TOP
|
特許
|
意匠
|
商標
特許ウォッチ
Twitter
他の特許を見る
10個以上の画像は省略されています。
公開番号
2025146295
公報種別
公開特許公報(A)
公開日
2025-10-03
出願番号
2024046986
出願日
2024-03-22
発明の名称
環境推定装置、表示システム、空気調和システム、環境推定方法、プログラム、環境推定システム、および学習済みモデルの製造方法
出願人
ダイキン工業株式会社
代理人
弁理士法人前田特許事務所
主分類
F24F
11/79 20180101AFI20250926BHJP(加熱;レンジ;換気)
要約
【課題】対象空間における空気の淀みを簡単に推定する。
【解決手段】環境推定装置(10)の制御部(14)は、第1空間(R1)に対して送信機(31)が発信した音波を受信機(32)が受信するまでの伝搬時間に基づくパラメータと、パラメータに対応した第1空間(R1)の空気の滞留性に関する情報とを教師データ(41)として学習された学習済みモデル(22)に、第2空間(R2)における伝搬時間に基づくパラメータを入力し、学習済みモデル(22)により推定された前記第2空間(R2)における空気の滞留性に関する情報を出力する。
【選択図】図8
特許請求の範囲
【請求項1】
制御部(14)を備えた環境推定装置であって、
前記制御部(14)は、
第1空間に対して送信機(31)が発信した音波を受信機(32)が受信するまでの伝搬時間に基づくパラメータと、前記パラメータに対応した前記第1空間(R1)の空気の滞留性に関する情報とを教師データ(41)として学習された学習済みモデル(22,122,222,422)に、第2空間(R2)における前記伝搬時間に基づくパラメータを入力し、
前記学習済みモデル(22,122,222,422)により推定された前記第2空間(R2)における空気の滞留性に関する情報を出力する環境推定装置。
続きを表示(約 1,200 文字)
【請求項2】
請求項1に記載の環境推定装置において、
前記制御部(14)は、前記伝搬時間に基づいて算出される、前記第2空間(R2)を複数に分割した区画毎の気流に関する情報を前記学習済みモデル(22,122,222,422)に入力する環境推定装置。
【請求項3】
請求項2に記載の環境推定装置において、
前記制御部(14)は、前記伝搬時間に基づいて算出される、前記第2空間(R2)を複数に分割した区画毎の温度に関する情報を前記学習済みモデル(22,122,222,422)に入力する環境推定装置。
【請求項4】
請求項1に記載の環境推定装置において、
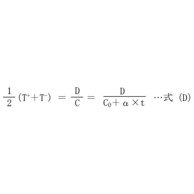
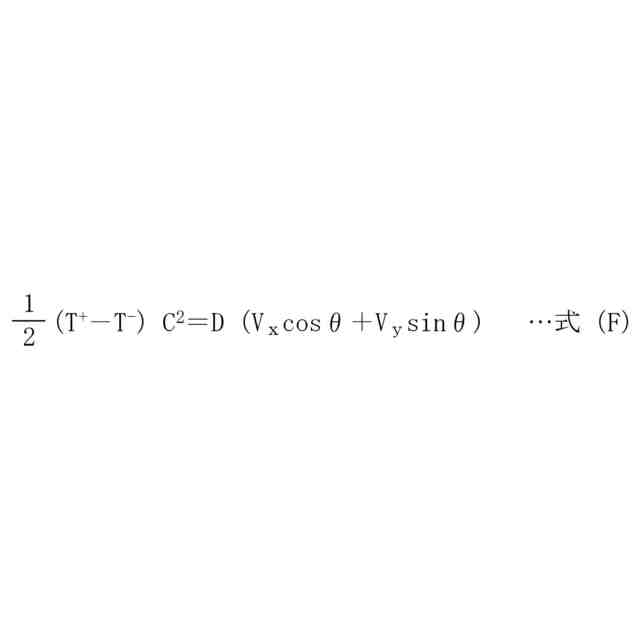
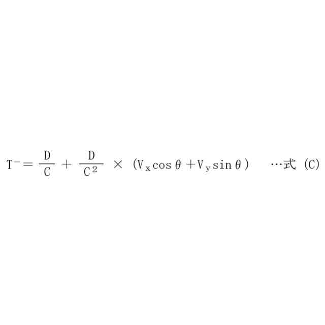
前記制御部(14)は、同じ伝搬経路を音波が往復したときの往路の伝搬時間と復路の伝搬時間との和である第1パラメータと、前記往路の伝搬時間と前記復路の伝搬時間との差である第2パラメータとを前記学習済みモデル(22,122,222,422)に入力する環境推定装置。
【請求項5】
請求項1~4のいずれか1つに記載の環境推定装置において、
前記制御部(14)は、前記第2空間(R2)を複数に分割した区画毎に前記空気の滞留性に関する情報を出力する環境推定装置。
【請求項6】
請求項5に記載の環境推定装置において、
前記学習済みモデル(22,122,222,422)は、前記第1空間(R1)を複数に分割した区画毎の前記空気の滞留性を出力とする多出力学習により機械学習されたモデルであり、
