TOP
|
特許
|
意匠
|
商標
特許ウォッチ
Twitter
他の特許を見る
公開番号
2025141599
公報種別
公開特許公報(A)
公開日
2025-09-29
出願番号
2024041611
出願日
2024-03-15
発明の名称
ADC校正装置およびADC校正方法
出願人
アンリツ株式会社
代理人
弁理士法人有我国際特許事務所
主分類
H03M
1/10 20060101AFI20250919BHJP(基本電子回路)
要約
【課題】タイムインタリーブADCの校正を高速に行うことができるADC校正装置等を提供する。
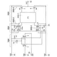
【解決手段】複数のADCを備えるTI-ADCの校正装置であって、TI-ADCに入力する校正信号を発生する校正信号発生器21と、TI-ADCにおいて校正信号を所定のサンプリング周波数でAD変換することによって得られるサンプル信号を記憶するサンプル信号記憶部22と、記憶されたサンプル信号から、ADC間のミスマッチ特性の周波数特性を算出し、ミスマッチ特性の周波数特性からADC間のミスマッチを補正するための補正情報を算出する補正情報算出部23と、を備える。校正信号発生器は、サンプリング周波数の1/2以下の周波数範囲内で互いに周波数の異なる複数のキャリア信号を合波したマルチキャリア信号を校正信号として発生し、各キャリア信号は、サンプル信号に含まれるエイリアスのいずれとも周波数が異なる。
【選択図】図1
特許請求の範囲
【請求項1】
複数のAD変換器をタイムインタリーブ方式で動作させるAD変換装置の校正装置であって、
前記AD変換装置に入力する校正信号を発生する校正信号発生器(21)と、
前記AD変換装置において前記校正信号を所定のサンプリング周波数でAD変換することによって得られるサンプル信号を記憶するサンプル信号記憶部(22)と、
前記サンプル信号記憶部に記憶された前記サンプル信号から、前記複数のAD変換器間のミスマッチを特徴付けるミスマッチ特性の周波数特性を算出し、前記ミスマッチ特性の周波数特性から前記複数のAD変換器間のミスマッチを補正するための補正情報を算出する補正情報算出部(23)と、
を備え、
前記校正信号発生器は、前記サンプリング周波数の1/2以下の周波数範囲内で互いに周波数の異なる複数のキャリア信号を合波したマルチキャリア信号を前記校正信号として発生し、前記各キャリア信号は、前記サンプル信号に含まれるエイリアスのいずれとも周波数が異なる、校正装置。
続きを表示(約 2,500 文字)
【請求項2】
複数のAD変換器をタイムインタリーブ方式で動作させるAD変換装置の校正装置であって、
前記AD変換装置に入力する校正信号を発生する校正信号発生器(21)と、
前記AD変換装置において前記校正信号を所定のサンプリング周波数でAD変換することによって得られるサンプル信号を記憶するサンプル信号記憶部(22)と、
前記サンプル信号記憶部に記憶された前記サンプル信号から、前記複数のAD変換器間のミスマッチを特徴付けるミスマッチ特性の周波数特性を算出し、前記ミスマッチ特性の周波数特性から前記複数のAD変換器間のミスマッチを補正するための補正情報を算出する補正情報算出部(23)と、
を備え、
前記校正信号発生器は、前記サンプリング周波数の1/2以上かつ前記サンプリング周波数以下の周波数範囲内で互いに周波数の異なる複数のキャリア信号を合波したマルチキャリア信号を前記校正信号として発生し、前記各キャリア信号は、前記サンプル信号に含まれるエイリアスのいずれとも周波数が異なる、校正装置。
【請求項3】
前記サンプリング周波数の1/2以下の周波数範囲内において、前記各AD変換器のナイキスト周波数f
s
