TOP
|
特許
|
意匠
|
商標
特許ウォッチ
Twitter
他の特許を見る
10個以上の画像は省略されています。
公開番号
2025142180
公報種別
公開特許公報(A)
公開日
2025-09-30
出願番号
2024041787
出願日
2024-03-17
発明の名称
推定装置、それを備える無線通信システム、それを備える推定システムおよびコンピュータに実行させるためのプログラム
出願人
株式会社国際電気通信基礎技術研究所
代理人
個人
主分類
H04L
27/26 20060101AFI20250922BHJP(電気通信技術)
要約
【課題】送信機と受信機との間の伝搬路の推定時刻と送信時刻とのラグによる乖離を抑圧可能な推定装置を提供する。
【解決手段】推定手段41は、受信信号を受信した受信時点における伝搬路のN
t
個の周波数応答FQR_1~FQR_N
t
を推定する。予測手段42は、推定手段41によって推定されたN
t
個の周波数応答FQR_1~FQR_N
t
からなるN
t
個の観測値に基づいて、チャープカーネル関数をガウス過程回帰に用いてQ
t
個の予測時点における伝搬路のQ
t
個の周波数応答FQR’_1~FQR’_Q
t
を算出して伝搬路のQ
t
個の周波数応答FQR’_1~FQR’_Q
t
を表す回帰式を予測する。最適化手段43は、Q
t
個の周波数応答FQR’_1~FQR’_Q
t
を用いて、N個の反射素子の反射係数とM
T
個のアンテナの送信重みとを最適化してそれぞれIRSおよび送信機へフィードバックする。
【選択図】図2
特許請求の範囲
【請求項1】
M
T
(M
T
は、1以上の整数)個のアンテナを有する送信機と、反射特性を動的に変更可能なN(Nは、1以上の整数)個の反射素子を有する電磁波反射体であるIRSと、M
R
(M
R
は、1以上の整数)個のアンテナを有する受信機とが非直線状に配置された無線通信空間において、前記送信機が前記受信機へ既知の信号であるパイロット信号を送信したとき、前記送信機と前記受信機との間の伝搬路の周波数応答を前記受信機において推定する推定装置であって、
前記パイロット信号の受信信号を受けると、その受けた受信信号に基づいて、前記受信信号を受信した受信時点における前記伝搬路の周波数応答FQRを推定することをN
t
(N
t
は、1以上の整数)個の前記受信時点について実行してN
t
個の周波数応答FQR_1~FQR_N
t
を推定する推定手段と、
前記推定手段によって推定された前記N
t
個の周波数応答FQR_1~FQR_N
t
をN
t
個の観測値とし、前記N
t
個の観測値を用いて前記N
t
個の受信時点よりも将来の時点であるQ
t
(Q
t
は、1以上の整数)個の予測時点における前記伝搬路のQ
t
個の周波数応答FQR’_1~FQR’_Q
t
を算出し、その算出した前記伝搬路のQ
t
個の周波数応答FQR’_1~FQR’_Q
t
を表す回帰式であって周波数が時間とともに連続的に変化する特性を示す回帰式を予測する予測手段と、
前記Q
t
個の周波数応答FQR’_1~FQR’_Q
t
を用いて、前記N個の反射素子の反射係数と前記M
T
個のアンテナの送信重みとを最適化する最適化処理を実行する最適化手段とを備え、
前記予測手段は、周波数が時間とともに連続的に変化するチャープカーネル関数をガウス過程回帰に用いて前記回帰式を予測する、推定装置。
続きを表示(約 2,700 文字)
【請求項2】
前記予測手段は、前記受信機が速度v(m/s)で等速直線運動を行い、予測ポイントの間隔がT
f
(s)であり、予測位置の個数がP(Pは、2以上の整数)であると仮定したときの直線状に一列に配列されたP本のアンテナへ1つの前記反射素子から電波が入射するモデルであるSIMOモデルにおいて、前記N
t
個の前記受信時点に対する共分散行列Kと前記N
t
個の前記受信時点および前記Q
t
個の予測時点に対する共分散行列K
*
とを用いて前記伝搬路のQ
t
個の周波数応答FQR’_1~FQR’_Q
t
を算出する、請求項1に記載の推定装置。
【請求項3】
前記予測手段は、次式によって前記Q
t
個の予測時点における前記Q
t
個の周波数応答FQR’_1~FQR’_Q
t
を算出する、請求項2に記載の推定装置。
TIFF
2025142180000041.tif
10
46
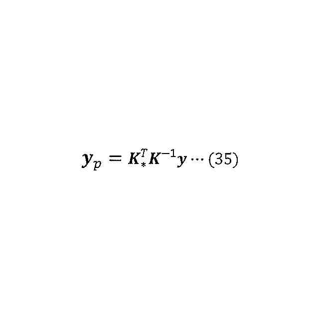
式(30)において、y
P
は、Q
t
個の周波数応答FQR’_1~FQR_FQR’_Q
t
からなるベクトルであり、yは、N
t
個の観測値からなるベクトルである。
【請求項4】
前記予測手段は、線形のチャープカーネル関数、2次のチャープカーネル関数および指数のチャープカーネル関数のいずれか1つをガウス過程回帰に用いて前記回帰式を予測する、請求項2に記載の推定装置。
【請求項5】
