TOP
|
特許
|
意匠
|
商標
特許ウォッチ
Twitter
他の特許を見る
10個以上の画像は省略されています。
公開番号
2025127608
公報種別
公開特許公報(A)
公開日
2025-09-02
出願番号
2024024389
出願日
2024-02-21
発明の名称
時計用部品、時計、および、時計用部品の製造方法
出願人
セイコーエプソン株式会社
代理人
弁理士法人樹之下知的財産事務所
主分類
G04B
15/14 20060101AFI20250826BHJP(時計)
要約
【課題】実現できる色相を増やすことができる時計用部品を提供すること。
【解決手段】時計用部品は、時計用部品としての形状を備え、シリコンを主成分とする基材と、基材に積層される光反射層と、を備え、光反射層は、基材に近い側から順に積層される、第1層、第2層、および、第3層を有し、第1層は、酸化シリコンを用いて形成され、第2層は、シリコンを用いて形成され、第3層は、第2層とは異なる屈折率を有する材料にてALD法を用いて形成される、ことを特徴とする。
【選択図】図4
特許請求の範囲
【請求項1】
時計用部品としての形状を備え、シリコンを主成分とする基材と、
前記基材に積層される光反射層と、を備え、
前記光反射層は、前記基材に近い側から順に積層される、第1層、第2層、および、第3層を有し、
前記第1層は、酸化シリコンを用いて形成され、
前記第2層は、シリコンを用いて形成され、
前記第3層は、前記第2層とは異なる屈折率を有する材料にてALD法を用いて形成される
ことを特徴とする時計用部品。
続きを表示(約 1,200 文字)
【請求項2】
請求項1に記載の時計用部品において、
前記第3層の屈折率は、1.3以上、かつ、2.7以下である
ことを特徴とする時計用部品。
【請求項3】
請求項2に記載の時計用部品において、
前記第3層の屈折率は、1.7以上、かつ、2.7以下である
ことを特徴とする時計用部品。
【請求項4】
請求項1に記載の時計用部品において、
前記第3層は、酸化アルミニウム、窒化アルミニウム、酸化シリコン、窒化シリコン、酸化チタン、窒化チタン、および、酸化ハフニウムのいずれか一つを用いて形成される
ことを特徴とする時計用部品。
【請求項5】
請求項1に記載の時計用部品において、
前記第1層および前記第2層は、ALD法以外の方法を用いて形成される
ことを特徴とする時計用部品。
【請求項6】
請求項1に記載の時計用部品において、
前記第1層の層厚は、50nm以上、かつ、600nm以下であり、
前記第2層の層厚は、20nm以上、かつ、300nm以下であり、
前記第3層の層厚は、10nm以上、かつ、150nm以下である
ことを特徴とする時計用部品。
【請求項7】
請求項1から請求項6のいずれか一項に記載の時計用部品を備える
ことを特徴とする時計。
【請求項8】
請求項7に記載の時計において、
開口を有する文字板と、
透光性を備えるカバー部材と、を備え、
前記開口および前記カバー部材を通して前記時計用部品を視認可能である
ことを特徴とする時計。
【請求項9】
請求項7に記載の時計において、
透光性を備える裏蓋を備え、
前記裏蓋を通して時計用部品が視認可能である
ことを特徴とする時計。
【請求項10】
シリコンを用いて形成される板状部材をエッチングすることで、時計用部品としての形状を備える基材、および、前記基材を支持するタイバーを形成するエッチング工程と、
前記エッチング工程の後に実施され、前記基材の一方の面、前記一方の面とは反対側の他方の面、および、前記一方の面と前記他方の面とを接続する側面に、第1層、第2層、および、第3層を有する光反射層を積層する反射層積層工程と、
前記反射層積層工程の後に実施され、前記タイバーを切断するタイバー切断工程と、を備え、
前記反射層積層工程は、熱酸化法により酸化シリコンを用いて前記第1層を形成する第1層形成工程と、低圧CVD法によりシリコンを用いて前記第2層を形成する第2層形成工程と、ALD法により前記第2層とは異なる屈折率を持つ材料を用いて前記第3層を形成する第3層形成工程と、を有する
ことを特徴とする時計用部品の製造方法。
発明の詳細な説明
【技術分野】
【0001】
本発明は、時計用部品、時計、および、時計用部品の製造方法に関する。
続きを表示(約 1,500 文字)
【背景技術】
【0002】
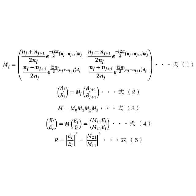
特許文献1には、シリコンを主成分とする基材に、第1酸化シリコン層と、シリコン層と、第2酸化シリコン層とがこの順で積層された3層構造の光反射層を設けることが開示されている。
【0003】
特許文献1では、シリコン製の基材に、相対的に低屈折率層である酸化シリコン層と、相対的に高屈折率層であるシリコン層とが交互に3層積層されているので、基材に酸化シリコン層を1層積層させた場合に比べて、発色性よく加飾することができる。
【先行技術文献】
【特許文献】
【0004】
特開2020-148651号公報
【発明の概要】