/2mにより規定される各ナイキスト領域R
i
内に、同数のキャリア信号が等間隔で配置され、前記各ナイキスト領域R
i
内に配置されるキャリア信号のうち最小周波数のキャリア信号が有する該最小周波数と、前記最小周波数のキャリア信号が属するナイキスト領域の一方の端部の周波数との周波数差は、前記各ナイキスト領域R
i
で互いに異なる、ただし、f
s
はサンプリング周波数、mはAD変換器の個数であり、ナイキスト領域R
i
(i=1,2,...,m)は、(f
s
/2m)・(i-1)以上かつ(f
s
/2m)・i未満の周波数範囲である、請求項1に記載の校正装置。
【請求項4】
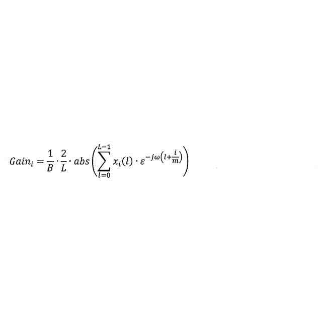
前記マルチキャリア信号を構成する前記複数のキャリア信号の周波数は、次式に従って設定される、請求項1に記載の校正装置。
TIFF
2025141599000007.tif
12
163
(ここで、f
s
はサンプリング周波数、mはAD変換器の個数、nはキャリア間隔の細かさを決めるパラメータである。ただし、f
k
=0は除く。)
【請求項5】
前記複数のキャリア信号を配置する周波数範囲を変更しつつ前記AD変換器間のミスマッチ特性を測定していき、前記サンプリング周波数の1/2以下の周波数範囲の全体にわたって前記ミスマッチ特性の周波数特性を測定する、請求項1に記載の校正装置。
【請求項6】
前記ミスマッチ特性は、前記複数のAD変換器のうち1つのAD変換器を基準とした前記各AD変換器の相対振幅比および相対位相差、ならびにDCオフセットのうち少なくとも1つを含む、請求項1または2に記載の校正装置。
【請求項7】
前記AD変換装置は、1または複数のAD変換器コアを含み、前記AD変換器コアは、複数のサブAD変換器を含み、前記補正情報算出部は、前記AD変換器コア間のミスマッチ特性の周波数特性および前記サブAD変換器間のミスマッチ特性の周波数特性の少なくとも一方を算出する、請求項1または2に記載の校正装置。
【請求項8】
前記校正信号発生器は、前記各キャリア信号の位相を調整することにより、前記サンプル信号のクレスト比を調整する、請求項1または2に記載の校正装置。
【請求項9】
複数のAD変換器をタイムインタリーブ方式で動作させるAD変換装置の校正方法であって、
前記AD変換装置に入力する校正信号を発生する校正信号発生ステップと、
前記AD変換装置において前記校正信号を所定のサンプリング周波数でAD変換することにより得られるサンプル信号をサンプル信号記憶部に記憶する記憶ステップと、
前記サンプル信号記憶部に記憶された前記サンプル信号から、前記複数のAD変換器間のミスマッチを特徴付けるミスマッチ特性の周波数特性を算出し、前記ミスマッチ特性の周波数特性から前記複数のAD変換器間のミスマッチを補正するための補正情報を算出する補正情報算出ステップと、
を含み、
前記校正信号発生ステップでは、前記サンプリング周波数の1/2以下の周波数範囲内で互いに周波数の異なる複数のキャリア信号を合波したマルチキャリア信号を前記校正信号として発生し、前記各キャリア信号は、前記サンプル信号に含まれるエイリアスのいずれとも周波数が異なる、校正方法。
【請求項10】
複数のAD変換器をタイムインタリーブ方式で動作させるAD変換装置の校正方法であって、
前記AD変換装置に入力する校正信号を発生する校正信号発生ステップと、
前記AD変換装置において前記校正信号を所定のサンプリング周波数でAD変換することにより得られるサンプル信号をサンプル信号記憶部に記憶する記憶ステップと、
前記サンプル信号記憶部に記憶された前記サンプル信号から、前記複数のAD変換器間のミスマッチを特徴付けるミスマッチ特性の周波数特性を算出し、前記ミスマッチ特性の周波数特性から前記複数のAD変換器間のミスマッチを補正するための補正情報を算出する補正情報算出ステップと、
