TOP
|
特許
|
意匠
|
商標
特許ウォッチ
Twitter
他の特許を見る
公開番号
2025136922
公報種別
公開特許公報(A)
公開日
2025-09-19
出願番号
2024035860
出願日
2024-03-08
発明の名称
情報処理システム、情報処理方法及びプログラム
出願人
株式会社豊田中央研究所
,
株式会社アイシン
代理人
弁理士法人IPX
主分類
G08G
1/16 20060101AFI20250911BHJP(信号)
要約
【課題】乗り物の自動運転が実現した場合、車内で効果的に入眠を促すことができる情報処理システムを提供する。
【解決手段】本発明の一態様によれば、情報処理システムが提供される。この情報処理システムは、少なくとも1つ以上の制御部を有する。制御部は、乗り物の少なくとも1つ以上のセンサによって計測された計測データに基づき乗り物の乗員が感受する振動感覚に関連する振動感覚値を求める。振動感覚値に基づき乗員の寝づらさを示す値を求める。
【選択図】図1
特許請求の範囲
【請求項1】
情報処理システムであって、
少なくとも1つ以上の制御部を有し、
前記制御部は、
乗り物の少なくとも1つ以上のセンサによって計測された計測データに基づき前記乗り物の乗員が感受する振動感覚に関連する振動感覚値を求め、
前記振動感覚値に基づき前記乗員の寝づらさを示す値を求める、
情報処理システム。
続きを表示(約 1,400 文字)
【請求項2】
請求項1に記載の情報処理システムにおいて、
前記制御部は、
前記寝づらさを示す値を出力する、
情報処理システム。
【請求項3】
請求項1に記載の情報処理システムにおいて、
前記制御部は、
前記計測データから得られる前記乗り物の乗員の左右方向又はヨー方向の所定周波数値未満の振動周波数成分の平均パワーに基づき前記振動感覚値を求める、
情報処理システム。
【請求項4】
請求項3に記載の情報処理システムにおいて、
前記制御部は、
前記計測データから得られる前記乗り物の乗員の上下方向又はピッチ方向の所定周波数値以上の振動周波数成分の平均パワーに基づき前記振動感覚値を求める、
情報処理システム。
【請求項5】
請求項4に記載の情報処理システムにおいて、
前記寝づらさを示す値は、前記左右方向又はヨー方向の所定周波数値未満の振動周波数成分の平均パワーが前記上下方向又はピッチ方向の所定周波数値以上の振動周波数成分の平均パワーに比べて小さくなるにつれて前記乗員にとっての寝づらさが増大することを示すように構成される、
情報処理システム。
【請求項6】
請求項3に記載の情報処理システムにおいて、
前記制御部は、
前記計測データから得られる前記乗員の前後方向、上下方向、ロール方向、及びピッチ方向のうちの少なくとも1つの所定周波数値以上の振動周波数成分のパワーの時間的変動に基づき前記振動感覚値を求め、
前記寝づらさを示す値は、前記所定周波数値以上の振動周波数成分のパワーの時間的変動が大きいほど前記乗員にとっての寝づらさが増大するように構成される、
情報処理システム。
【請求項7】
請求項1に記載の情報処理システムにおいて、
前記制御部は、
前記寝づらさを示す値に基づき前記乗員に振動感覚を与える装置の動作を制御する、
情報処理システム。
【請求項8】
請求項7に記載の情報処理システムにおいて、
前記装置は、前記乗員の体幹又は頭頸部に接しているシート、又はヘッドレストに設置されている装置である、
情報処理システム。
【請求項9】
請求項7に記載の情報処理システムにおいて、
前記制御部は、
前記装置を制御することにより、前記乗員の左右又はヨー方向の所定周波数値未満の振動周波数成分の平均パワーが前記乗員の上下方向又はピッチの所定周波数値以上の振動周波数成分の平均パワーに比べて大きく感じるように、前記乗り物の乗員の左右又はヨー方向の所定周波数値未満の振動周波数成分の振動感覚を前記乗員の体幹又は頭頸部に重畳させる、
情報処理システム。
【請求項10】
請求項7に記載の情報処理システムにおいて、
前記制御部は、
前記乗員の前後方向、上下方向、ロール方向、及びピッチ方向のうちの少なくとも1つの所定周波数値以上の振動周波数成分のパワーの時間的変動が小さい状態に対応する振動感覚を与えるように、前記装置の動作を制御する、
情報処理システム。
(【請求項11】以降は省略されています)
発明の詳細な説明
【技術分野】
【0001】
本発明は、情報処理システム、情報処理方法及びプログラムに関する。
続きを表示(約 1,500 文字)
【背景技術】
【0002】
特許文献1には寝付きの悪い人に対してもより効果的に入眠を促すことができる入眠誘導装置が開示されている。
【先行技術文献】
【特許文献】
【0003】
特開2022-23283号公報
【発明の概要】
【発明が解決しようとする課題】
【0004】
乗り物の自動運転が実現した場合、車内では寝ていたいという乗員の要求がある。しかし、乗り物での移動中の睡眠には振動が問題となる。
