TOP
|
特許
|
意匠
|
商標
特許ウォッチ
Twitter
他の特許を見る
10個以上の画像は省略されています。
公開番号
2025130044
公報種別
公開特許公報(A)
公開日
2025-09-05
出願番号
2025024954
出願日
2025-02-19
発明の名称
墜落制止用警報装置
出願人
株式会社時建
,
株式会社BFL
,
個人
代理人
個人
主分類
G08B
21/02 20060101AFI20250829BHJP(信号)
要約
【課題】墜落制止用器具の使用が真に必要となる高さにおいて、墜落制止用器具が使用されていない場合に注意喚起を行う墜落制止用警報装置を提供する。
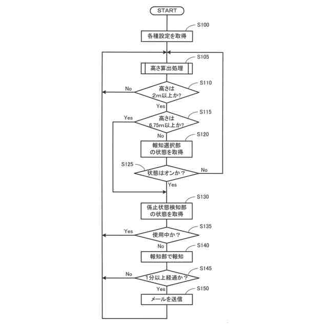
【解決手段】人体に装着されるハーネス部3と、一端がハーネス部3に取付けられたロープ部4、ロープ部4の他端に取付けられ、係止対象に対して係止可能なフック部5、を備えた墜落制止用器具6に装着される墜落制止用警報装置1であって、フック部5が係止対象に係止状態であるか否かを検知する係止状態検知部10、基準面からの墜落制止用器具6の高さを検出する高さ検出部20、墜落制止用器具6の使用者に対して所定内容の報知を行う報知部30及び高さ検出部20で検出した基準面からの高さが所定の第1高さH1以上となり、かつ、係止状態検知部10でフック部5が係止対象に係止されていないことを検知した場合に報知部30で報知を行う制御部40を備えた墜落制止用警報装置1。
【選択図】図2
特許請求の範囲
【請求項1】
人体に装着されるハーネス部と、一端が前記ハーネス部に取付けられたロープ部と、前記ロープ部の他端に取付けられ、係止対象に対して係止可能なフック部と、を備えた墜落制止用器具に装着される墜落制止用警報装置であって、
前記フック部が前記係止対象に係止状態であるか否かを検知する係止状態検知部と、
基準面からの前記墜落制止用器具の高さを検出する高さ検出部と、
前記墜落制止用器具の使用者に対して所定内容の報知を行う報知部と、
前記高さ検出部で検出した前記基準面からの高さが所定の第1高さ以上となり、かつ、前記係止状態検知部で前記フック部が前記係止対象に係止されていないことを検知した場合に、前記報知部で報知を行う制御部と、
を備えた墜落制止用警報装置。
続きを表示(約 1,000 文字)
【請求項2】
請求項1に記載の墜落制止用警報装置において、
前記報知部は、
報知を行うか否かを選択できる報知選択部を備え、
前記制御部は、
前記高さ検出部で検出した前記基準面からの高さが前記第1高さ以上で、前記高さ設定部で設定された第2高さ未満であり、かつ、前記報知選択部により報知をしない選択がされている場合は、前記報知部で報知を行わず、前記高さ検出部で検出した前記基準面からの高さが前記第2高さ以上となった場合には、前記報知選択部で報知をしない選択がなされてる場合であっても前記前記報知部で報知を行う墜落制止用警報装置。
【請求項3】
請求項1又は請求項2に記載の墜落制止用警報装置において、
前記高さ検出部は、
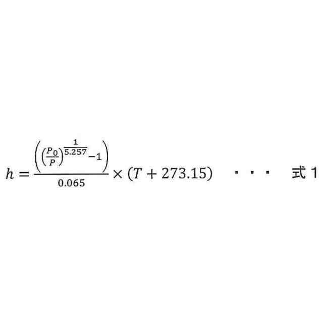
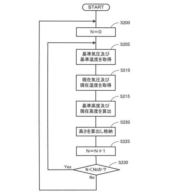
前記基準面に設置され、基準気圧を検出する基準気圧検出器と、
前記墜落制止用器具に取り付けられ、該取り付けられた高さにおける気圧を検出する現在気圧検出器と、
前記現在気圧検出器で検出した気圧と前記基準気圧検出器で検出して基準気圧の差分に基づいて、前記基準面に対する前記墜落制止用器具の高さを算出する高さ算出部と、
を備えている墜落制止用警報装置。
【請求項4】
請求項1又は請求項2に記載の墜落制止用警報装置において、