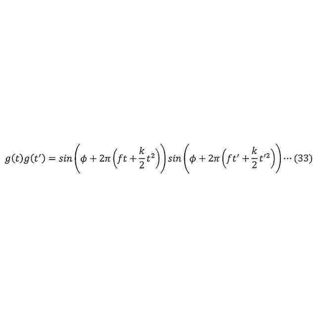
前記線形のチャープカーネル関数g(t)g(t’)は、次式からなる、請求項4に記載の推定装置。
TIFF
2025142180000042.tif
20
148
式(31)において、φは、初期位相であり、fは、初期周波数であり、kは、周波数変化を決定するパラメータである。
【請求項6】
前記回帰式は、前記送信機から前記IRS、および前記IRSから前記受信機のチャネルが重畳したチャネルであるカスケードチャネルにおける第1の回帰式と、前記送信機からの電波が前記受信機へ直接到達する直接リンクにおける第2の回帰式とからなり、
前記予測手段は、前記カスケードチャネルにおける前記反射素子ごとに前記第1の回帰式を予測するとともに、前記第2の回帰式を予測する、請求項1に記載の推定装置。
【請求項7】
前記最適化手段によって最適化された前記N個の反射係数および前記M
T
個のアンテナの送信重みをそれぞれ前記IRSおよび前記送信機へフィードバックするフィードバック手段を更に備える、請求項1に記載の推定装置。
【請求項8】
請求項1から請求項7のいずれか1項に記載の推定装置を備える前記受信機と、前記送信機と、前記IRSとを備える無線通信システム。
【請求項9】
M
T
(M
T
は、1以上の整数)個のアンテナを有する送信機と、反射特性を動的に変更可能なN(Nは、1以上の整数)個の反射素子を有する電磁波反射体であるIRSと、M
R
(M
R
は、1以上の整数)個のアンテナを有する受信機とが非直線状に配置された無線通信空間において、前記送信機が前記受信機へ既知の信号であるパイロット信号を送信したとき、前記送信機と前記受信機との間の伝搬路の周波数応答を前記受信機の推定装置においてコンピュータに実行させるためのプログラムであって、
推定手段が、前記パイロット信号の受信信号を受けると、その受けた受信信号に基づいて、前記受信信号を受信した受信時点における前記伝搬路の周波数応答FQRを推定することをN
t
(N
t
は、1以上の整数)個の前記受信時点について実行してN
t
個の周波数応答FQR_1~FQR_N
t
を推定する第1のステップと、
予測手段が、前記第1のステップにおいて、前記推定手段によって推定された前記N
t
個の周波数応答FQR_1~FQR_N
t
をN
t
個の観測値とし、前記N
t
個の観測値を用いて前記N
t
個の受信時点よりも将来の時点であるQ
t
(Q
t
は、1以上の整数)個の予測時点における前記伝搬路のQ
t
個の周波数応答FQR’_1~FQR’_Q
t
を算出し、その算出した前記伝搬路のQ
t
個の周波数応答FQR’_1~FQR’_Q
t
を表す回帰式であって周波数が時間とともに連続的に変化する特性を示す回帰式を予測する第2のステップと、
最適化手段が、前記Q
t
個の周波数応答FQR’_1~FQR’_Q
t
を用いて、前記N個の反射素子の反射係数と前記M
T
個のアンテナの送信重みとを最適化する最適化処理を実行する第3のステップとをコンピュータに実行させ、
前記予測手段は、前記第2のステップにおいて、周波数が時間とともに連続的に変化するチャープカーネル関数をガウス過程回帰に用いて前記回帰式を予測する、コンピュータに実行させるためのプログラム。
【請求項10】
前記予測手段は、前記第2のステップにおいて、前記受信機が速度v(m/s)で等速直線運動を行い、予測ポイントの間隔がT
f
(s)であり、予測位置の個数がP(Pは、2以上の整数)であると仮定したときの直線状に一列に配列されたP本のアンテナへ1つの前記反射素子から電波が入射するモデルであるSIMOモデルにおいて、前記第1のステップにおいて、前記N
t
個の受信時点に対する共分散行列Kと前記N
t
個の受信時点および前記Q
t
個の予測時点に対する共分散行列K
*
とを用いて前記伝搬路のQ
t
個の周波数応答FQR’_1~FQR’_Q
t
を算出する、請求項9に記載のコンピュータに実行させるためのプログラム。
(【請求項11】以降は省略されています)
発明の詳細な説明
【技術分野】
【0001】
この発明は、推定装置、それを備える無線通信システム、それを備える推定システムおよびコンピュータに実行させるためのプログラムに関する。
続きを表示(約 3,800 文字)
【背景技術】
【0002】
次世代通信規格では、第5世代移動通信システム(5G)の特徴である高速・大容量、低遅延、多数接続の各性能を高めつつ、ミリ波やテラヘルツ波などの高周波数帯を活用し、国内外のどこにいてもあらゆる人・情報・物にアクセス可能な通信インフラを構築することが求められている。
【0003】
高い周波数の電波は、見通し外の伝搬が期待できず、電波の弱い場所が生じてしまう。そのため、反射特性を動的に変更可能な複数の受動反射素子で構成される電磁波反射体(IRS: Intelligent Reflecting Surface)によって、高い周波数の電波の問題を解決する技術の検討が盛んになってきている(非特許文献1)。各素子の反射特性を適切に変更し、障害物を迂回した電波伝搬経路を形成することで、見通し外でも安定した通信を実現できる。