前記制御部(14)は、前記第2空間(R2)の前記区画毎に空気の滞留性を出力する環境推定装置。
【請求項7】
請求項1~4のいずれか1つに記載の環境推定装置において、
前記空気の滞留性に関する情報は、空気齢、空気余命、または空気寿命を含む環境推定装置。
【請求項8】
請求項1~4のいず入れか1つに記載の環境推定装置(10,310)と、
前記第2空間(R2)の空気の滞留性に関する情報を表示する表示部(50)と、を備える表示システム。
【請求項9】
請求項1~4のいず入れか1つに記載の環境推定装置(10,410)と、
前記第2空間(R2)の空気調和を行う空気調和装置(AC)と、を備え、
前記制御部(14)は、前記第2空間(R2)の空気の滞留性に関する情報に基づいて前記空気調和装置を制御する空気調和システム。
【請求項10】
請求項1~4のいずれか1つに記載の環境推定装置(10,310)に、前記第2空間(R2)に対して送信機(31)が発信した音波を受信機(32)が受信するまでの伝搬時間に基づくパラメータを入力するステップと、
前記環境推定装置(10,310)により出力された前記第2空間(R2)における空気の滞留性に関する情報を表示するステップと、を備える環境推定方法。
(【請求項11】以降は省略されています)
発明の詳細な説明
【技術分野】
【0001】
本開示は、環境推定装置、表示システム、空気調和システム、環境推定方法、プログラム、環境推定システム、および学習済みモデルの製造方法に関する。
続きを表示(約 1,600 文字)
【背景技術】
【0002】
特許文献1には、空気調和システムが開示されている。空気調和システムは、対象空間を空気調和する空調装置と、対象空間に外気を導入する換気装置と、対象空間の環境状態を検出する検出手段と、対象空間における温熱環境分布情報および空気の新鮮度を示す指標である空気齢の分布である空気齢分布を計算する流体解析手段と、を備える。特許文献1の空気調和システムは、流体解析手段の解析結果に基づいて、空調装置および換気装置に設定する制御パターンを決定する。
【先行技術文献】
【特許文献】
【0003】
国際公開第2023/062681号
【発明の概要】
【発明が解決しようとする課題】
【0004】
特許文献1では、流体解析手段は、CFD(Computational Fluid Dynamics)を用いて、対象空間における空気の滞留性に関する情報として、空気齢分布を算出する。しかしながら、CFDは、以下の点においてデメリットがある。
・境界条件として、吸排気口を含む詳細な室形状データ、壁からの侵入熱、内部発熱などの複雑なデータが必要である。
・対象空間を3次元モデル化した上で解析を行うため、詳細な室データがあったとしても、実際の対象空間の状況を反映することが困難である。
・専門的な知識と高度な計算能力が必要であり、多大な工数を必要とする。
【0005】
本開示の目的は、対象空間における空気の滞留性を簡単に推定することにある。
【課題を解決するための手段】
【0006】
第1の態様は、制御部(14)を備える環境推定装置を対象とする。制御部(14)は、第1空間(R1)に対して送信機(31)が発信した音波を受信機(32)が受信するまでの伝搬時間に基づくパラメータと、前記パラメータに対応した前記第1空間(R1)の空気の滞留性に関する情報とを教師データ(41)として学習された学習済みモデル(22,122,222,422)に、第2空間(R2)における前記伝搬時間に基づくパラメータを入力し、前記学習済みモデル(22,122,222,422)により推定された前記第2空間(R2)における空気の滞留性に関する情報を出力する。
【0007】