前記墜落防止用器具に取り付けられ、該取り付けられた高さにおける気圧を検出する現在気圧検出器を備え、
前記高さ検出部は、
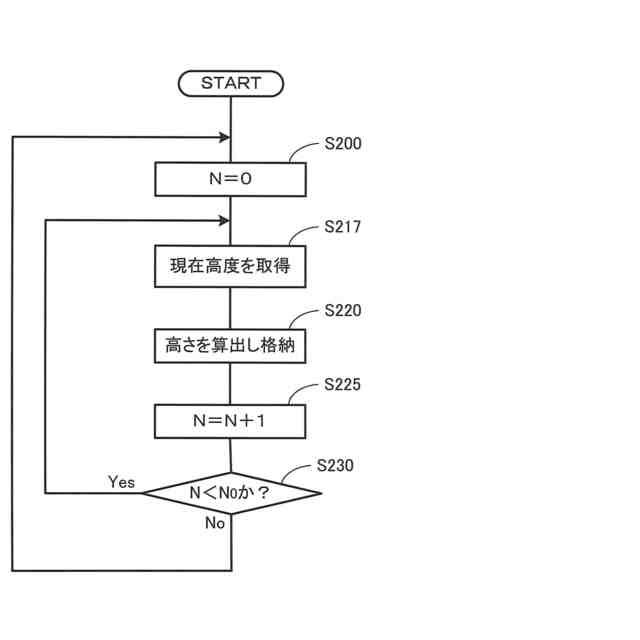
前記現在気圧検出器で検出した現在気圧が、予め設定した前記第1高さに相当する気圧になった場合、前記第1高さであると判定し、
前記現在気圧が、予め設定した前記第2高さに相当する気圧になった場合、前記第2高さであると判定する墜落制止用警報装置。
【請求項5】
請求項1又は請求項2に記載の墜落制止用警報装置において、
情報を外部に出力する情報出力部を備え、
前記制御部は、
前記報知部で報知を行っている時間が所定時間を経過した場合、所定時間以上の報知を行っている旨の報知情報を、前記情報出力部を介して出力する墜落制止用警報装置。
【請求項6】
請求項5に記載の墜落制止用警報装置において、
前記制御部は、
前記墜落制止用器具ごとに定められた識別情報を格納し、前記前記報知情報を出力する際に、前記報知情報とともに前記識別情報を出力する墜落制止用警報装置。
発明の詳細な説明
【技術分野】
【0001】
本発明は、高所作業などにおいて、墜落制止用器具の使用が必要な場合に注意喚起を行う墜落制止用警報装置に関する。
続きを表示(約 1,900 文字)
【背景技術】
【0002】
従来、ハーネス型安全帯に装着された装置本体のフック掛止部に掛けられたロープフックが外されると、安全帯を所定高さ以上の場所で使用するように注意喚起する音声メッセージを出力するようにした安全帯用音声出力装置がある(例えば、特許文献1参照)。
【先行技術文献】
【特許文献】
【0003】
特開2019-534011号公報
【発明の概要】
【発明が解決しようとする課題】
【0004】
上記従来の安全帯用音声出力装置では、フック掛止部に掛けられたロープフックが外されると、安全帯を使用するようにとの注意喚起の音声メッセージが出力される。つまり、安全な高さにおいてもロープフックをフック掛止部から外すと注意喚起の音声メッセージが出力されるため安全帯の使用者が使いにくいという課題があった。また、安全帯を使用している高さに関係なく、ロープフックがフック掛止部から外れているか否かで注意喚起の音声メッセージが出力されるため、真の意味での安全性の確保という観点でも課題があった。
【0005】
本発明は、こうした課題に鑑みなされたもので、墜落制止用器具(従来の安全帯に相当)の使用が真に必要となる高さにおいて、墜落制止用器具が使用されていない場合に注意喚起を行う墜落制止用警報装置を提供することを目的とする。
【課題を解決するための手段】
【0006】
本発明は、上述の課題の少なくとも一部を解決するためになされたものであり、以下の適用例として実現することが可能である。なお、本欄における括弧内の参照符号や補足説明等は、本発明の理解を助けるために、後述する実施形態との対応関係を示したものであって、本発明を何ら限定するものではない。
【0007】
[適用例1]
適用例1に記載の墜落制止用警報装置(1)は、
人体に装着されるハーネス部(3)と、一端が前記ハーネス部(3)に取付けられたロープ部(4)と、前記ロープ部(4)の他端に取付けられ、係止対象に対して係止可能なフック部(5)と、を備えた墜落制止用器具(6)に装着される墜落制止用警報装置(1)であって、
前記フック部(5)が前記係止対象に係止状態であるか否かを検知する係止状態検知部(10)と、
基準面からの前記墜落制止用器具(6)の高さを検出する高さ検出部(20、40)と、
前記墜落制止用器具(6)の使用者に対して所定内容の報知を行う報知部(30)と、
前記報知部(30)で報知を行う高さを設定できる高さ設定部(40)と、