【0004】
IRSは、基本的に電磁波反射板として作用し、高周波回路を持たないため、カバレッジ拡大のための従来のマルチホップ通信と比べ格段に消費電力が小さいという利点もある。
【先行技術文献】
【非特許文献】
【0005】
Q. Wu and R. Zhang, “Towards Smart and Reconfigurable Environment: Intelligent Reflecting Surface Aided Wireless Network,” IEEE Commun. Mag., vol. 58, no. 1, pp. 106-112, 2020.
E. Basar, M. Di Renzo, J. De Rosny, M. Debbah, M. S. Alouini, and R. Zhang, “Wireless Communications Through Reconfigurable Intelligent Surfaces,” IEEE Access, vol. 7, no. June 2018, pp. 116753-116773, 2019.
Y. Yang, B. Zheng, S. Zhang, and R. Zhang, “Intelligent reflecting surface meets OFDM: Protocol design and rate maximization,” 2019. [Online]. Available: https://arxiv.org/abs/1906.09956.
B. Zheng and R. Zhang, “Intelligent Reflecting Surface-Enhanced OFDM: Channel Estimation and Reflection Optimization,” IEEE Wirel. Commun. Lett., vol. 9, no. 4, pp. 518-522, 2020.
Q.-U.-A. Nadeem, H. Alwazani, A. Kammoun, A. Chaaban, M. Debbah, and M.-S. Alouini, “Intelligent Reflecting Surface-Assisted Multi-User MISO Communication: Channel Estimation and Beamforming Design,” IEEE Open J. Commun. Soc., vol. 1, no. March,_pp. 661-680, 2020.
B. Zheng, C. You, and R. Zhang, “Fast Channel Estimation for IR-S Assisted OFDM,” IEEE Wirel. Commun. Lett., vol. 10, no. 3, pp.580-584, 2021.
C.Rasmussen, and C. Williams, “Gaussian processes for machine learning”, Adaptive computation and machine learning MIT Press, 2006. [Onlin]. Available: https://direct.mit.edu/books/book/2320/Faussian-Processes-for-Machine-Learning
持橋大地,大羽成征,“ガウス過程と機械学習”講談社,2019.
B. Zheng, C. You, and R. Zhang, “First Channel Estimation for IRS-Assisted OFDM,” IEEE Wirei. Commun. Lett., vol. 10, no.3, pp.580-584, 2021.
M Cui, Z.Wu, Y.Lu, X.Wei and L.Dai, “Near-Field MIMO Communications for 6G: Fundamentals, Challengers, Potentials, and Future Directions,” in IEEE Communications Magazine, vol. 61, no. 1, pp. 40-46, January 2023, doi: 10.1109/MCOM.004.2200136.
Diederik P. Kingma, Jimmy Lei Ba, “ADAM: METHOD FOR STOCHASTIC OPTIMIZATION,” Published as a conference paper at ICLR 2015.