第1の態様では、学習済みモデル(22,122,222,422)は、第1空間(R1)に対して発信された音波の伝搬時間に基づくパラメータと、パラメータに対応する第1空間(R1)における空気の滞留性に関する情報とにより学習されている。学習済みモデル(22,122,222,422)を用いることで、対象空間である第2空間(R2)に対して発信された音波の伝搬時間に基づくパラメータから、第2空間(R2)における空気の滞留性に関する情報を得ることができる。伝搬時間に基づくパラメータは高度な計算能力を要することなく得られるため、環境推定装置は、CFDのような複雑な計算を行うことなく、対象空間における空気の滞留性を簡単に推定できる。
【0008】
第2の態様は、第1の態様において、前記制御部(14)は、前記伝搬時間に基づいて算出される、前記第2空間(R2)を複数に分割した区画毎の気流に関する情報を前記学習済みモデル(22,122,222,422)に入力する。
【0009】
第2の態様では、区画毎の気流に関する情報を利用することで、環境推定装置の推定精度を高くできる。
【0010】
第3の態様は、第1または第2の態様において、前記制御部(14)は、前記伝搬時間に基づいて算出される、前記第2空間(R2)を複数に分割した区画毎の温度に関する情報を前記学習済みモデル(22,122,222,422)に入力する。
(【0011】以降は省略されています)
この特許をJ-PlatPat(特許庁公式サイト)で参照する
関連特許
ダイキン工業株式会社
換気装置
22日前
ダイキン工業株式会社
冷凍装置
4日前
ダイキン工業株式会社
冷凍装置
8日前
ダイキン工業株式会社
冷凍装置
4日前
ダイキン工業株式会社
調湿装置
14日前
ダイキン工業株式会社
換気装置
23日前
ダイキン工業株式会社
空気調和機
23日前
ダイキン工業株式会社
空気調和機
28日前
ダイキン工業株式会社
空気調和機
23日前
ダイキン工業株式会社
空気調和機
22日前
ダイキン工業株式会社
固体冷凍装置
今日
ダイキン工業株式会社
空気調和装置
今日
ダイキン工業株式会社
回転電気機械
7日前
ダイキン工業株式会社
発電システム
4日前
ダイキン工業株式会社
エッチングガス
14日前
ダイキン工業株式会社
デポジションガス
14日前
ダイキン工業株式会社
半導体モジュール
22日前
ダイキン工業株式会社
室内機、空気調和装置
15日前
ダイキン工業株式会社
室内機、空気調和装置
15日前
ダイキン工業株式会社
室内機、空気調和装置
15日前
ダイキン工業株式会社
熱交換器及び冷凍装置
2日前
ダイキン工業株式会社
情報処理装置および機器
23日前
ダイキン工業株式会社
シラン化合物を含む組成物
1か月前
ダイキン工業株式会社
四路切換弁を有する冷凍装置
24日前
ダイキン工業株式会社
フルオロポリマーの製造方法
14日前
ダイキン工業株式会社
四路切換弁を有する冷凍装置
24日前
ダイキン工業株式会社
圧縮機の製造方法および圧縮機
16日前
ダイキン工業株式会社
フッ素化剤、及び、フッ素化方法
28日前
ダイキン工業株式会社
電力変換装置および空気調和装置
23日前
ダイキン工業株式会社
冷凍サイクル装置および冷凍機油
7日前
ダイキン工業株式会社
冷凍サイクル装置および冷凍機油
7日前
ダイキン工業株式会社
スクロール圧縮機、及び冷凍装置
今日
ダイキン工業株式会社
パワーモジュール及び半導体装置
25日前
ダイキン工業株式会社
四路切換弁と遮断弁を有する冷凍装置
24日前
ダイキン工業株式会社
処理方法、処理装置及び処理プログラム
23日前
ダイキン工業株式会社
フルオロポリマー水性分散液の製造方法
14日前
続きを見る
他の特許を見る