前記高さ検出部(20、40)で検出した前記基準面からの高さが前記高さ設定部(40)で設定された第1高さ(H1)以上となり、かつ、前記係止状態検知部(10)で前記フック部(5)が前記係止対象に係止されていないことを検知した場合に、前記報知部(30)で報知を行う制御部(40)と、
を備えたことを要旨とする。
【0008】
このような、墜落制止用警報装置(1)では、墜落制止用器具(6)を装着した使用者の人体が基準面から第1高さ(H1)以上となっているにも拘わらずフック部(5)が係止対象に係止されていない場合に報知が行われる。
【0009】
つまり、第1高さ(H1)を適切に設定しておけば、フック部(5)を係止対象に係止する必要がある場合にのみ報知がなされるため、換言すれば、係止対象に係止する必要がない場合には警報がなされないため、墜落制止用器具(6)の使用者は使いやすく、しかも使用者の安全性を確保することができる墜落制止用警報装置(1)となる。
【0010】
[適用例2]
適用例2に記載の墜落制止用警報装置(1)は、適用例1に記載の墜落制止用警報装置(1)において、
前記報知部(30)は、
報知を行うか否かを選択できる報知選択部(32)を備え、
前記制御部(40)は、
前記高さ検出部(20、40)で検出した前記基準面からの高さが前記第1高さ(H1)以上で、前記高さ設定部(40)で設定された第2高さ(H2)未満であり、かつ、前記報知選択部(32)により報知をしない選択がされている場合は、前記報知部(30)で報知を行わず、前記高さ検出部(20、40)で検出した前記基準面からの高さが前記第2高さ(H2)以上となった場合には、前記報知選択部(32)で報知をしない選択がなされてる場合であっても前記前記報知部(30)で報知を行う墜落制止用警報装置(1)。
(【0011】以降は省略されています)
この特許をJ-PlatPat(特許庁公式サイト)で参照する
関連特許
株式会社時建
墜落制止用警報装置
1か月前
日本精機株式会社
警報システム
1か月前
日本精機株式会社
路面投影装置
3か月前
個人
自動電動車椅子
17日前
スズキ株式会社
運転支援装置
1か月前
エムケー精工株式会社
車両誘導装置
1か月前
個人
磁気路上での車両の路線離脱防御
6日前
ニッタン株式会社
発信機
2か月前
ニッタン株式会社
発信機
1か月前
ニッタン株式会社
検知器
27日前
ニッタン株式会社
検知器
3日前
ニッタン株式会社
検知器
25日前
ニッタン株式会社
検知器
25日前
ニッタン株式会社
発信機
3か月前
株式会社国際電気
防災システム
1か月前
TOA株式会社
拡声放送システム
3か月前
トヨタ自動車株式会社
車両
2か月前
株式会社JVCケンウッド
警報装置
2か月前
トヨタ自動車株式会社
サーバ
10日前
株式会社SUBARU
運転支援装置
4日前
株式会社小糸製作所
移動体検出装置
27日前
個人
乗り物の移動を支援する方法及び装置
2か月前
大阪瓦斯株式会社
音声出力システム
2日前
日本信号株式会社
異常走行検出装置
10日前
日本信号株式会社
信号情報システム
2か月前
日本信号株式会社
情報提供システム
2か月前
株式会社アジラ
データ転送システム
3か月前
株式会社CCT
通信装置及び表示方法
3日前
日本精機株式会社
報知装置及び報知システム
16日前
株式会社小糸製作所
車両検出システム
27日前
三菱自動車工業株式会社
制御システム
2日前
トヨタ自動車株式会社
回避動作判別装置
2か月前
能美防災株式会社
火災感知器
1か月前
個人
現示内容に関する情報放送機能付き信号機
2か月前
日本信号株式会社
交通信号制御システム
2か月前
ホーチキ株式会社
火災検出システム
2か月前
続きを見る
他の特許を見る