J. Akhtman and L. Hanzo, "Channel Impulse Response Tap Prediction for Time-Varying Wireless Channels," in IEEE Transactions on Vehicular Technology, vol. 56, no. 5, pp. 2767-2769, Sept. 2007.
https://ja.wikipedia.org/wiki/%E3%83%81%E3%83%A3%E3%83%BC%E3%83%97%E4%BF%A1%E5%8F%B7#:~:text=%E3%83%81%E3%83%A3%E3%83%BC%E3%83%97%E4%BF%A1%E5%8F%B7%EF%BC%88%E3%83%81%E3%83%A3%E3%83%BC%E3%83%97%E3%81%97%E3%82%93%E3%81%94%E3%81%86,%E7%94%A8%E9%80%94%E3%81%A7%E3%82%82%E5%88%A9%E7%94%A8%E3%81%95%E3%82%8C%E3%82%8B%E3%80%82.
【発明の概要】
【発明が解決しようとする課題】
【0006】
しかし、IRSを用いた無線通信システム(IRS-assited system)では、IRS上の全ての反射素子について反射係数を最適化するため、送信アンテナ-各反射素子-受信アンテナの組み合わせだけ存在する膨大な伝搬路群の推定が必要になる(非特許文献2~非特許文献6)。
【0007】
伝搬路の推定には、送信機と受信機との間で既知のトレーニング信号を用いることが一般的であるが、IRS-assited systemでは、多数の伝搬路が存在するため、この伝搬路群の推定のためには長いトレーニング期間が必要となる。また、伝搬路群の推定値あるいは推定値より計算された反射パターンの情報を受信機からIRSにフィードバックする必要があるため、チャネル推定(伝搬路推定)が行われた時刻からデータ送信の間にIRSを用いないシステムと比較して長いラグが生じると考えられる。無線端末が移動する場合、必然的に伝搬路が変動し、推定が行われた時点からのラグが大きい場合、過去のチャネル推定値(伝搬路推定値)に基づいてIRSを制御しても、その性能を最大限に引き出すことができない。
【0008】
また、画像処理においては、一部の画像が欠落した場合、欠落した画像を補完する必要がある。
【0009】
更に、録音機器では、波形の一部が切り取られるクリップという現象または測定中の外乱等によって波形の一部が欠損した場合、欠損した波形を補間する必要がある。
【0010】
そこで、この発明の実施の形態によれば、送信機と受信機との間の伝搬路の推定時刻と送信時刻とのラグによる乖離を抑圧可能な推定装置を提供する。
(【0011】以降は省略されています)
この特許をJ-PlatPat(特許庁公式サイト)で参照する
関連特許
個人
店内配信予約システム
2か月前
サクサ株式会社
中継装置
今日
WHISMR合同会社
収音装置
27日前
サクサ株式会社
中継装置
3か月前
キヤノン株式会社
撮像装置
1か月前
キヤノン株式会社
電子機器
2か月前
アイホン株式会社
電気機器
21日前
株式会社リコー
画像形成装置
1か月前
株式会社リコー
画像形成装置
2か月前
日本精機株式会社
画像投映システム
3か月前
キヤノン電子株式会社
画像読取装置
28日前
株式会社リコー
画像形成装置
1か月前
キヤノン電子株式会社
モバイル装置
3か月前
個人
ワイヤレスイヤホン対応耳掛け
19日前
キヤノン株式会社
撮像システム
21日前
株式会社ニコン
撮像装置
2か月前
ブラザー工業株式会社
読取装置
1か月前
有限会社フィデリックス
マイクロフォン
5日前
株式会社JVCケンウッド
通信システム
5日前
株式会社松平商会
携帯機器カバー
1か月前
株式会社小糸製作所
画像照射装置
1か月前
パテントフレア株式会社
水中電波通信法
2か月前
DXO株式会社
情報処理システム
2か月前
大日本印刷株式会社
写真撮影装置
20日前
キヤノン電子株式会社
シート材搬送装置
1か月前
国立大学法人電気通信大学
小型光学装置
1か月前
沖電気工業株式会社
画像形成装置
1日前
パテントフレア株式会社
超高速電波通信
1か月前
沖電気工業株式会社
画像形成装置
9日前
テックス通信株式会社
電話システム
3か月前
株式会社オーディオテクニカ
受光器
3か月前
株式会社JVCケンウッド
スピーカ
28日前
株式会社リコー
画像形成装置
1か月前
日本無線株式会社
無線通信システム
1か月前
株式会社国際電気
遠隔監視システム
1か月前
日本無線株式会社
無線通信システム
13日前
続きを見る
他の特許を見る