を含み、
前記校正信号発生ステップでは、前記サンプリング周波数の1/2以上かつ前記サンプリング周波数以下の周波数範囲内で互いに周波数の異なる複数のキャリア信号を合波したマルチキャリア信号を前記校正信号として発生し、前記各キャリア信号は、前記サンプル信号に含まれるエイリアスのいずれとも周波数が異なる、校正方法。
発明の詳細な説明
【技術分野】
【0001】
本発明は、ADC校正装置およびADC校正方法に関し、特にタイムインタリーブADCの校正装置および校正方法に関する。
続きを表示(約 2,200 文字)
【背景技術】
【0002】
アナログ信号をデジタル信号列に変換して各種処理を行なう装置において、高速なアナログ信号の信号処理を行なうものでは、タイムインタリーブ方式のAD変換装置(以下、タイムインタリーブADCまたはTI-ADCともいう)が用いられている。タイムインタリーブADCでは、変換対象のアナログ信号を複数のAD変換器(以下、ADCともいう)に入力し、各ADCに所定周期のサンプリングクロックを僅かずつ遅延したタイミングで与えることにより、等価的に高速サンプリングのデジタル変換を行うようになっている。
【0003】
タイムインタリーブADCでは、個々のADCのミスマッチによるサンプル値の変動、スプリアスの発生を低減するために、校正によりミスマッチを補正する技術が知られている(例えば、特許文献1参照)。
【0004】
特許文献1には、タイムインタリーブADCの不整合補正方法が開示されている。特許文献1などに記載された従来のタイムインタリーブADCの校正では、校正信号として無変調波CW信号(周波数が単一のトーン信号)を使用していた。具体的には、無変調波CW信号として正弦波信号をタイムインタリーブADCに入力し、各ADCからの出力を比較することにより、ADC間のミスマッチ(不整合)の度合いを測定し、ミスマッチの補正を行なっていた。一般に、ADC間のミスマッチは、周波数に依存して変動する周波数特性を有しており、ミスマッチの測定では、無変調波CW信号の周波数を変えて測定を行うことで使用する全帯域のミスマッチ特性を取得する必要がある。
【先行技術文献】
【特許文献】
【0005】
特許第6508665号公報
【発明の概要】
【発明が解決しようとする課題】
【0006】
しかしながら、特許文献1などに記載された従来のタイムインタリーブADCの校正では、校正信号として単一トーンの無変調波CW信号を使用しており、ADC間のミスマッチの周波数特性を取得するのに比較的長い時間を要するという問題があった。特に、広帯域で周波数分解能が高い場合には、校正に長い時間を要し、問題が顕著であった。
【0007】
本発明は、上述のような課題を解決するためになされたものであって、タイムインタリーブADCの校正を高速に行うことができるADC校正装置およびADC校正方法を提供することを目的とする。
【課題を解決するための手段】
【0008】
本発明に係るAD変換装置の校正装置は、上記目的達成のため、複数のAD変換器をタイムインタリーブ方式で動作させるAD変換装置の校正装置であって、前記AD変換装置に入力する校正信号を発生する校正信号発生器(21)と、前記AD変換装置において前記校正信号を所定のサンプリング周波数でAD変換することによって得られるサンプル信号を記憶するサンプル信号記憶部(22)と、前記サンプル信号記憶部に記憶された前記サンプル信号から、前記複数のAD変換器間のミスマッチを特徴付けるミスマッチ特性の周波数特性を算出し、前記ミスマッチ特性の周波数特性から前記複数のAD変換器間のミスマッチを補正するための補正情報を算出する補正情報算出部(23)と、を備え、前記校正信号発生器は、前記サンプリング周波数の1/2以下の周波数範囲内で互いに周波数の異なる複数のキャリア信号を合波したマルチキャリア信号を前記校正信号として発生し、前記各キャリア信号は、前記サンプル信号に含まれるエイリアスのいずれとも周波数が異なることを特徴とする。