【発明が解決しようとする課題】
【0005】
特許文献1では、第1酸化シリコン層、シリコン層、第2酸化シリコン層の3層の層厚の組み合わせにより色相を制御しているが、層厚の変更のみでは実現できる色相に限りがあるといった問題があった。
【課題を解決するための手段】
【0006】
本開示の時計用部品は、時計用部品としての形状を備え、シリコンを主成分とする基材と、前記基材に積層される光反射層と、を備え、前記光反射層は、前記基材に近い側から順に積層される、第1層、第2層、および、第3層を有し、前記第1層は、酸化シリコンを用いて形成され、前記第2層は、シリコンを用いて形成され、前記第3層は、前記第2層とは異なる屈折率を有する材料にてALD法を用いて形成されることを特徴とする。
【0007】
本開示の時計は、前記時計用部品を備えることを特徴とする。
【0008】
本開示の時計用部品の製造方法は、シリコンを用いて形成される板状部材をエッチングすることで、時計用部品としての形状を備える基材、および、前記基材を支持するタイバーを形成するエッチング工程と、前記エッチング工程の後に実施され、前記基材の一方の面、前記一方の面とは反対側の他方の面、および、前記一方の面と前記他方の面とを接続する側面に、第1層、第2層、および、第3層を有する光反射層を積層する反射層積層工程と、前記反射層積層工程の後に実施され、前記タイバーを切断するタイバー切断工程と、を備え、前記反射層積層工程は、熱酸化法により酸化シリコンを用いて前記第1層を形成する第1層形成工程と、低圧CVD法によりシリコンを用いて前記第2層を形成する第2層形成工程と、ALD法により前記第2層とは異なる屈折率を持つ材料を用いて前記第3層を形成する第3層形成工程と、を有することを特徴とする。
【図面の簡単な説明】
【0009】
一実施形態に係る時計を文字板側から見た正面図。
前記実施形態に係る時計を裏蓋側から見た図。
前記実施形態に係るがんぎ歯車部の平面図。
前記実施形態に係るがんぎ歯車部の部分断面図。
光反射層による光の反射のモデル図。
前記実施形態に係るがんぎ歯車の製造方法のフローチャート。
【発明を実施するための形態】
【0010】
[実施形態]
以下、本開示の一実施形態に係る時計1を図面に基づいて説明する。
図1は、時計1を示す正面図であり、図2は、時計1を裏蓋側から見た図である。本実施形態では、時計1は、ユーザーの手首に装着される機械式の腕時計として構成される。そして、時計1は、文字板3側および裏蓋35側から、ムーブメント40の一部を視認できるシースルー構造になっている。
(【0011】以降は省略されています)
この特許をJ-PlatPat(特許庁公式サイト)で参照する
関連特許
個人
砂時計
19日前
個人
目覚し時計
2か月前
個人
時刻同期システム
21日前
セイコーエプソン株式会社
時計
3か月前
個人
自照式の針により認視性を高めたアナログ式時計
3か月前
セイコーエプソン株式会社
電子時計
2か月前
ローム株式会社
時間測定回路
今日
株式会社村田製作所
光学的パターン表示物品
5日前
セイコーエプソン株式会社
電子制御式機械時計
3か月前
シチズン時計株式会社
電子時計
1か月前
セイコーエプソン株式会社
電子制御式機械時計
7日前
シチズン時計株式会社
機械式時計
3か月前
セイコーエプソン株式会社
ムーブメント及び時計
3か月前
シチズン時計株式会社
機械式時計
1か月前
シチズン時計株式会社
機械式時計
2か月前
カシオ計算機株式会社
装飾板及び時計
6日前
セイコーエプソン株式会社
電子時計
3か月前
カシオ計算機株式会社
制御装置、制御方法、及びプログラム
6日前
セイコータイムクリエーション株式会社
からくり時計
5日前
セイコーエプソン株式会社
機械式時計
20日前
カシオ計算機株式会社
機器ケース及び時計
2か月前
カシオ計算機株式会社
機器ケース及び時計
29日前
セイコーエプソン株式会社
時計および風防部材の製造方法
今日
セイコーエプソン株式会社
インデックス、文字板、及び時計
1か月前
住友ベークライト株式会社
計時装置、計時方法および検査装置
3か月前
カシオ計算機株式会社
電子時計及び電子時計本体
20日前
カシオ計算機株式会社
外装部品ユニット及び時計
5日前
セイコーウオッチ株式会社
時計、音声再生方法およびプログラム
1か月前
モントレー ブレゲ・エス アー
プレート上のディスプレイモジュールの配置
3か月前
モントレー ブレゲ・エス アー
表示機構のための調整システム
3か月前
カシオ計算機株式会社
電子時計、外装部材及びバンド
20日前
カシオ計算機株式会社
カバー構造体、時計、およびカバー構造体の製造方法
3か月前
セイコーエプソン株式会社
機械式時計及び機械式時計の組み立て方法
2か月前
セイコーエプソン株式会社
時計用部品、および、時計
1か月前
カシオ計算機株式会社
指針、時計、及び指針の製造方法
1か月前
東邦瓦斯株式会社
ウェアラブル機器用防熱カバー
2か月前
続きを見る
他の特許を見る