【課題を解決するための手段】
【0005】
本発明の一態様によれば、情報処理システムが提供される。この情報処理システムは、少なくとも1つ以上の制御部を有する。制御部は、乗り物の少なくとも1つ以上のセンサによって計測された計測データに基づき乗り物の乗員が感受する振動感覚に関連する振動感覚値を求める。振動感覚値に基づき乗員の寝づらさを示す値を求める。
【図面の簡単な説明】
【0006】
図1は、情報処理システムのシステム構成の一例を示す図である。
図2は、サーバー装置のハードウェア構成の一例を示す図である。
図3は、自動車の乗員の概念図である。
図4は、情報処理システムにおける情報処理の一例を示すシーケンス図である。
図5は、1名の1睡眠の動的線形モデリングの結果の一例を示す図である。
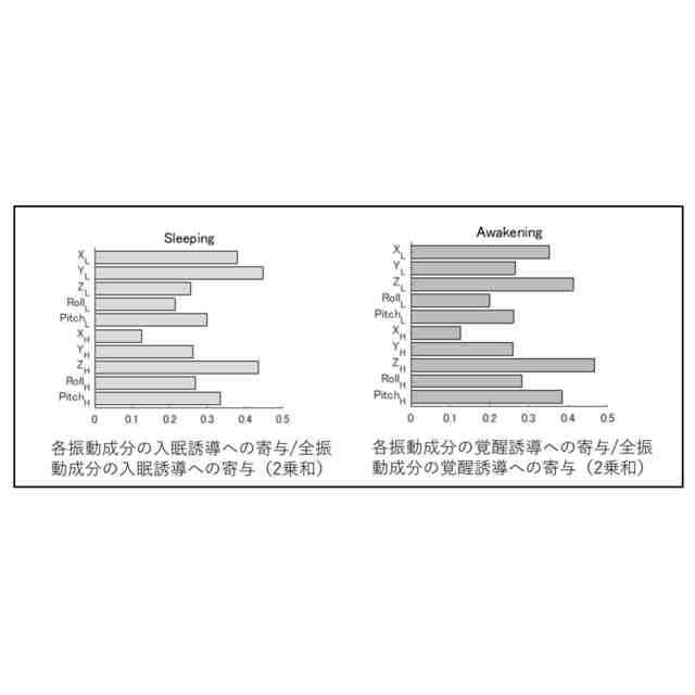
図6は、入眠、覚醒への寄与を動的線形モデリングで調べた結果の一例を示す図である。
図7は、寝づらさ抑制装置の一例を示す図である。
【発明を実施するための形態】
【0007】
以下、図面を用いて本発明の実施形態について説明する。以下に示す実施形態中で示した各種特徴事項は、互いに組み合わせ可能である。
【0008】
本明細書において「部」とは、例えば、広義の回路によって実施されるハードウェア資源と、これらのハードウェア資源によって具体的に実現されうるソフトウェアの情報処理とを合わせたものも含みうる。また、本実施形態においては様々な情報を取り扱うが、これら情報は、0又は1で構成される2進数のビット集合体として信号値の高低によって表されるか、信号値の物理的な数値によって表されるか、又は量子的な重ね合わせによって表されるかによらず、広義の回路上で通信・演算が実行されうる。
【0009】
また、広義の回路とは、回路(Circuit)、回路類(Circuitry)、プロセッサ(Processor)、及びメモリ(Memory)等を少なくとも適当に組み合わせることによって実現される回路である。すなわち、特定用途向け集積回路(Application Specific Integrated Circuit:ASIC)、プログラマブル論理デバイス(例えば、単純プログラマブル論理デバイス(Simple Programmable Logic Device:SPLD)、複合プログラマブル論理デバイス(Complex Programmable Logic Device:CPLD)、及びフィールドプログラマブルゲートアレイ(Field Programmable Gate Array:FPGA))等を含むものである。
【0010】
また、実施形態中に登場するソフトウェアを実現するためのプログラムは、サーバーからダウンロ-ド可能な態様で実施してもよいし、クラウドコンピュ-タ上でプログラムの実行がなされてもよいし、不揮発性又は揮発性の非一時的な記憶媒体に記憶させて頒布されてもよい。
(【0011】以降は省略されています)
この特許をJ-PlatPat(特許庁公式サイト)で参照する
関連特許
日本精機株式会社
警報システム
1か月前
個人
自動電動車椅子
18日前
スズキ株式会社
運転支援装置
1か月前
エムケー精工株式会社
車両誘導装置
1か月前
株式会社国際電気
防災システム
1か月前
ニッタン株式会社
検知器
28日前
ニッタン株式会社
検知器
26日前
ニッタン株式会社
検知器
4日前
ニッタン株式会社
検知器
26日前
個人
磁気路上での車両の路線離脱防御
7日前
株式会社小糸製作所
移動体検出装置
28日前
日本信号株式会社
異常走行検出装置
11日前
株式会社SUBARU
運転支援装置
5日前
大阪瓦斯株式会社
音声出力システム
3日前
トヨタ自動車株式会社
サーバ
11日前
日本精機株式会社
報知装置及び報知システム
17日前
株式会社小糸製作所
車両検出システム
28日前
株式会社CCT
通信装置及び表示方法
4日前
三菱自動車工業株式会社
制御システム
3日前
能美防災株式会社
火災感知器
1か月前
ヨシモトポール株式会社
接近報知システム
1か月前
能美防災株式会社
非常伝達装置
1か月前
本田技研工業株式会社
物体検出装置
1か月前
株式会社豊田中央研究所
注意喚起装置
19日前
シャープ株式会社
駐車制御装置
10日前
株式会社 ミックウェア
追従移動支援装置、端末装置
10日前
ALSOK株式会社
警備システム及び警備方法
18日前
株式会社アイシン
運転支援装置
3日前
パイオニア株式会社
情報処理装置
7日前
古野電気株式会社
航路計画システム及び航路計画方法
1か月前
パイオニア株式会社
情報処理装置
7日前
トヨタ自動車株式会社
方法
1か月前
愛知製鋼株式会社
マーカシステム及び制御方法
1か月前
株式会社デンソーウェーブ
セキュリティシステム
7日前
株式会社京三製作所
横断歩道誘導システム
1か月前
四国計測工業株式会社
計測システム
11日前
続きを見る
他の特許を見る