【0009】
この構成により、従来の無変調波CW信号の代わりにマルチキャリア信号を用い、折り返しによる影響を避けて広範囲にキャリア信号を複数配置することで、複数周波数ポイントの特性差を同時検出するとともに、校正信号の周波数切換の操作を削減することができるので、高速に校正を行うことができる。
【0010】
本発明に係るAD変換装置の校正装置は、上記目的達成のため、複数のAD変換器をタイムインタリーブ方式で動作させるAD変換装置の校正装置であって、前記AD変換装置に入力する校正信号を発生する校正信号発生器(21)と、前記AD変換装置において前記校正信号を所定のサンプリング周波数でAD変換することによって得られるサンプル信号を記憶するサンプル信号記憶部(22)と、前記サンプル信号記憶部に記憶された前記サンプル信号から、前記複数のAD変換器間のミスマッチを特徴付けるミスマッチ特性の周波数特性を算出し、前記ミスマッチ特性の周波数特性から前記複数のAD変換器間のミスマッチを補正するための補正情報を算出する補正情報算出部(23)と、を備え、前記校正信号発生器は、前記サンプリング周波数の1/2以上かつ前記サンプリング周波数以下の周波数範囲内で互いに周波数の異なる複数のキャリア信号を合波したマルチキャリア信号を前記校正信号として発生し、前記各キャリア信号は、前記サンプル信号に含まれるエイリアスのいずれとも周波数が異なることを特徴とする。
(【0011】以降は省略されています)
この特許をJ-PlatPat(特許庁公式サイト)で参照する
関連特許
エイブリック株式会社
電圧検出器
1か月前
株式会社大真空
圧電振動デバイス
2か月前
日本電波工業株式会社
圧電デバイス
1か月前
ローム株式会社
オペアンプ
1か月前
株式会社トーキン
ノイズフィルタ
28日前
ローム株式会社
オペアンプ
1か月前
ローム株式会社
オペアンプ
1か月前
株式会社大真空
恒温槽型圧電発振器
1か月前
個人
誤り訂正装置及び誤り訂正方法
1か月前
株式会社半導体エネルギー研究所
駆動回路
2日前
三菱電機株式会社
半導体装置
1か月前
株式会社村田製作所
増幅回路
1か月前
ローム株式会社
オペアンプ回路
1か月前
ローム株式会社
オペアンプ回路
1か月前
ローム株式会社
半導体集積回路
1か月前
ローム株式会社
半導体集積回路
1か月前
ローム株式会社
半導体集積回路
2か月前
ローム株式会社
オペアンプ回路
1か月前
ローム株式会社
オシレータ回路
2か月前
株式会社村田製作所
高周波回路
1か月前
ローム株式会社
半導体スイッチ
3か月前
ローム株式会社
半導体スイッチ
3か月前
台灣晶技股ふん有限公司
パッケージ構造
3か月前
住友電気工業株式会社
高周波増幅器
12日前
株式会社村田製作所
弾性波フィルタ
3か月前
京セラ株式会社
弾性波装置、分波器及び通信装置
2か月前
株式会社村田製作所
弾性波フィルタ
12日前
キヤノン株式会社
ADコンバータの補正手段
3か月前
ローム株式会社
遅延回路
1か月前
ローム株式会社
A/Dコンバータ回路
2か月前
ローム株式会社
A/Dコンバータ回路
1か月前
ローム株式会社
駆動回路
1か月前
日清紡マイクロデバイス株式会社
演算増幅器
今日
ローム株式会社
駆動回路
1か月前
ニチコン株式会社
信号出力装置
1か月前
太陽誘電株式会社
フィルタ及びマルチプレクサ
1か月前
続きを見る
他の特許を見る