用して温度測定を行う技術が開示されている。
【先行技術文献】
【特許文献】
【0003】
特開2005-16992号公報
【0004】
[概要]
しかしながら、本発明者らは、以下の課題を認識するに至った。特許文献1に記載の技術では、センストランジスタの周りに配線などによって寄生抵抗が生じ、寄生抵抗が温度測定に影響を与える。このため、特許文献1に記載の技術では、精度良く温度測定を行うことができなかった。
【0005】
本開示はこうした状況に鑑みてなされたものであり、その例示的な目的の一つは、簡便な構成で温度または経路抵抗を測定できる技術を提供することにある。
【0006】
本開示のある態様は、測定システムである。測定システムは、ダイオード方程式にしたがって動作するセンサ素子と、センサ素子および経路抵抗を含む経路に、大きさの異なる3つ以上の電流を供給する電流源と、電流源から3つ以上の電流のそれぞれが経路に供給されるときに経路の電圧を測定し、経路の電圧の3つ以上の測定結果を取得する電圧測定器と、3つ以上の測定結果に基づいて、センサ素子の温度または経路抵抗を算出する演算装置と、を備える。
【0007】
なお、以上の構成要素の任意の組合せ、本開示の表現を方法、装置、システムなどの間で変換したものもまた、本開示の態様として有効である。
【図面の簡単な説明】
【0008】
図1は、第1実施形態に係る測定システムのブロック図である。
図2は、経路電圧カーブおよびそのフィッティングカーブを示す図である。
図3は、第1実施形態に係る電流源の回路図である。
図4は、比較技術1に係る温度測定装置のブロック図である。
図5は、比較技術2に係る温度測定装置のブロック図である。
図6は、変形例1に係る電流源の回路図である。
図7は、第2実施形態に係る測定システムのブロック図である。
図8は、電圧測定器の測定電圧と光源の温度との関係を示す図である。
図9は、ウエハ試験時における問題点を説明するための図である。
図10は、第3実施形態に係る測定装置のブロック図である。
【0009】
[詳細な説明]
(概要)
本開示のいくつかの例示的な実施形態の概要を説明する。この概要は、後述する詳細な説明の前置きとして、実施形態の基本的な理解を目的として、1つまたは複数の実施形態のいくつかの概念を簡略化して説明するものであり、発明あるいは開示の広さを限定するものではない。この概要は、考えられるすべての実施形態の包括的な概要ではなく、すべての実施形態の重要な要素を特定することも、一部またはすべての態様の範囲を線引きすることも意図していない。便宜上、「一実施形態」は、本明細書に開示するひとつの実施形態(実施例や変形例)または複数の実施形態(実施例や変形例)を指すものとして用いる場合がある。
【0010】
一実施形態に係る測定システムは、ダイオード方程式にしたがって動作するセンサ素子と、センサ素子および経路抵抗を含む経路に、大きさの異なる3つ以上の電流を供給する電流源と、電流源から3つ以上の電流のそれぞれが経路に供給されるときに経路の電圧を測定し、経路の電圧の3つ以上の測定結果を取得する電圧測定器と、3つ以上の測定結果に基づいて、センサ素子の温度または経路抵抗を算出する演算装置と、を備える。
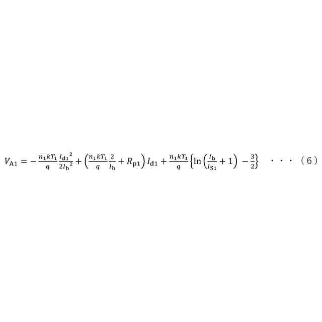
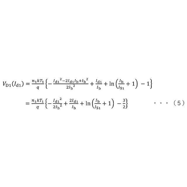
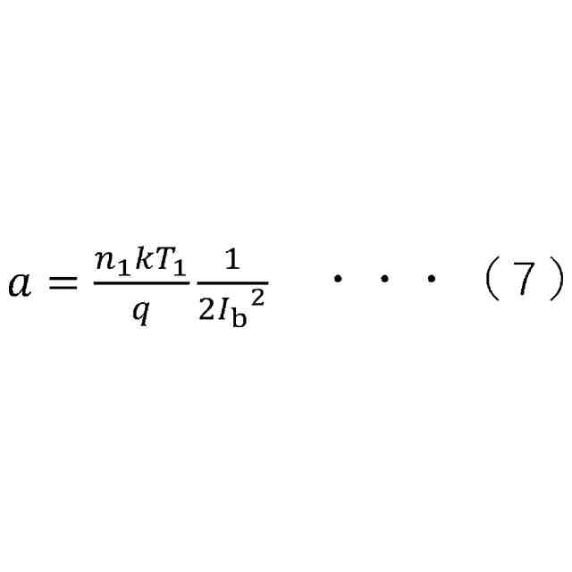
(【0011】以降は省略されています)
この特許をJ-PlatPat(特許庁公式サイト)で参照する
関連特許
ローム株式会社
タイマ
10日前
ローム株式会社
発振回路
6日前
ローム株式会社
電子装置
6日前
ローム株式会社
監視回路
6日前
ローム株式会社
発振回路
1か月前
ローム株式会社
半導体装置
2日前
ローム株式会社
半導体装置
4日前
ローム株式会社
半導体装置
4日前
ローム株式会社
半導体装置
6日前
ローム株式会社
半導体装置
6日前
ローム株式会社
メモリ装置
6日前
ローム株式会社
半導体装置
2日前
ローム株式会社
半導体装置
10日前
ローム株式会社
半導体装置
4日前
ローム株式会社
半導体装置
16日前
ローム株式会社
半導体装置
17日前
ローム株式会社
半導体装置
25日前
ローム株式会社
半導体装置
25日前
ローム株式会社
半導体装置
25日前
ローム株式会社
半導体装置
26日前
ローム株式会社
基準電圧源
27日前
ローム株式会社
入出力回路
27日前
ローム株式会社
半導体装置
4日前
ローム株式会社
圧電共振器
27日前
ローム株式会社
半導体装置
2日前
ローム株式会社
半導体装置
2日前
ローム株式会社
半導体装置
2日前
ローム株式会社
メモリ装置
2日前
ローム株式会社
信号出力回路
2日前
ローム株式会社
信号出力回路
16日前
ローム株式会社
信号出力回路
16日前
ローム株式会社
縦型ホール素子
6日前
ローム株式会社
半導体記憶装置
9日前
ローム株式会社
電圧制御発振器
26日前
ローム株式会社
MEMSセンサ
26日前
ローム株式会社
半導体記憶装置
9日前
続きを見る
他の特許を見る